Circularly Polarized MIMO Antenna Based on Microstrip Patch and Metasurface Structures
Abstract
1. Introduction
2. Single MIMO Element
3. Two-Element MIMO Antenna
3.1. Antenna Geometry
3.2. Antenna Design Procedure
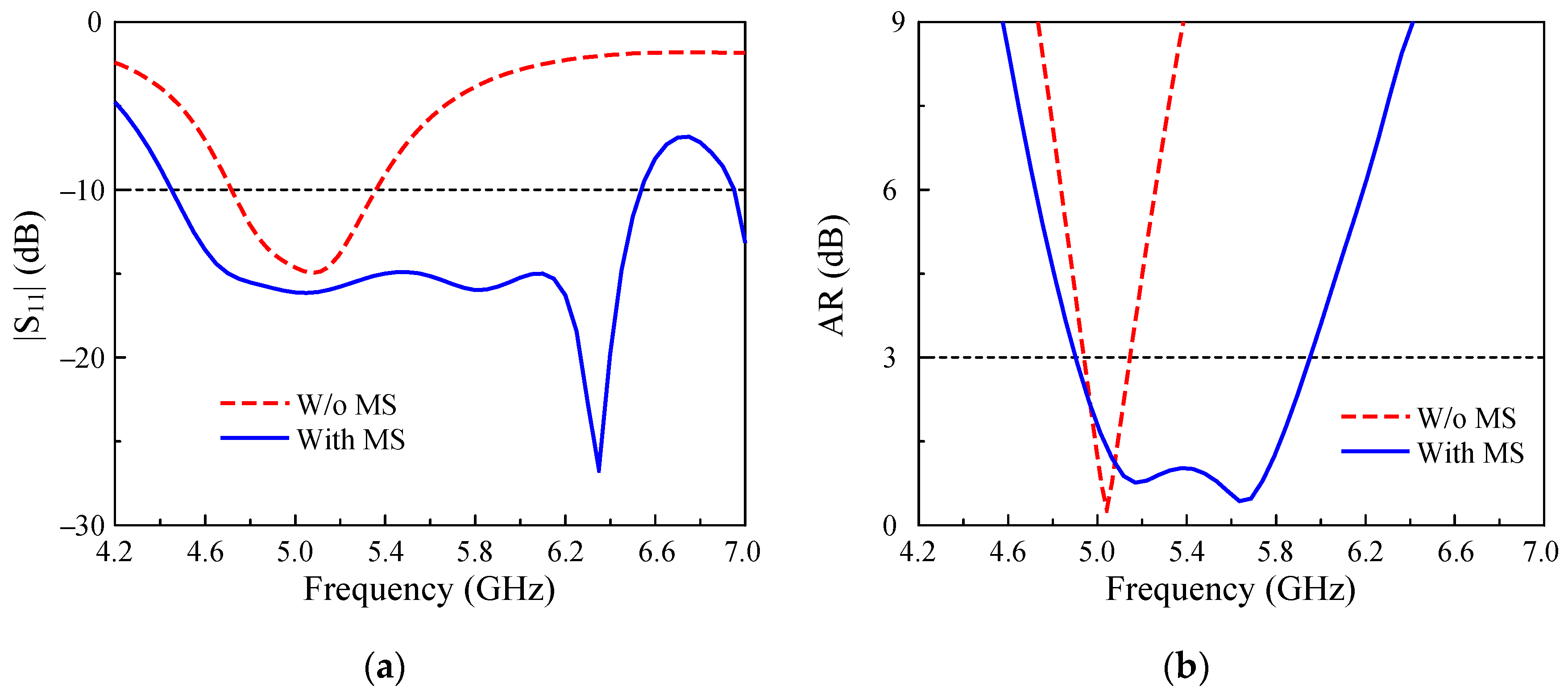
3.3. Key Parameter Studies
3.4. Optimization Process
- Step 1: Design a single element based on ref [26].
