Abstract
Iterative stochastic decoding is an alternative to standard fixed-point decoding of low-density parity check (LDPC) codes that can be used to minimize inter-node routing. A flexible field-programmable gate array (FPGA)-based stochastic decoding (SD) hardware architecture is presented in this paper. The architecture is designed to decode different code rates of LDPC codes that comply with the fifth-generation (5G) New Radio (NR) standard. This decoder’s runtime flexibility is desirable as it switches to a better-performing code rate automatically based on the channel conditions without the extra time needed to reprogram the FPGA. An offline design method is implemented to generate the hardware description language (HDL) code description of the decoder for the required code rate set, which is further synthesized and integrated into a Xilinx Kintex-7-series FPGA board to determine the hardware resource utilisation and processing throughput. Synopsys design tools were employed during both the simulation and synthesis stages in combination with TSMC 65 nm CMOS standard cell technology to facilitate comparative analysis. Compared with state-of-the-art designs, the proposed architecture reduces hardware utilization by up to 26% and increases energy efficiency by 52%.
1. Introduction
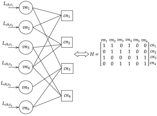
Low-density parity check codes (LDPCs) [] have become one of the essential channel codes in many communication standards, such as DVB-S2 [], IEEE 802.11 (WiFi) [], IEEE 802.16e (WiMax) [], and including fifth-generation (5G) wireless technology [], because of their higher error correction capabilities, which are close to Shannon’s limit [,]. In 5G New Radio (NR) specifications, quasi-cyclic (QC) LDPC codes are selected as the channel coding scheme for data channels to achieve high throughput and low latency []. These QC LDPC codes have adopted two base graph matrices (BGMs): and , and fifty-one lifting sizes or expansion factors to support various code rates []. has the dimension of 46 block rows and 68 block columns, and it supports code rates ranging from 1/3 to 8/9. has a dimension of 42 block rows and 52 block columns and supports code rates from 1/5 to 2/3. The PCM H is represented and constructed from its BGM []. A binary LDPC code in 5G is characterized by the null space of parity check matrix (PCM) H with dimension over GF(2). The PCM is also visualized graphically as a bipartite Tanner graph [,]. A set of M parity or check nodes of the Tanner graph represent the rows of H, and a set of N bit or variable nodes of the Tanner graph represent the columns of H. The decoding of LDPC codes is done iteratively using the message-passing algorithm on its bipartite Tanner graph []. For an example (6, 2) LDPC code, parity check matrix (PCM) H and its Tanner graph are shown in Figure 1. A Tanner graph comprises two types of nodes, one is bit or variable nodes (VNs) , , , , , and the other is parity or check nodes (CNs) , , , . These nodes are connected by bidirectional edges based on the number of ones in the PCM of the code.

Figure 1.
Tanner graph of code.
Runtime flexibility of the decoder is desirable for decoding received messages associated with different BGMs of multiple code rates at runtime []. Hence, the decoder dynamically switches between a given set of LDPC code rates with diverse BGMs. This decoder has various commercial applications, such as switching to a better-performing code rate automatically based on the channel conditions [] without the extra time needed to reprogram the FPGA. Another application is to eliminate the re-synthesis of the FPGA to test the performance of different code rates.
The specifications of 5G NR show that the BGM can support a vast range of code rates from 1/3 to 8/9. In BGM, these code rates generate irregular node degrees. As a result of the irregular node degrees of BGM, complex connections are formed between the nodes of the Tanner graph of BGM. In BGM, these code rates generate irregular node degrees. As a result of the irregular node degrees of BGM, complex connections are formed between the nodes of the Tanner graph of BGM. The complex connections result in a more complicated inter-node routing network for typical fixed-point LDPC decoders, which are based on the sum-product algorithm (SPA) [] and the min-sum (MS) [] algorithm. These decoders use multiple-bit fixed-point representations of channel logarithmic-likelihood ratio (LLR) message values as inputs to decoder nodes that need multiple paths to exchange these values between the nodes. This condition aggravates an already very difficult inter-node routing network problem. This is due to the fact that the architecture of the decoder nodes necessitates the use of a large number of FPGA resources.
One alternative solution is stochastic decoding (SD) []. In SD, initially, the channel LLRs are converted into equivalent channel probability values. After this conversion, these probability values are converted into an equivalent stochastic bit sequence by using a comparator, as shown in Figure 2. This conversion helps stochastic bit sequences, which need a single path between the nodes for exchange rather than the multiple paths needed for nodes in conventional fixed-point decoders. This significantly helps to reduce the inter-node routing complexity of the decoder []. The single bit-wise computations in stochastic variable node (SVN) and stochastic check node (SCN) units require simple logic units for the implementation. These stochastic LDPC decoders provide error correction capability comparable to traditional fixed-point decoders []. The error correction capability of an LDPC decoder is determined by the signal-to-noise power ratio per bit at the required bit error rate (BER), which is commonly stated in decibels. For the wireless personal area network (WPAN) [] standard (672, 336) LDPC code, the suggested stochastic decoder in [] has achieved a BER of at an value of 3.5 dB. This is in comparison to the normalized min–sum (NMS)-based decoder, which has achieved the same BER at an value of 3.4 dB.

