Design of a Multi-Standard UWB-LoRa Antenna Structure and Transceiver Board for High-Accuracy and Long-Range Localization Applications
Abstract
:1. Introduction
2. Related Work
3. UWB-LoRa Localization Method
3.1. LoRa-UWB Sensing and Ranging Approach
- The accuracy of the localization is of UWB-level accuracy, which is approximately 15 to 20 cm and in some cases even less. This accuracy cannot be achieved using standard LoRa localization schemes, as LoRa is a narrowband communication technology. At the receiving stage of the broadband time domain signal, it is difficult to precisely determine the arrival time compared to UWB narrow time pulses.
- The ability to achieve the real-time property of the localization thanks to UWB while still consuming as little power as possible. Real-time localization with LoRa-only systems is not possible, as, in this case, the LoRa module needs to send the received packet from the tag to the gateway. This packet contains the time of flight, which makes it necessary to estimate the location at the gateway side each time; without knowing if the tag has moved or not, this continuous packet transmission would consume more power, which is against the LoRa principle.
- UWB and LoRa based systems are mostly active (battery powered) in the proposed system, as the UWB battery powers both the UWB and LoRa modules. As LoRa’s power consumption is very low, another power unit is not necessary.
3.2. Design of the LoRa-UWB Transceiver
3.3. Antenna Structure Design
4. Results
4.1. Antenna Measurements
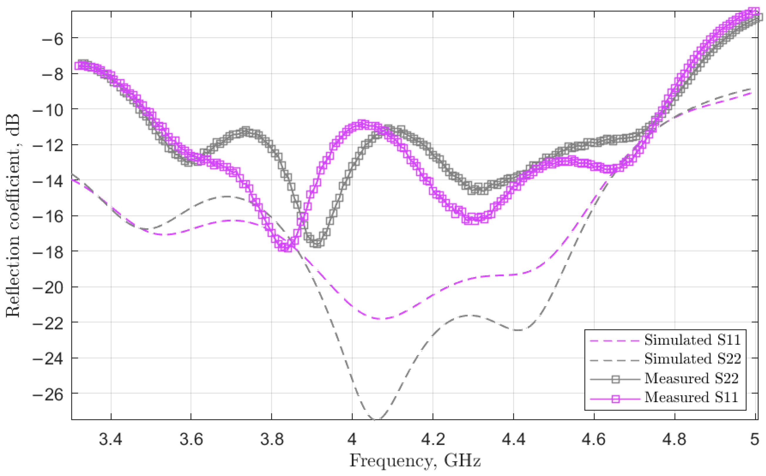
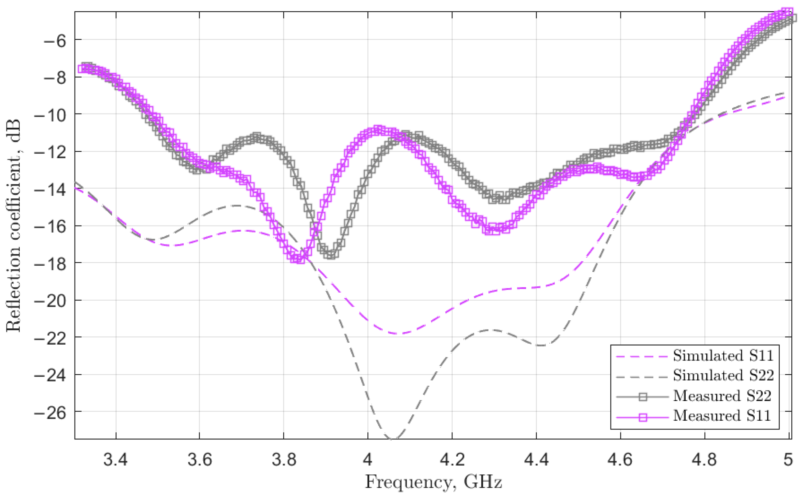
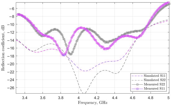
4.1.1. Impedance Matching
4.1.2. Efficiency and Gain
4.1.3. Radiation Pattern
5. Discussion
5.1. From the Sensor-Tag to the Reader
5.2. From the Reader to the Gateway and Network
5.3. Localization Accuracy
6. Conclusions
Author Contributions
Funding
Data Availability Statement
Acknowledgments
Conflicts of Interest
References
- Khutsoane, O.; Isong, B.; Abu-Mahfouz, A.M. IoT devices and applications based on LoRa/LoRaWAN. In Proceedings of the IECON 2017—43rd Annual Conference of the IEEE Industrial Electronics Society, Beijing, China, 29 October–1 November 2017; pp. 6107–6112. [Google Scholar] [CrossRef]
