Optimal Scheduling of Virtual Power Plant Considering Revenue Risk with High-Proportion Renewable Energy Penetration
Abstract
:1. Introduction
2. Scenarios Generation Based on GAN
2.1. Improved GAN
2.2. Scenario Reduction Based on K-Medoids
3. Optimal Scheduling Strategy of VPP Based on CVaR
3.1. Modeling of Components in VPP
3.1.1. Gas Unit
3.1.2. Distributed Photovoltaic and Wind Turbines
3.1.3. Energy Storage Equipment
3.1.4. Demand Response
3.2. Optimal Scheduling Model Based on CVaR
3.2.1. Objective Function
3.2.2. Constraint Condition
- (1)
- Constraints of internal units
- (2)
- Day-ahead bidding constraints
- (3)
- Real-time market constraint
- (4)
- CVaR constraint
4. Integrated Scheduling Strategy
5. Example Analysis
5.1. Basic Data
5.2. Result Analysis
5.2.1. Typical Scenarios Generation Based on Improved GAN and K-Medoids
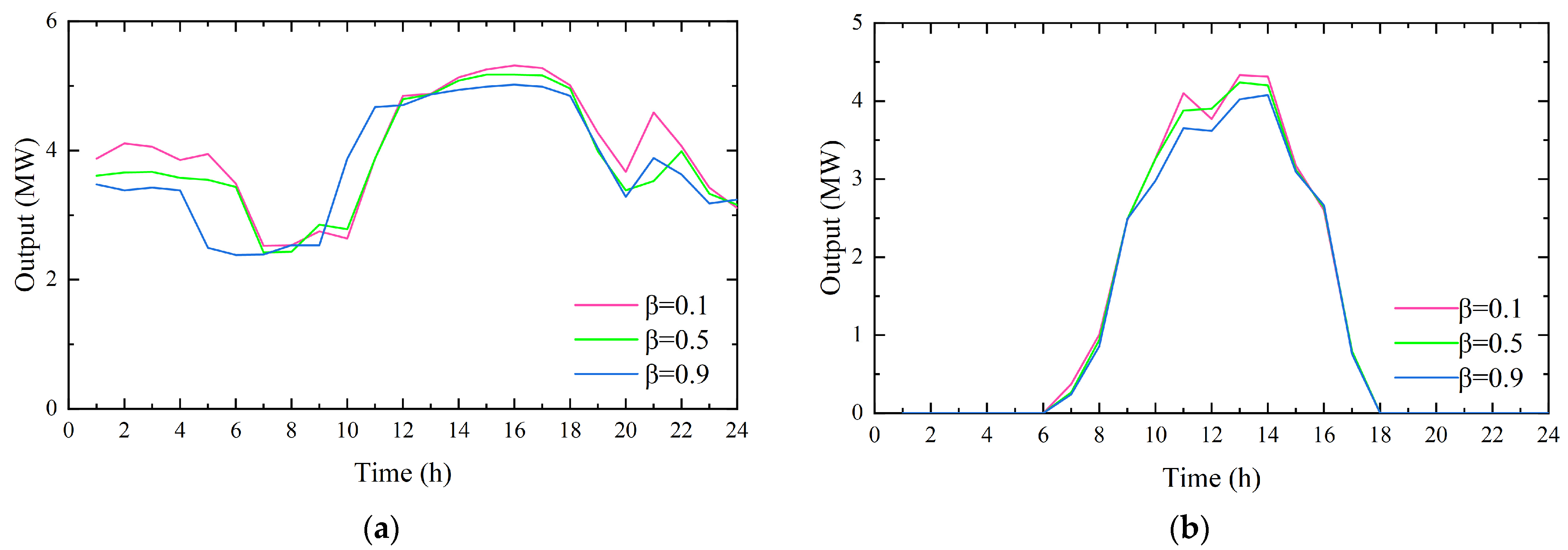
5.2.2. The Influence of Risk Weight on Each Unit Inside a VPP
5.2.3. The Relationship between CVaR and Profit
5.2.4. Comparison between the Proposed Scheduling Model and the Traditional Scheduling Model
6. Conclusions
- (1)
- The improved GAN model can avoid the difficult problem of traditional probabilistic model establishment, and the probability distribution characteristics of the generated scenario are basically consistent with those of the real scenario, which can effectively solve the uncertainty problem of renewable energy.
- (2)
- Risk weight has a certain influence on each unit in the VPP. Among them, photovoltaic and wind turbines are more obvious. With the increase in the risk weight, the risk decreases, and the output of the photovoltaic and wind turbines decreases continuously. Energy storage equipment and gas units are utilized to balance the uncertainty deviation between the day-ahead bidding and the actual output to the maximum extent, and the method of “low charge and high discharge” and “high start and low stop” is adopted to obtain greater economic benefits in the real-time market.