Figure 2.
Schematic of comparator.
The number of node-interconnects (I) of a decoder is calculated from (1) to determine the routing complexity [].
N is codeword length, is extrinsic message length, and is column weight. For instance, 1/3-rate codeword length LDPC code having average column weight is decoded using SPA and SD. The number of node-interconnects required for SPA and SD are 138,916 and 34,729, respectively. The extrinsic message length = 1 for SD is responsible for the reduction of the number of node-interconnects in SD by a factor of four. On the other hand, the minimum value of for fixed-point LDPC decoders that use SPA is determined to be 4.
Our contributions:
- This work’s main contribution is to propose a new partially parallel decoder architecture for bit-wise stochastic decoding for 5G NR standard LDPC codes. This architecture was created for the LDPC code, which has a code word length of N = 3808 and code rates of 1/3, 2/5, 1/2, 2/3, 3/4, 5/6, and 8/9 for BGM1.
- Our proposed automated design flow procedure enables runtime flexibility in the design. It creates an optimal FPGA-based stochastic LDPC decoder design for any selected code rate set. This approach helps to reduce the time needed to design hand-coded interconnections in hardware description language (HDL).
This paper is structured as follows. Section 2 introduces the basic concepts of stochastic decoding and its algorithm. Section 3 focuses on constructing BGM of 5G NR standard QC LDPC codes suitable for stochastic decoders. Section 4 provides architecture details. Design flow is discussed in Section 5. Section 6 discusses simulation results. Finally, the conclusion is noted in Section 7.
2. Preliminaries
2.1. Stochastic Bit-Sequence Generation
A stochastic approach to LDPC decoding was introduced in []. This decoding process converts the received channel probability values into a stochastic bit-sequence equivalent. In general, the LLR of the s-th symbol of a code word is found from the s-th received channel symbol at , which is represented as . By considering the binary phase-shift keying (BPSK) modulation over an additive white Gaussian noise (AWGN) channel with a zero mean and variance , the channel LLR computed as . The channel probability is also known as the intrinsic message and is calculated as
The term is an exponential function. The value is represented with W binary symbols and compared with W-bit pseudo-random number (PRN) of the comparator [], which varies with every clock cycle to generate an equivalent stochastic bit sequence of length , as shown in Figure 2. For example, is represented as -bit fractional binary symbols . At each clock cycle, a PRN generator based on a linear feedback shift register (LFSR) [] produces a new -bit PRN U. Suppose : the comparator output at that clock cycle is 1 and otherwise is 0. As shown in Table 1, after eight clock cycles, the comparator output is 00100101, which is the stochastic bit sequence belonging to . This sequence has a mean value of , which is close to [].

Table 1.
Example of stochastic bit-sequence generation.
2.2. Stochastic Decoding Algorithmic Description
A binary LDPC code in 5G is characterized by the null space of parity check matrix (PCM) H with dimension over GF(2). The PCM is also visualized graphically as a bipartite Tanner graph [,]. A set of M parity or check nodes of the Tanner graph represent the rows of H, and a set of N bit or variable nodes of the Tanner graph represent the columns of H. In stochastic decoding of LDPC code, the stochastic bit sequence of the channel probability values corresponds to their respective channel LLRs exchanged iteratively bitwise between the SCNs and the SVNs until the desirable codeword is found or the maximum iteration limit is reached []. To illustrate the simplification of the decoding process, a degree-3 SCN and a degree-3 SVN are adopted. Both SCN and SVN elements perform the bitwise modulo-2 arithmetic operations in SD. The steps are shown in the following:
(1) Initialization: Once the channel probability values are reached at SVNs, compare the W-bit fractional binary equivalent sequence of with W-bit PRN U and initialize generated stochastic bit sequence to its corresponding SVNs .
(2) SCN update: As shown in Figure 3, is connected to three SVNs: , , and . The arriving SCN-to-SVN single-bit extrinsic message for node is computed as

Figure 3.
SCN and its implementation unit.
Here, a is the single-bit of stochastic bit sequence , , belonging to its , which has been received as a message from to in the previous clock cycle, and b is the single-bit of stochastic sequence belonging to its , which has been received as a message from to in a previous clock cycle.
(3) SVN update: In Figure 4, is connected to three SCNs: , , and . The arriving SVN-to-SCN single-bit extrinsic message for node is computed as