- Step 2: Remove all the center unit cells of the MS.
- Step 3: Tune the feeding position, lf, to optimize the impedance matching.
- Step 4: Tune the truncated corner, a, to optimize the AR.
- Step 5: Tune the distance between the MIMO element, d2, to optimize the isolation.
- Step 6: Fine-tune all parameters to produce the best performance.
4. Measured Results
4.1. S-Parameter Results
4.2. Far-Field Results
4.3. MIMO Parameters
4.4. Performance Comparison
5. Conclusions
Author Contributions
Funding
Data Availability Statement
Conflicts of Interest
References
- Murch, R.; Letaief, K. Antenna systems for broadband wireless access. IEEE Commun. Mag. 2002, 40, 76–83. [Google Scholar] [CrossRef]
- Ding, Y.; Leung, K.W. Dual-band circularly polarized dual-slot antenna with a dielectric cover. IEEE Trans. Antennas Propag. 2009, 57, 3757–3764. [Google Scholar] [CrossRef]
- Kulkarni, J.; Alharbi, A.G.; Sim, C.Y.D.; Elfergani, I.; Anguera, J.; Zebiri, D.; Rodriguez, J. Dual Polarized, Multiband Four-Port Decagon Shaped Flexible MIMO Antenna for Next Generation Wireless Applications. IEEE Access 2022, 10, 128132–128150. [Google Scholar] [CrossRef]
- Kollipara, V.; Peddakrishna, S. Quad-Port Circularly Polarized MIMO Antenna with Wide Axial Ratio. Sensors 2022, 22, 7972. [Google Scholar] [CrossRef]
- Saxena, S.; Kanaujia, B.K.; Dwari, S.; Kumar, S.; Tiwari, R. A compact dual-polarized MIMO antenna with distinct diversity performance for UWB applications. IEEE Anten. Wirel. Propag. Lett. 2017, 16, 3096–3099. [Google Scholar] [CrossRef]
- Kumar, S.; Nandan, D.; Srivastara, K.; Kumar, S.; Singh, H.; Marey, M.; Mostafa, H.; Kanaujia, B.K. Wideband circularly polarized textile MIMO antenna for wearable devices. IEEE Access 2021, 9, 108601–108613. [Google Scholar] [CrossRef]
- Iqbal, A.; Smida, A.; Alazemi, A.L.; Waly, M.I.; Mallat, N.K.; Kim, S. Wideband circularly polarized MIMO antenna for high data wearable biotelemetric devices. IEEE Access 2020, 8, 17935–17944. [Google Scholar] [CrossRef]
- Chaudhuri, S.; Kshetrimayum, R.S.; Sonkar, R.K. High inter-port isolation dual circularly polarized slot antenna with split-ring resonator based novel metasurface. AEU-Int. J. Electron. Commun. 2019, 107, 146–156. [Google Scholar] [CrossRef]
- Kulkarni, J.; Sim, C.Y.D.; Gangwar, R.K.; Anguera, J. Broadband and Compact Circularly Polarized MIMO Antenna With Concentric Rings and Oval Slots for 5G Application. IEEE Access 2022, 10, 29925–29936. [Google Scholar] [CrossRef]
- Iqbal, G.; Illahi, A.; Sulaiman, M.I.; Alam, M.M.; Su’ud, M.M.; Yasin, M.N.M. Mutual coupling reduction using hybrid technique in wideband circularly polarized MIMO antenna for WiMAX applications. IEEE Access 2019, 7, 40951–40958. [Google Scholar] [CrossRef]
- Chen, H.N.; Song, J.M.; Park, J.D. A compact circularly polarized MIMO dielectric resonator antenna over electromagnetic band-gap surface for 5G applications. IEEE Access 2019, 7, 140889–140898. [Google Scholar] [CrossRef]