- (3)
- The risk weight also has a certain effect on the income of the VPP. The higher the risk tolerance of the VPP, the greater the profit. Accordingly, schedulers can balance the risks and profits according to their risk aversion; they can determine the impact of the risks on scheduling decisions, formulate reasonable operation strategies, and obtain more benefits.
Author Contributions
Funding
Data Availability Statement
Conflicts of Interest
Abbreviations
| VPP | Virtual Power Plant |
| GAN | Generative Adversarial Network |
| CLARA | Clustering LARge Applications |
| VaR | Value at Risk |
| CVaR | Conditional Value of Risk |
| JS | Jensen–Shannon |
References
- Luo, L.; Abdulkareem, S.S.; Rezvani, A.; Miveh, M.R.; Samad, S.; Aljojo, N.; Pazhoohesh, M. Optimal scheduling of a renewable based microgrid considering photovoltaic system and battery energy storage under uncertainty. J. Energy Storage 2020, 28, 101306. [Google Scholar] [CrossRef]
- Zakaria, A.; Ismail, F.B.; Lipu, M.S.H.; Hannan, M. Uncertainty models for stochastic optimization in renewable energy applications. Renew. Energy 2020, 145, 1543–1571. [Google Scholar] [CrossRef]
- Shi, J.; Ma, L.; Li, C.; Liu, N.; Zhang, J. A comprehensive review of standards for distributed energy resource grid-integration and microgrid. Renew. Sustain. Energy Rev. 2022, 170, 112957. [Google Scholar] [CrossRef]
- Nunes, J.B.; Mahmoudi, N.; Saha, T.K.; Chattopadhyay, D. Multi-stage co-planning framework for electricity and natural gas under high re-newable energy penetration. IET Gener. Transm. Distrib. 2018, 12, 4284–4291. [Google Scholar] [CrossRef]
- Hooshmand, R.A.; Gholipour, E. A comprehensive review on microgrid and virtual power plant concepts employed for distrib-uted energy resources scheduling in power systems. Renew. Sustain. Energy Rev. 2017, 67, 341–363. [Google Scholar]
- Yin, S.; Ai, Q.; Li, Z.; Zhang, Y.; Lu, T. Energy management for aggregate prosumers in a virtual power plant: A robust Stackelberg game approach. Electr. Power Energy Syst. 2020, 117, 105605. [Google Scholar] [CrossRef]
- Alahyari, A.; Ehsan, M.; Mousavizadeh, M.S. A hybrid storage-wind virtual power plant (VPP) participation in the electricity markets: A self-scheduling optimization considering price, renewable generation, and electric vehicles uncertainties. J. Energy Storage 2019, 25, 100812. [Google Scholar] [CrossRef]
- Yang, D.; He, S.; Wang, M.; Pandžić, H. Bidding Strategy for Virtual Power Plant Considering the Large-Scale Integrations of Electric Vehicles. IEEE Trans. Ind. Appl. 2020, 56, 5890–5900. [Google Scholar] [CrossRef]
- Fu, H.; Wu, Z.; Zhang, X.P.; Brandt, J. Contributing to DSO’s Energy-Reserve Pool: A Chance-Constrained Two-Stage VPP Bidding Strategy. IEEE Power Energy Technol. Syst. J. 2017, 4, 94–105. [Google Scholar] [CrossRef]
- Ma, Z.; Gao, J.; Hu, W.; Dinavahi, V. Risk-adjustable stochastic schedule based on Sobol augmented Latin hypercube sampling consid-ering correlation Wind power uncertainties. IET Renew. Power Gener. 2021, 15, 2356–2367. [Google Scholar] [CrossRef]
- Cao, W.; Wang, S.; Xu, M. Optimal Scheduling of Virtual Power Plant Based on Latin Hypercube Sampling and Improved CLARA Clustering Algorithm. Processes 2022, 10, 2414. [Google Scholar] [CrossRef]
- Dehghan, M.; Zadehbagheri, M.; Kiani, M.J.; Nejatian, S. Virtual power plants planning in the distribution network constrained to system resiliency under extreme weather events. Energy Rep. 2023, 9, 4243–4256. [Google Scholar] [CrossRef]
- Kardakos, E.G.; Simoglou, C.K.; Bakirtzis, A.G. Optimal Offering Strategy of a Virtual Power Plant: A Stochastic Bi-Level Approach. IEEE Trans. Smart Grid 2016, 7, 794–806. [Google Scholar] [CrossRef]