Figure 4.
SVN and its implementation unit.
Here, e is the single-bit of stochastic bit sequence belonging to the received message from to in the previous clock cycle, and d is the single-bit of stochastic bit sequence belonging to the received message from to in a previous clock cycle.
(4) Termination: This iterative process will stop if it reaches the maximum decoding cycle (DC) limit or all parity check equations are satisfied.
3. Construction of BGM in 5G NR Standard
The PCM H is represented and constructed from its BGM []. The has dimension , where and . The entries of are expanded with a square sub-matrix in H, where is known as the lifting size or expansion factor. The entry value ‘−1’ of is replaced by a zero matrix of dimension in H, and the value ‘0’ is replaced by the identity matrix of dimension , and another non-‘−1’ entry value , also known as the shift value, is replaced by circulant permutation matrix . The subscripts represent the row index and column index of the entry, respectively. The sub-matrix is obtained by each row of the identity matrix having a right-shift value of positions. The value of is calculated from the function (5). The value of is obtained from Tables 5.3.2-2 and 5.3.2-3 of 5G NR standard specification 3GPP TS 38.212 [] according to the selected BGM and the set index .
In this paper, we constructed BGM of LDPC code having a message or information block length and code rate . The five steps are listed below for constructing the with as the length of the message block columns. The terms of and K of H are related, as .
- Select from the two BGMs: As per the specification of 3GPP TS 38.212 [], since the code rate , BGM1 is selected.
- Calculate the value after selecting BGM: From the specification of 3GPP TS 38.212 [], BGM1 has = 22.
- Find the expansion factor : Select the minimum from Table 5.3.2-1 [] such that . For given , = 22, and is calculated as .
- Select the set index : After is determined, the suitable shift coefficient matrix set from Table 5.3.2-1 [] must be selected. Since , the set index = 3 is considered.
- Compute the BGM entry values: Utilize the function (5) to determine the entry values by means of the modular operation.
- Construct the PCM H: Substitute each entry of the BGM by the corresponding circulant permutation matrix or zero matrix of size in H.
From Step 5, the first entry of is calculated using = mod (223, 56) = 55, where the selected value is obtained from Table 5.3.2-2 [] and corresponds to row index , column index , and set index . Similarly, the remaining entry values are calculated by using a function (5) and values obtained from Table 5.3.2-2 [] based on the entry’s row and column indexes. Table 2 shows calculations of the corresponding values of a few entries of . The constructed has dimensions of .

Table 2.
Calculation of the entry values of .
In order to achieve the desired information lengths and rate adaptation in 5G NR QC-LDPC codes, a process of shortening and puncturing is carried out. The characteristics of BGM1 are described in the Table 3. The BGM is shown in Table 4.

Table 3.
Parameters of BGM1.

Table 4.
Base graph matrix.
4. Proposed Architecture
The suggested FPGA-based partially parallel stochastic decoder’s top-level design is presented in this section. It has runtime flexibility and the capability of decoding received messages corresponding to the set of seven code rates 1/3, 2/5, 1/2, 2/3, 3/4, 5/6, and 8/9 and codeword length N = 3808 for QC LDPC code compliant to the 5G NR standard. Initially, the architecture determines the maximum matrix dimensions, such as the number of block columns , the number of block rows , lifting size , column-weight , and row-weight , for this decoder from the supported code rate set. The architecture comprises various basic modules such as a stochastic variable node decoder (SVND), a stochastic check node decoder (SCND), BGM read-only memory (ROM), a controller unit, an intrinsic message memory unit (IMMU), and a routing network between modules SVND and SCND. These modules of the design are explained in the following subsections.
4.1. Layered Decoding Schedule
In partially parallel architectures, only a few SVNs and SCNs are instantiated simultaneously. Figure 5 shows the proposed architecture that connects the SCND to the SVND. The SCND consists of M D flip-flops, used as memory to store updated SCN messages received from SVND. Here, M is the total number of SCNs of the Tanner graph of the decoded LDPC code. The architecture adopted shuffled iterative decoding [], in which the total number of block columns of the BGM is subdivided into vertical layers: each layer consists of one block column of BGM or columns of the PCM, where is the SVN parallelism factor; these columns are mapped as SVNs of the Tanner graph of the decoded LDPC code. Before the next vertical layer is processed, the SVNs of each layer are processed in parallel, and the results are used to update the connected SCNs. Using this scheduling, the 3808 columns of the 1/3-rate codeword length LDPC code PCM are divided into vertical layers: each layer consists of columns. Accordingly, the proposed decoder has an SVND, which comprises stochastic variable node processing units (SVNPUs), which function based on the SVN update. These units process a layer of columns of the PCM during each clock cycle, with these updated values being written back to SCND immediately. Hence, each decoding cycle (DC) requires clock cycles. Each DC creates one new bit in each stochastic bit sequence.