- Hu, Y.; Pan, Y.M.; Di Yang, M. Circularly Polarized MIMO Dielectric Resonator Antenna with Reduced Mutual Coupling. IEEE Trans. Antennas Propag. 2020, 69, 3811–3820. [Google Scholar] [CrossRef]
- Hussain, N.; Jeong, M.J.; Park, J.; Kim, N. A broadband circularly polarized fabry-perot resonant antenna using a single-layered PRS for 5G MIMO applications. IEEE Access 2019, 7, 42897–42907. [Google Scholar] [CrossRef]
- Akbari, M.; Ali, M.; Farahani, M.; Sebak, A.; Denidni, T. Spatially mutual coupling reduction between CP-MIMO antennas using FSS superstrate. Electron. Lett. 2017, 53, 516–518. [Google Scholar] [CrossRef]
- Yang, W.J.; Pan, Y.M.; Zheng, S.Y. Mutual Coupling Reduction in CP MIMO Crossed-Dipole Antenna Array. IEEE Anten. Wirel. Propag. Lett. 2022, 21, 2442–2446. [Google Scholar] [CrossRef]
- Jamal, M.Y.; Li, M.; Yeung, K.L. Isolation enhancement of closely packed dual circularly polarized MIMO antenna using hybrid technique. IEEE Access 2020, 8, 11241–11247. [Google Scholar] [CrossRef]
- Alnahwi, F.M.; Al-Yasir, Y.I.A.; See, C.H.; Abd-Alhameed, R.A. Single-Element and MIMO Circularly Polarized Microstrip Antennas with Negligible Back Radiation for 5G Mid-Band Handsets. Sensors 2022, 22, 3067. [Google Scholar] [CrossRef]
- Gao, D.; Cao, Z.X.; Fu, S.D.; Quan, X.; Chen, P. A Novel Slot-Array Defected Ground Structure for Decoupling Microstrip Antenna Array. IEEE Trans. Antennas Propag. 2020, 68, 7027–7038. [Google Scholar] [CrossRef]
- Nayan, M.K.A.; Jamlos, M.F.; Jamlos, M.A. MIMO circular polarization array antenna with dual coupled 90 phased shift for point-to-point application. Microw. Opt. Technol. Lett. 2015, 57, 809–814. [Google Scholar] [CrossRef]
- Sufian, M.A.; Hussain, N.; Lee, J.; Park, S.G.; Kim, N. Mutual coupling reduction of a circularly polarized MIMO antenna using parasitic elements and DGS for V2X communications. IEEE Access 2022, 10, 56388–56400. [Google Scholar] [CrossRef]
- Tran, H.H.; Hussain, N.; Park, H.C.; Nguyen-Trong, N. Isolation in dual-sense CP MIMO antennas and role of decoupling structures. IEEE Antennas Wireless Propag. Lett. 2022, 21, 1203–1207. [Google Scholar] [CrossRef]
- Hussain, N.; Pham, T.D.; Tran, H.-H. Circularly Polarized MIMO Antenna with Wideband and High Isolation Characteristics for C-Band Communication Systems. Micromachines 2022, 13, 1894. [Google Scholar] [CrossRef] [PubMed]
- Tariq, S.; Naqvi, S.I.; Hussain, N.; Amin, Y. A metasurface-based MIMO antenna for 5G millimeter-wave applications. IEEE Access 2021, 9, 51805–51817. [Google Scholar] [CrossRef]
- Hussain, N.; Jeong, M.J.; Abbas, A.; Kim, N. Metasurface-based single-layer wideband circularly polarized MIMO antenna for 5G milimeter-wave systems. IEEE Access 2020, 8, 130293–130304. [Google Scholar] [CrossRef]
- Hasan, M.; Islam, M.T.; Samsuzzaman, M.; Baharuddin, M.H.; Soliman, M.S.; Alzamil, A.; Abu Sulayman, I.I.; Islam, M. Gain and isolation enhancement of a wideband MIMO antenna using metasurface for 5G sub-6 GHz communication systems. Sci. Rep. 2022, 12, 9433. [Google Scholar] [CrossRef]