- Merhej, D.; Ahriz, I.; Garcia, S.; Terré, M. LoRa Based Indoor Localization. In Proceedings of the 2022 IEEE 95th Vehicular Technology Conference: (VTC2022-Spring), Helsinki, Finland, 19–22 June 2022; pp. 1–5. [Google Scholar] [CrossRef]
- Marquez, L.E.; Calle, M. Understanding LoRa-Based Localization: Foundations and Challenges. IEEE Internet Things J. 2023, 10, 11185–11198. [Google Scholar] [CrossRef]
- Mekki, K.; Bajic, E.; Chaxel, F.; Meyer, F. A comparative study of LPWAN technologies for large-scale IoT deployment. ICT Express 2019, 5, 1–7. [Google Scholar] [CrossRef]
- Augustin, A.; Yi, J.; Clausen, T.; Townsley, W.M. A Study of LoRa: Long Range & Low Power Networks for the Internet of Things. Sensors 2016, 16, 1466. [Google Scholar] [CrossRef] [PubMed]
- Devalal, S.; Karthikeyan, A. LoRa Technology—An Overview. In Proceedings of the 2018 Second International Conference on Electronics, Communication and Aerospace Technology (ICECA), Coimbatore, India, 29–31 March 2018; pp. 284–290. [Google Scholar] [CrossRef]
- Muppala, R.; Navnit, A.; Devendra, D.; Matera, E.R.; Accettura, N.; Hussain, A.M. Feasibility of Standalone TDoA-based Localization Using LoRaWAN. In Proceedings of the 2021 International Conference on Localization and GNSS (ICL-GNSS), Tampere, Finland, 1–3 June 2021; pp. 1–7. [Google Scholar] [CrossRef]
- Kombo, O.H.; Kumaran, S.; Bovim, A. Design and Application of a Low-Cost, Low- Power, LoRa-GSM, IoT Enabled System for Monitoring of Groundwater Resources With Energy Harvesting Integration. IEEE Access 2021, 9, 128417–128433. [Google Scholar] [CrossRef]
- Ferrero, F.; Truong, H.-N.-S.; Le-Quoc, H. Multi-harvesting solution for autonomous sensing node based on LoRa technology. In Proceedings of the 2017 International Conference on Advanced Technologies for Communications (ATC), Quy Nhon, Vietnam, 18–20 October 2017; pp. 250–253. [Google Scholar] [CrossRef]
- Dardari, D.; Closas, P.; Djuric, P.M. Indoor Tracking: Theory, Methods, and Technologies. IEEE Trans. Veh. Technol. 2015, 64, 1263–1278. [Google Scholar] [CrossRef]
- Dardari, D.; Conti, A.; Ferner, U.; Giorgetti, A.; Win, M.Z. Ranging with Ultrawide Bandwidth Signals in Multipath Environments. Proc. IEEE 2009, 97, 404–426. [Google Scholar] [CrossRef]
- IEEE Std 802.15.4z-2020; IEEE Standard for Low-Rate Wireless Networks–Amendment 1: En-Hanced Ultra Wideband (UWB) Physical Layers (PHYs) and Associated Ranging Techniques. IEEE: New York City, NY, USA, 2020; pp. 1–174.