Figure 5.
Block diagram of the proposed stochastic decoder.
4.2. BGM ROMs
It is possible to regulate the routing and shifting of intrinsic and extrinsic messages between the routing network, SVNPUs, and SCNPUs by employing a set of ROM blocks that hold the location and shift values of non-‘−1’ entries of each BGM in a hardware-optimized form: the three ROMs, namely ROM1-location, ROM2-shift, and ROM3-weight. Firstly, the row indices of all non-‘−1’ entries within each block column of BGM are represented by the values in the ROM1-location. Second, ROM2-shift saves the shift value difference between each non-‘−1’ entry in each block column and the previous non-‘−1’ entry in the same block row. This value can be determined at design time and saved as described. Lastly, each block column of the BGM’s weight is stored in ROM3-weight. For the proposed architecture, all three ROMs contain locations, each with values: i.e., locations.
4.3. Routing Network
The routing network carries the single-bit SCN-to-SVN messages from the SCND registers to the SVNPUs in the SVND; these messages are updated and sent back to the SCND. This routing network combines separate modules called the ’multiplexer’ (MULX), ’interleaver’, ’distributor’, ’re-distributor’, and ’updater’. The functions of these blocks are explained later in this section. The maximum number of SCN-to-SVN message inputs needed for any SVNPU at any time is = 30, which is the maximum number of non-‘−1’ entries in any block column within the allowed code rate set.
4.3.1. Multiplexer
Using the row-index values kept in the ROM1-location, the MULX unit chooses blocks of bits from the SCND. However, instead of connecting each input to each output, this module requires fewer hardware resources by adopting the method of storing ROM1-location row-index values in ascending order []. For instance, the block column of any BGM has weight , such that . All of the values of ROM1-location are arranged so that the top block row-indices of the non-‘−1’ entries in that block column are in ascending order, while the remaining values are empty data. The multiplexer designed to support the seven LDPC BGMs of the allowed code rate set with maximum column weight requires 210 connections. By using this method [], the number of connections decreased to 39% of those previously required.
4.3.2. Interleaver
The MULX output blocks from the SCND are cyclically shifted by parallel barrel shifters in the interleaver module based on shift values stored in ROM2-shift. Before being read by the SVND, a group of messages of the sub-matrix must be converted from a row-centric to a column-centric representation based on the corresponding shift value in BGM by a barrel shifter. Each barrel shifter has inputs and outputs because the shift value can be any integer between 0 and . The hardware description language (HDL) used for the BSs integrated with the proposed flexible decoder architecture is customised for the supported BGMs during the design phase. The choice of multiplexer input for every BGM is influenced by the expansion factor value linked to the corresponding BGM based on the cyclic shift decomposition algorithm mentioned in [].
4.3.3. Distributor and Re-Distributor
The distributor takes = 30 blocks of bits from SCND and performs a rearrangement process to form blocks of = 30 bits. The pipeline registers may optionally latch these blocks before the SVND processes them. After undergoing SVND processing, the resulting blocks of = 30 bits are again subjected to a similar rearrangement process by the re-distributor to form = 30 blocks of bits.
4.3.4. Pipeline Registers
Stochastic layered decoding involves binary operations, causing each layer’s message updates to either alter or leave prior layer updates unchanged. The decoding schedule needs to store updates from each previous layer before moving on to the next. Adding a single pipeline stage to the suggested architecture can sometimes improve BER performance without negatively impacting the decoding process. In some BGMs, a column-wise permutation occurs, allowing for column-orthogonality in block columns. Adding a pipeline stage during the data path does not negatively impact decoding performance when processed in this order []. If a permutation is not found, introducing a few vacant stall layers among non-orthogonal columns can be developed. Finding the necessary minimum values of for each BGM and adding this supplementary pipeline stage is advantageous. Decreasing the number of block rows while keeping the number of block columns constant can enhance the coding rate. Simulations show that high-rate codes require more vacant stall layers among non-orthogonal columns compared to low-rate codes.
4.3.5. Updater
Using the values from the ROM1-location, this component transfers these = 30 blocks of bits back into the SCND at the proper location. Moreover, the ROM3-weight is utilized in this case to guarantee that only the most recent values are written, removing any potential interference from non-‘−1’ entries or “don’t care” data. As D-flip-flops are being used to implement the SCND, each layer can be written right away.
4.4. Stochastic Variable Node Decoder (SVND)
The SVND module contains parallel stochastic variable node processing units (SVNPUs). These SVNPUs can process one block column of the BGM . Hence, each SVNPU processes one column of the PCM. Each SVNPU has multiple inputs and outputs equal to , where is the highest column weight in the supported BGM code rate set. The extra input and output are utilized, respectively, for channel-intrinsic messages and the estimation of the decoded bit. It is essential to consider that the largest number of inputs and outputs must be taken into account to guarantee that each SVNPU can decode any arbitrary column-weight column in the code rate set. The SVND accepts the maximum SVN weight input bits from the connected SCNs and an intrinsic bit from the intrinsic message memory unit (IMMU). By considering such values, SVND implements the SVN update operation, and the updated extrinsic values are sent to the corresponding SCNPUs.
Stochastic Variable Node Processing Unit (SVNPU)
In this stochastic architecture, the chance of SVNPU output being in the hold state increases as inputs to SVNPU increase []. The SVNPU forces the current output to continuously repeat the previous output over a certain period when the two input bits of the SVNPU are not equal, known as the hold state of the SVNPU []. Due to this state, the decoder is unable to make correct decisions. It interrupts the decoder convergence, and its bit error rate (BER) performance degrades. Hence, the architecture of high-column-weight SVNPU is built using low-weight sub-nodes with memory blocks; typically, sub-nodes are employed.
As shown in Figure 6 [], the column-weight SVNPU is constructed using two column-weight and one sub-nodes. The memory blocks are internal memory (IM), which has a length of bits for each sub-node, and edge memory (EM), which has a length of bits at the output edge. The critical role of EM and IM is to minimize the correlation produced by the hold state in a stochastic sequence and disrupt the correlation of the stochastic sequence by randomizing stochastic bits []. We used a dual-tree design [] to build a high-column-weight SVNPU that would be flexible enough to handle any active inputs and outputs up to the maximum , which is a power of two. For instance, column weight of SVNPU has inputs and outputs. As a result, the adopted SVNPU dual-tree design requires a total of sub-nodes. Two significant components, summing and combining, each with stages, make up the dual-tree structure.