- Li, B.; Yang, F.; Qi, B.; Bai, X.; Sun, Y.; Chen, S. Research on key technologies of P2P transaction in virtual power plant based on blockchain. IET Smart Grid 2022, 5, 223–233. [Google Scholar] [CrossRef]
- Khandelwal, M.; Mathuria, P.; Bhakar, R. Virtual Power Plant (VPP) scheduling with uncertain multiple Locational Marginal Prices. IET Energy Syst. Integr. 2022, 4, 436–447. [Google Scholar] [CrossRef]
- Hadayeghparast, S.; Farsangi, A.S.; Shayanfar, H. Day-ahead stochastic multi-objective economic/emission operational sched-uling of a large scale virtual power plant. Energy 2019, 172, 630–646. [Google Scholar] [CrossRef]
- Nguyen-Duc, H.; Nguyen-Hong, N. A study on the bidding strategy of the Virtual Power Plant in energy and reserve market. Energy Rep. 2020, 6, 622–626. [Google Scholar] [CrossRef]
- Zamani, A.G.; Zakariazadeh, A.; Jadid, S. Day-ahead resource scheduling of a renewable energy based virtual power plant. Appl. Energy 2016, 169, 324–340. [Google Scholar] [CrossRef]
- Pandey, A.K.; Jadoun, V.K.; Sabhahit, J.N. Real-Time Peak Valley Pricing Based Multi-Objective Optimal Scheduling of a Virtual Power Plant Considering Renewable Resources. Energies 2022, 15, 5970. [Google Scholar] [CrossRef]
- Zhang, Z.; Du, J.; Zhu, K.; Guo, J.; Li, M.; Xu, T. Optimization scheduling of virtual power plant with carbon capture and waste incineration considering P2G coordination. Energy Rep. 2022, 8, 7200–7218. [Google Scholar] [CrossRef]
- Vahedipour-Dahraie, M.; Rashidizadeh-Kermani, H.; Shafie-Khah, M.; Catalao, J.P.S. Risk-Averse Optimal Energy and Reserve Scheduling for Virtual Power Plants Incorporating Demand Response Programs. IEEE Trans. Smart Grid 2021, 12, 1405–1415. [Google Scholar] [CrossRef]
- Shafiekhani, M.; Ahmadi, A.; Homaee, O.; Shafie-Khah, M.; Catalão, J.P. Optimal bidding strategy of a renewable-based virtual power plant including wind and solar units and dispatchable loads. Energy 2021, 239, 122379. [Google Scholar] [CrossRef]
- Al-Awami, A.T.; Amleh, N.A.; Muqbel, A.M. Optimal Demand Response Bidding and Pricing Mechanism with Fuzzy Optimiza-tion: Application for a Virtual Power Plant. IEEE Trans. Ind. Appl. 2017, 53, 5051–5061. [Google Scholar] [CrossRef]
- Wei, H.; Hongxuan, Z.; Yu, D.; Yiting, W.; Ling, D.; Ming, X. Short-term optimal operation of hydro-wind-solar hybrid system with improved generative adversarial networks. Appl. Energy 2019, 250, 389–403. [Google Scholar] [CrossRef]
- Shuvendu, R. Applying Aging Effect on Facial Image with Multi-domain Generative Adversarial Network, International Journal of Image. Graph. Signal Process. 2019, 12, 14–22. [Google Scholar]
- Pham, T.T.; Pham, T.D.; Ta, V.C. Evaluation of GAN-based Models for Phishing URL Classifiers. Int. J. Comput. Netw. Inf. Secur. 2023, 15, 1–14. [Google Scholar]
- Biswaranjan, S.; Biswajit, T. Outlier Detection Technique for Wireless Sensor Network Using GAN with Autoencoder to Increase the Network Lifetime. Int. J. Comput. Netw. Inf. Secur. 2023, 15, 26–38. [Google Scholar]
- Wang, Q.; Dong, W.L.; Yang, L. A wind power/photovoltaic typical scenario set generation algorithm based on wasserstein dis-tance metric and revised K-medoids cluster. Proc. CSEE 2015, 35, 2654–2661. [Google Scholar]
- Nichols, J.M.; Hutchinson, M.N.; Menkart, N.; Cranch, G.A.; Rohde, G.K. Time Delay Estimation Via Wasserstein Distance Minimization. IEEE Signal Process. Lett. 2019, 26, 908–912. [Google Scholar] [CrossRef]
- Ma, Y.; Fu, Y.; Zhao, S.; Yang, X.; Wang, Z.; Dong, L.; Zeng, F. Capacity allocation of new energy source based on wind and solar resource scenario simulation using WGAN and sequential production simulation. Electr. Power Autom. Equip. 2020, 40, 77–86. [Google Scholar]