- Coppens, D.; Shahid, A.; Lemey, S.; Marshall, B.V.H.C.; De Poorter, E. An Overview of Ultra-WideBand (UWB) Standards and Organizations (IEEE 802.15.4, FiRa, Apple): Interoperability Aspects and Future Research Directions. IEEE Access 2022, 10, 70219–70241. [Google Scholar] [CrossRef]
- Benouakta, A.; Ferrero, F.; Lizzi, L.; Staraj, R. Antenna Characteristics Contributions to the Improvement of UWB Real-Time Locating Systems’ Reading Range and Multipath Mitigation. IEEE Access 2023, 11, 71449–71458. [Google Scholar] [CrossRef]
- Pospisil, J.; Fujdiak, R.; Mikhaylov, K. Investigation of the Performance of TDoA-Based Localization Over LoRaWAN in Theory and Practice. Sensors 2020, 20, 5464. [Google Scholar] [CrossRef] [PubMed]
- Daramouskas, I.; Mitroulias, D.; Perikos, I.; Paraskevas, D.; Kapoulas, V. Localization in LoRa Networks Based on Time Difference of Arrival; Springer: Cham, Switzerland, 2022; pp. 130–143. [Google Scholar] [CrossRef]
- Fargas, B.C.; Petersen, M.N. GPS-free geolocation using LoRa in low-power WANs. In Proceedings of the 2017 Global Internet of Things Summit (GIoTS), Geneva, Switzerland, 6–9 June 2017; pp. 1–6. [Google Scholar] [CrossRef]
- Ha, G.Y.; Seo, S.B.; Oh, H.S.; Jeon, W.S. LoRa ToA-Based Localization Using Fingerprint Method. In Proceedings of the International Conference on Information and Communication Technology Convergence (ICTC), Jeju, Republic of Korea, 16–18 October 2019; pp. 349–353. [Google Scholar] [CrossRef]
- Aarif, L.; Tabaa, M.; Hachimi, H. Experimental test and performance of RSSI-based indoor localization in LoRa Networks. Procedia Comput. Sci. 2022, 203, 420–425. [Google Scholar] [CrossRef]
- Strzoda, A.; Marjasz, R.; Grochla, K. How Accurate is LoRa Positioning in Realistic Conditions? In Proceedings of the Proceedings of the 12th ACM International Symposium on Design and Analysis of Intelligent Vehicular Networks and Applications, Montreal, QC, Canada, 24–28 October 2022; Association for Computing Machinery: New York, NY, USA, 2022; pp. 31–35. [Google Scholar]
- Li, B.; Xu, Y.; Liu, Y.; Shi, Z. LoRaWAPS: A Wide-Area Positioning System Based on LoRa Mesh. Appl. Sci. 2023, 13, 9501. [Google Scholar] [CrossRef]
- Kwasme, H.; Ekin, S. RSSI-Based Localization Using LoRaWAN Technology. IEEE Access 2019, 7, 99856–99866. [Google Scholar] [CrossRef]
- Lam, K.-H.; Cheung, C.-C.; Lee, W.-C. RSSI-Based LoRa Localization Systems for Large-Scale Indoor and Outdoor Environments. IEEE Trans. Veh. Technol. 2019, 68, 11778–11791. [Google Scholar] [CrossRef]
- B-UWB-MEK1—Evaluation Kit for the B-UWB-MOD1 Ultra-Wideband Module—STMicroelectronics. Available online: https://www.st.com/en/wireless-connectivity/b-uwb-mek1.html (accessed on 3 February 2023).