Figure 6.
Block diagram of SVNPU with high .
4.5. Control Unit
The control unit of the decoder manages internal and external control signals, including commands to stop or proceed with the iterative decoding. A new group of -bit intrinsic probabilities may need to be loaded into the IMMU, and this can be indicated by the LOAD signal. The decoder must decode a new frame, and all modules must be reset to their default conditions using the RESET signal. The ability of the proposed architecture to swap the current BGM to decode the message contained in the IMMU during a single clock cycle is one of its essential characteristics. The supporting BGMs are parameterised in ROMs at compile-time to enable this flexibility level. The process of decoding is started and maintained by the START signal. As long as this signal is active, the decoder keeps doing iterative decoding; the decoding operation is stopped once if the START signal is absent.
5. Design Flow
For instance, a QC LDPC code with a codeword length of N = 3808 and a code rate of R = 1/3 that complies with the 5G NR standard has a BGM with the dimensions . This BGM has 308 non-‘−1’ entry values, which is equal to 68 × 4.52, and an average variable node degree of 4.52. The BGM forms the basis for the representation and construction of the PCM H. Therefore, the calculation for non-zero entries in the PCM is determined by multiplying 308 by 56, which equals 17,248, where = 56 is the lifting size or expansion factor. Consequently, this results in twice the 17,248 interconnections that exist between the variable and check nodes of the decoder, which makes the structure extremely complicated. Modelling these thousands of interconnections in hardware description language (HDL) takes at least thirty minutes. This modelling is extremely time-consuming when dealing with a partially parallel architecture. The process of simulating and debugging the hand-coded HDL model is both extremely challenging and time-consuming, respectively. The process of modelling the decoder with a different code length turns out to be an activity that is both unproductive and repetitive. Because of this, automating the design flow to remove repetitive and redundant tasks requires an efficient design methodology. The above-mentioned problems were solved by creating an automation tool in MATLAB using the C++ programming language; the tool takes less than a minute to generate connections between the nodes of the proposed decoder.
This section outlines the suggested design flow, which enables the automated flexibility in design and creates an optimal FPGA-based stochastic LDPC decoder for a selected set of 5G QC LDPC codes. The flowchart in Figure 7 depicts the design flow. In the first step, the construction of the required code rate BGM set is based on the user inputs like message length, code rate, and lifting sizes of the 5G LDPC code. The second step has two tasks: The first task entails determining the decoder’s parameters, such as the maximum of the matrix dimensions and weights, namely , , , , and , which describe the chosen set of supported BGMs. Based on lifting size , it is possible to determine the parallelism factor from these. For the LDPC code rate set, the maximum values are , , , , and . Another task is to extract the positions and shift values of the non-‘−1’ entries in each BGM and arrange them consistent with the ROMs. Considering the parameters derived in the earlier step, the design flow utilizes a high-level synthesis (HLS) tool [] to produce the hardware description language (HDL) SystemVerilog code for the suggested architecture written in the high-level language C++. After register transfer level (RTL) modelling of the decoder, it is synthesized using the Xilinx synthesis tool to measure the hardware requirements of the decoder. The bit error rate (BER) simulations have been implemented on the FPGA test setup.