- Brusco, M.J.; Steinley, D.; Stevens, J. K-medoids inverse regression. Commun. Stat. Theory Methods 2019, 48, 4999–5011. [Google Scholar] [CrossRef]
- Khennak, I.; Drias, H.; Drias, Y.; Bendakir, F.; Hamdi, S. I/F-Race tuned firefly algorithm and particle swarm optimization for K-medoids-based clustering. Evol. Intell. 2023, 16, 351–373. [Google Scholar] [CrossRef]
- Emarati, M.; Keynia, F.; Rashidinejad, M. A two-stage stochastic programming framework for risk-based day-ahead operation of a virtual power plant. Int. Trans. Electr. Energy Syst. 2020, 33, e12255. [Google Scholar] [CrossRef]
- Gao, R.; Guo, H.; Zhang, R.; Mao, T.; Xu, Q.; Zhou, B.; Yang, P. A two-stage dispatch mechanism for virtual power plant utilizing the CVaR theory in the electricity spot market. Energies 2019, 12, 3402. [Google Scholar] [CrossRef]
- Khaloie, H.; Mollahassani-Pour, M.; Anvari-Moghaddam, A. Optimal Behavior of a Hybrid Power Producer in Day-Ahead and Intraday Markets: A Bi-Objective CVaR-Based Approach. IEEE Trans. Sustain. Energy 2021, 12, 931–943. [Google Scholar] [CrossRef]
- Gu, J.; Liu, S.; Hu, Y.; Meng, L. Optimal Allocation of intermittent distributed generation based on deep convolutions generative adversarial network in scenario generation. Power Syst. Technol. 2021, 45, 1742–1749. [Google Scholar]










| Parameter | Value | Parameter | Value | Parameter | Value |
|---|---|---|---|---|---|
| 360 CNY/MW | 1 MW/h | 0.9 | |||
| CNY 70 | 1 MW/h | 1.5 MW/h | |||
| CNY 70 | 0.5 CNY/kWh | 2 MW/h | |||
| 1 MW | 0.5 CNY/kWh | 2 MW·h | |||
| 1 MW | 0.9 | 10 MW·h |
| Wind Power Scenario | Probability | Photovoltaic Scenario | Probability |
|---|---|---|---|
| 1 | 0.205 | 1 | 0.135 |
| 2 | 0.37 | 2 | 0.12 |
| 3 | 0.105 | 3 | 0.25 |
| 4 | 0.205 | 4 | 0.38 |
| 5 | 0.115 | 5 | 0.115 |
| Risk Weight | Total Profit (CNY) | CVaR (CNY) |
|---|---|---|
| 0.1 | 40,257 | 38,924 |
| 0.5 | 37,328 | 36,481 |
| 0.9 | 35,211 | 34,235 |
| Model 1 | Model 2 | Model 3 | |
|---|---|---|---|
| Total profit (CNY) | 40,257 | 39,556 | 38,942 |
| CVaR (CNY) | 38,924 | 38,213 | 0 |
Disclaimer/Publisher’s Note: The statements, opinions and data contained in all publications are solely those of the individual author(s) and contributor(s) and not of MDPI and/or the editor(s). MDPI and/or the editor(s) disclaim responsibility for any injury to people or property resulting from any ideas, methods, instructions or products referred to in the content. |
© 2023 by the authors. Licensee MDPI, Basel, Switzerland. This article is an open access article distributed under the terms and conditions of the Creative Commons Attribution (CC BY) license (https://creativecommons.org/licenses/by/4.0/).
Share and Cite
Zhang, Z.; Zhao, Y.; Bo, W.; Wang, D.; Zhang, D.; Shi, J. Optimal Scheduling of Virtual Power Plant Considering Revenue Risk with High-Proportion Renewable Energy Penetration. Electronics 2023, 12, 4387. https://doi.org/10.3390/electronics12214387
Zhang Z, Zhao Y, Bo W, Wang D, Zhang D, Shi J. Optimal Scheduling of Virtual Power Plant Considering Revenue Risk with High-Proportion Renewable Energy Penetration. Electronics. 2023; 12(21):4387. https://doi.org/10.3390/electronics12214387
Chicago/Turabian StyleZhang, Zhen, Yan Zhao, Wen Bo, Donglai Wang, Dong Zhang, and Jiaqi Shi. 2023. "Optimal Scheduling of Virtual Power Plant Considering Revenue Risk with High-Proportion Renewable Energy Penetration" Electronics 12, no. 21: 4387. https://doi.org/10.3390/electronics12214387
APA StyleZhang, Z., Zhao, Y., Bo, W., Wang, D., Zhang, D., & Shi, J. (2023). Optimal Scheduling of Virtual Power Plant Considering Revenue Risk with High-Proportion Renewable Energy Penetration. Electronics, 12(21), 4387. https://doi.org/10.3390/electronics12214387