- Benouakta, A.; Ferrero, F.; Lizzi, L.; Brochier, L.; Staraj, R. Measurements of antenna polarization effects on Ultra-Wideband monitoring and localization. In Proceedings of the 2021 IEEE Conference on Antenna Measurements & Applications (CAMA), Antibes Juan-les-Pins, France, 15–17 November 2021; pp. 589–590. [Google Scholar] [CrossRef]
- Benouakta, A.; Ferrero, F.; Lizzi, L.; Staraj, R. Frequency Reconfigurable and Circularly Polarized Patch Antenna Over Dual Ultra-wideband Channels. In Proceedings of the 2022 16th European Conference on Antennas and Propagation (EuCAP), Madrid, Spain, 27 March–1 April 2022; pp. 1–5. [Google Scholar] [CrossRef]
- Ghavami, M.; Michael, L.B.; Kohno, R. Ultra Wideband Signals and Systems in Communication Engineering, 1st ed.; Wiley: Hoboken, NJ, USA, 2007. [Google Scholar] [CrossRef]
- Duran, M.A.C.; D’Amico, A.A.; Dardari, D.; Rydström, M.; Sottile, F.; Ström, E.G.; Taponecco, L. Chapter 3—Terrestrial Network-Based Positioning and Navigation. In Satellite and Terrestrial Radio Positioning Techniques; Dardari, D., Falletti, E., Luise, M., Eds.; Academic Press: Oxford, UK, 2012; pp. 75–153. [Google Scholar] [CrossRef]
- Ghassemzadeh, S.; Greenstein, L.; Kavcic, A.; Sveinsson, T.; Tarokh, V. An Empirical Indoor Path Loss Model for Ultra-Wideband Channels. J. Commun. Netw.—JCN 2003, 5, 303–308. [Google Scholar] [CrossRef]
- Frattasi, S.; Rosa, F.D.; Dardari, D. Ultra-wideband Positioning and Tracking. In Mobile Positioning and Tracking; Frattasi, S., Rosa, F.D., Eds.; Wiley: Hoboken, NJ, USA, 2017. [Google Scholar] [CrossRef]
- Rubio, L.; Reig, J.; Fernández, H.; Rodrigo-Peñarrocha, V.M. Experimental UWB Propagation Channel Path Loss and Time-Dispersion Characterization in a Laboratory Environment. Int. J. Antennas Propag. 2013, 2013, e350167. [Google Scholar] [CrossRef]
















| UWB Antenna | Dimensions | LoRa Antenna | Dimensions |
|---|---|---|---|
| Separation between feed and shorting pin | |||
| Air gap (distance from ground plane) |
Disclaimer/Publisher’s Note: The statements, opinions and data contained in all publications are solely those of the individual author(s) and contributor(s) and not of MDPI and/or the editor(s). MDPI and/or the editor(s) disclaim responsibility for any injury to people or property resulting from any ideas, methods, instructions or products referred to in the content. |
© 2023 by the authors. Licensee MDPI, Basel, Switzerland. This article is an open access article distributed under the terms and conditions of the Creative Commons Attribution (CC BY) license (https://creativecommons.org/licenses/by/4.0/).
Share and Cite
Benouakta, A.; Nguyen, T.M.; Ferrero, F.; Lizzi, L.; Staraj, R. Design of a Multi-Standard UWB-LoRa Antenna Structure and Transceiver Board for High-Accuracy and Long-Range Localization Applications. Electronics 2023, 12, 4487. https://doi.org/10.3390/electronics12214487
Benouakta A, Nguyen TM, Ferrero F, Lizzi L, Staraj R. Design of a Multi-Standard UWB-LoRa Antenna Structure and Transceiver Board for High-Accuracy and Long-Range Localization Applications. Electronics. 2023; 12(21):4487. https://doi.org/10.3390/electronics12214487
Chicago/Turabian StyleBenouakta, Amina, Thao Manh Nguyen, Fabien Ferrero, Leonardo Lizzi, and Robert Staraj. 2023. "Design of a Multi-Standard UWB-LoRa Antenna Structure and Transceiver Board for High-Accuracy and Long-Range Localization Applications" Electronics 12, no. 21: 4487. https://doi.org/10.3390/electronics12214487
APA StyleBenouakta, A., Nguyen, T. M., Ferrero, F., Lizzi, L., & Staraj, R. (2023). Design of a Multi-Standard UWB-LoRa Antenna Structure and Transceiver Board for High-Accuracy and Long-Range Localization Applications. Electronics, 12(21), 4487. https://doi.org/10.3390/electronics12214487