Figure 7.
Flowchart for offline design and implementation of the proposed decoder.
6. Implementation Results and Discussion
6.1. Approach
After the offline design method is completed, the HDL code description of the decoder for the required code rate set is generated, which is further synthesized and integrated as the HDL code on the Xilinx Kintex-7 XC7K160T-series FPGA board [] to determine the hardware resource utilisation and processing throughput. An additional parameter that is measured is the transmission energy efficiency of the synthesized decoder in terms of the channel’s signal-to-noise power ratio per bit at a required BER of for each target BGM. Simulations are carried out to evaluate the transmission energy efficiency of the synthesized decoder. The simulations entail a minimum of 100 frame errors per BER measurement and a maximum of 600 DCs per frame.
The intrinsic channel LLRs serve as input to the decoder module of the FPGA board, which is received via the RS232 port of the computer. In order to facilitate communication with the computer, an RS232 transceiver module has been designed. The MATLAB environment in the computer is utilised to send and receive the same set of decoded LLRs after completing the decoding process on the FPGA. Subsequently, MATLAB compares the input and output LLRs of the FPGA and estimates the BER performance.
6.2. Results
In order to analyse the performance of the proposed decoder, we consider three parameters: BER performance, hardware utilisation, and processing throughput.
6.2.1. BER Performance
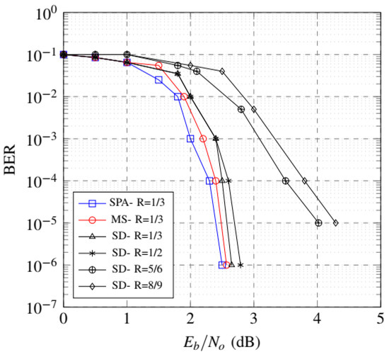
Figure 8 shows BER performance of the proposed decoder, which delivers BER = at 2.65 dB of for a block length of 3808 with a base code rate of 1/3. It has been observed that SD provides better error correction performance compared with the conventional sum–product (SPA) and min–sum (MS) algorithms. Notably, decoding iterations of SD require more clock cycles than conventional designs. Additionally, it has been observed that applying noise-dependent scaling of 0.86 [] to the received channel probabilities improves performance for lower code rates such as 1/3 and 2/5. Conversely, this performance declines for higher code rates such as 5/6 and 8/9.

Figure 8.
BER plot of various algorithms and code rates for N = 3808.
6.2.2. Hardware Utilisation
The proposed design’s advantage lies in the significant reduction in decoder complexity. Table 5 compares the suggested design and the min–sum-based decoder architectures, indicating that the former requires less hardware by approximately 37%. A crucial parameter that affects the decoder’s area and routing complexity is the number of interconnecting wires between its nodes. In this regard, the suggested design outperforms the min–sum-based decoder by requiring 34,729 fewer interconnect wires. Other parameters of the suggested design are comparable to those of the min-sum-based decoder. The results in Table 6 indicate that the increase in coding rate significantly impacts the SD decoder’s decoded processing throughput. However, at the same time, it negatively affects the error correction performance.

Table 5.
FPGA implementation results.

Table 6.
SD results of various code rates for 3808.
6.2.3. Processing Throughput
The proposed architecture requires a reduction in hardware resources, although it performs with a considerably lower processing throughput expense. This lower throughput of stochastic decoders is due to the high number of decoding cycles (DCs) needed to reach a correct code word. Due to the high number of DCs and the partially parallel decoder architecture, the problem is made worse by the fact that each DC requires many clock cycles, which reduces decoding throughput. The SD architecture requires a maximum of 620 DCs per frame, and each decoding cycle necessitates 68 clock cycles for code length . Table 5 compares both designs and concludes that the processing throughput of the SD design is about 38% lower than that of the min-sum design. Table 6 demonstrates that an increase in the code rate results in a concurrent increase in the processing throughput.
6.3. Comparative Analysis
To facilitate a comparative analysis, the Verilog hardware description language (HDL) was employed to model the architecture. It was subsequently subjected to simulation to verify its functionality using a test pattern generated by a C++ simulator. The design functions were verified successfully, following which, the architecture was synthesized while adhering to suitable time and area constraints. Synopsys design tools were employed during both the simulation and synthesis stages in combination with TSMC 65 nm CMOS standard cell technology. The results obtained post-synthesis are presented in Table 7. Specifically, the proposed SD architecture occupies an area of 1.10 mm and achieves a throughput of 1.12 Gbps, while the power consumption is 410 mW.