- Ta, S.X.; Park, I. Low-profile broadband circularly polarized patch antenna using metasurface. IEEE Trans. Antennas Propag. 2015, 63, 5929–5934. [Google Scholar] [CrossRef]
- Tran, H.H.; Bui, C.D.; Nguyen-Trong, N.; Nguyen, T.K. A wideband non-uniform metasurface-based circularly polarized reconfigurable antenna. IEEE Access 2021, 9, 42325–42332. [Google Scholar] [CrossRef]
- Sharawi, M.S. Current misuses and future prospects for printed multiple-input, multiple-output antenna systems. IEEE Antennas Propag. Mag. 2017, 59, 162–170. [Google Scholar] [CrossRef]
- Amjad, I.; Saraereh, O.A.; Ahmad, A.W.; Bashir, S. Mutual coupling reduction using F-shaped stubs in UWB-MIMO antenna. IEEE Access 2018, 6, 2755–2759. [Google Scholar]
















| Ref. | No. of Elements | CP Technique | Wideband Technique | Overall Size (λL) | Spacing (λL) | BW (%) | Gain (dBi) |
|---|---|---|---|---|---|---|---|
| [16] | 2 | Offset feed | None | 1.25 × 0.83 × 0.01 | 0.06 | 1.9 | 5.8–6.1 |
| [20] | 4 | TC 1 patch | None | 1.44 × 1.44 × 0.03 | 0.17 | 2.0 | 7.6–7.7 |
| [21] | 2 | Diagonal slot | PE | 0.95 × 0.71 × 0.05 | 0.09 | 8.3 | 4.0–6.2 |
| [22] | 2 | TC 1 patch | PE | 1.41 × 0.97 × 0.05 | 0.08 | 11.3 | 6.0–8.5 |
| [24] | 4 | TC 1 patch | MS | 1.83 × 1.83 × 0.05 | 0.36 | 16.8 | 10.8–11.0 |
| Prop. | 2 | TC 1 patch | MS | 0.82 × 0.55 × 0.05 | 0.08 | 11.3 | 4.4–5.2 |
Disclaimer/Publisher’s Note: The statements, opinions and data contained in all publications are solely those of the individual author(s) and contributor(s) and not of MDPI and/or the editor(s). MDPI and/or the editor(s) disclaim responsibility for any injury to people or property resulting from any ideas, methods, instructions or products referred to in the content. |
© 2023 by the authors. Licensee MDPI, Basel, Switzerland. This article is an open access article distributed under the terms and conditions of the Creative Commons Attribution (CC BY) license (https://creativecommons.org/licenses/by/4.0/).
Share and Cite
Tran, H.-H.; Nguyen, T.T.-L.; Pham, T.D. Circularly Polarized MIMO Antenna Based on Microstrip Patch and Metasurface Structures. Electronics 2023, 12, 384. https://doi.org/10.3390/electronics12020384
Tran H-H, Nguyen TT-L, Pham TD. Circularly Polarized MIMO Antenna Based on Microstrip Patch and Metasurface Structures. Electronics. 2023; 12(2):384. https://doi.org/10.3390/electronics12020384
Chicago/Turabian StyleTran, Huy-Hung, Tung The-Lam Nguyen, and Tuyen Danh Pham. 2023. "Circularly Polarized MIMO Antenna Based on Microstrip Patch and Metasurface Structures" Electronics 12, no. 2: 384. https://doi.org/10.3390/electronics12020384
APA StyleTran, H.-H., Nguyen, T. T.-L., & Pham, T. D. (2023). Circularly Polarized MIMO Antenna Based on Microstrip Patch and Metasurface Structures. Electronics, 12(2), 384. https://doi.org/10.3390/electronics12020384