Table 7.
Comparative results.
The comparison of the proposed SD with other LDPC decoders is provided in Table 7 considering implementation and performance. The proposed design has been shown to reduce the decoder architecture’s complexity significantly. These designs exhibit varying implementation parameters and include code length and decoding algorithms such as combined min–sum (CMS) and normalised min-sum (NMS). Compared to the reported decoders, the proposed architecture exhibits area efficiency increases of 26% compared to [], 62% compared to [], 51.11% compared to [], and 77.46% compared to [], while delivering energy efficiency improvements of 52% compared to [] and 21.6% compared to [].
7. Conclusions
In this paper, we constructed a BGM of QC LDPC code meeting the 5G NR standard. We presented stochastic decoding to LDPC codes as a hardware-efficient alternative to SPA- and MS-based LDPC decoders. From simulations, we observed that with the inclusion of features like scaling and edge memory, stochastic decoding performs almost at the level of SPA-based LDPC decoder in terms of BER performance. Compared to the reported decoders, the proposed architecture exhibits area efficiency improvements of 26% compared to the CMS-based decoder, 62% compared to the NMS-based decoder, and 77.46% compared to the MS-based decoder, while delivering energy efficiency improvements of 52% compared to the NMS-based decoder and by 21.6% compared to the MS-based decoder.
Author Contributions
S.P.T. conceptualized the idea of this research, conducted experiments, collected data, and prepared the original version. R.A. reviewed, analyzed data, and updated the manuscript. R.P. supervised, validated, reviewed. All authors have read and agreed to the published version of the manuscript.
Funding
This research received no external funding.
Data Availability Statement
The data used for the experiments reported in this paper are available upon request from the authors via email.
Conflicts of Interest
The authors declare no conflict of interest.
References
- Gallager, R.G. Low-density parity-check codes. IRE Trans. Inf. Theory 1962, 8, 21–28. [Google Scholar] [CrossRef]
- ETSI. ETSI EN 302 307 v1.3.1 Digital Video Broadcasting (DVB); Second Generation; ETSI: Sophia Antipolis, France, 2013. [Google Scholar]
- IEEE 802.11n-2009; Standard for Information technology-Local and Metropolitan Area Networks-Specific Requirements—Part 11: Wireless LAN Medium Access Control (MAC) and Physical Layer (PHY) Specifications. IEEE: New York, NY, USA, 2009.
- IEEE 802.16-2004; Standard for Local and Metropolitan Area Networks—Part 16: Air Interface for Fixed Broadband Wireless Access Systems. IEEE: New York, NY, USA, 2004.
- 3GPP. R1-1611081 Final Report. In Proceedings of the 3GPP TSG RAN WG1 Meeting 86bis, Lisbon, Portugal, 10–14 October 2016; pp. 83–89.
- MacKay, D.J.C.; Neal, R.M. Near Shannon limit performance of low-density parity-check codes. Electron. Lett. 1996, 32, 1645–1646. [Google Scholar] [CrossRef]
- Chung, S.Y.; Forney, G.D.; Richardson, T.J.; Urbanke, R. On the design of low-density parity-check codes within 0.0045 dB of the Shannon limit. IEEE Commun. Lett. 2001, 5, 58–60. [Google Scholar] [CrossRef]
- Ad-Hoc Chair (Nokia). Chairman’s Notes of Agenda Item 7.1.4. Channel Coding. 3GPP TSG RAN WG1 Meeting AH 2, R1-1711982. 2017. Available online: https://portal.3gpp.org (accessed on 9 December 2022).
- Fossorier, M.P. Quasi cyclic low-density parity-check codes from circulant permutation matrices. IEEE Trans. Inf. Theory 2004, 50, 1788–1793. [Google Scholar] [CrossRef]
- Tanner, R. A recursive approach to low complexity codes. IEEE Trans. Inf. Theory 1981, 27, 533–547. [Google Scholar] [CrossRef]
- Wiberg, N. Codes and Decoding on General Graphs; Citeseer: Princeton, NJ, USA, 1996. [Google Scholar]
- Hailes, P.; Xu, L.; Maunder, R.G.; Al-Hashimi, B.M.; Hanzo, L. A Flexible FPGA-Based Quasi-Cyclic LDPC Decoder. IEEE Access 2017, 5, 20965–20984. [Google Scholar] [CrossRef]
- Zhang, C.; Wang, Z.; Sha, J.; Li, L.; Lin, J. Flexible LDPC Decoder Design for Multigigabit-per-Second Applications. IEEE Trans. Circuits Syst. Regul. Pap. 2010, 57, 116–124. [Google Scholar] [CrossRef]
- Kschischang, F.R.; Frey, B.J.; Loeliger, H.A. Factor graphs and the sum-product algorithm. IEEE Trans. Inf. Theory 2001, 47, 498–519. [Google Scholar] [CrossRef]
- Angarita, F.; Valls, J.; Almenar, V.; Torres, V. Reduced-complexity min-sum algorithm for decoding LDPC codes with low error-floor. IEEE Trans. Circuits Syst. Regul. Pap. 2014, 61, 2150–2158. [Google Scholar] [CrossRef]
- Gaudet, V.C.; Rapley, A.C. Iterative decoding using stochastic computation. Electron. Lett. 2003, 39, 299–301. [Google Scholar] [CrossRef]
- Hayes, J.P. Introduction to Stochastic Computing and its Challenges. In Proceedings of the 52nd Annual Design Automation Conference, San Francisco, CA, USA, 7–11 June 2015; pp. 2–4. [Google Scholar]
- Lee, X.R.; Chen, C.L.; Chang, H.C.; Lee, C.Y. A 7.92 Gb/s 437.2 mW Stochastic LDPC Decoder Chip for IEEE 802.15.3c Applications. IEEE Trans. Circuits Syst. Regul. Pap. 2015, 62, 507–516. [Google Scholar] [CrossRef]
- The IEEE 802.15.3c Working Group Std. (WPAN). [Online]. Available online: https://www.ieee802.org (accessed on 1 November 2009).
- Chandrasetty, V.A.; Aziz, S.M. Resource Efficient LDPC Decoders: From Algorithms to Hardware Architectures; Academic Press: Cambridge, MA, USA, 2017. [Google Scholar]
- Gross, W.J.; Gaudet, V.C.; Milner, A. Stochastic implementation of LDPC decoders. In Proceedings of the Conference Record of the Thirty-Ninth Asilomar Conference on Signals, Systems, and Computers, Pacific Grove, CA, USA, 30 October–2 November 2005; pp. 713–717. [Google Scholar]
- Zhang, D.; Li, H. A Stochastic-Based FPGA Controller for an Induction Motor Drive with Integrated Neural Network Algorithms. IEEE Trans. Ind. Electron. 2008, 55, 551–561. [Google Scholar] [CrossRef]
- Dinu, A.; Cirstea, M.N.; McCormick, M. Stochastic implementation of motor controllers. In Proceedings of the 2002 IEEE International Symposium on Industrial Electronics, L’Aquila, Italy, 8–11 July 2002; Volume 2, pp. 639–644. [Google Scholar]
- Tehrani, S.S.; Mannor, S.; Gross, W.J. Fully Parallel Stochastic LDPC decoders. IEEE Trans. Signal Process. 2008, 56, 5692–5703. [Google Scholar] [CrossRef]
- Winstead, C.; Gaudet, V.C.; Rapley, A.; Schlegel, C. Stochastic iterative decoders. In Proceedings of the International Symposium on Information Theory, ISIT 2005, Adelaide, SA, Australia, 4–9 September 2005; pp. 1116–1120. [Google Scholar]
- Zhang, J.; Fossorier, M.P.C. Shuffled iterative decoding. IEEE Trans. Commun. 2005, 53, 209–213. [Google Scholar] [CrossRef]
- Hailes, P. Design and Implementation of Flexible FPGA-Based LDPC Decoders. Ph.D. Thesis, University of Southampton, Southampton, Malaysia, 2018. [Google Scholar]
- Jung, Y.; Jung, Y.; Lee, S.; Kim, J. Low-complexity multi-way and re-configurable cyclic shift network of QC-LDPC decoder for Wi-Fi/WIMAX applications. IEEE Trans. Consum. Electron. 2013, 59, 467–475. [Google Scholar] [CrossRef]
- Tehrani, S.S.; Gross, W.J.; Mannor, S. Stochastic decoding of LDPC codes. IEEE Commun. Lett. 2006, 10, 716–718. [Google Scholar] [CrossRef]
- Nane, R.; Sima, V.M.; Pilato, C.; Choi, J.; Fort, B.; Canis, A.; Chen, Y.T.; Hsiao, H.; Brown, S.; Ferrandi, F.; et al. A Survey and Evaluation of FPGA High-Level Synthesis Tools. IEEE Trans. Comput. Aided Des. Integr. Circuits Syst. 2016, 35, 1591–1604. [Google Scholar] [CrossRef]
- Xilinx. 7 Series FPGA Configurable Logic Block User Guide—UG474; Xilinx: San Jose, CA, USA, 2014. [Google Scholar]
- Thi Bao Nguyen, T.; Nguyen Tan, T.; Lee, H. Low-complexity high-throughput QC-LDPC decoder for 5G new radio wireless communication. Electronics 2021, 10, 516. [Google Scholar] [CrossRef]
- Zhang, K.; Huang, X.; Wang, Z. High-throughput layered decoder implementation for quasi-cyclic LDPC codes. IEEE J. Sel. Areas Commun. 2009, 27, 985–994. [Google Scholar] [CrossRef]
- Li, M.-R.; Yang, C.-H.; Ueng, Y.-L. A 5.28-Gb/s LDPC decoder with time-domain signal processing for IEEE 802.15. 3c applications. IEEE J. Solid State Circuits 2016, 52, 592–604. [Google Scholar] [CrossRef]
- Tsatsaragkos, I.; Paliouras, V. A reconfigurable LDPC decoder optimized for 802.11 n/ac applications. IEEE Trans. Very Large Scale Integr. (VLSI) Syst. 2017, 26, 182–195. [Google Scholar] [CrossRef]
Disclaimer/Publisher’s Note: The statements, opinions and data contained in all publications are solely those of the individual author(s) and contributor(s) and not of MDPI and/or the editor(s). MDPI and/or the editor(s) disclaim responsibility for any injury to people or property resulting from any ideas, methods, instructions or products referred to in the content. |
© 2023 by the authors. Licensee MDPI, Basel, Switzerland. This article is an open access article distributed under the terms and conditions of the Creative Commons Attribution (CC BY) license (https://creativecommons.org/licenses/by/4.0/).