A Beamforming-Based Enhanced Handover Scheme with Adaptive Threshold for 5G Heterogeneous Networks
Abstract
:1. Introduction
1.1. Literature Review
1.2. Motivation and Contributions
2. Network Architecture
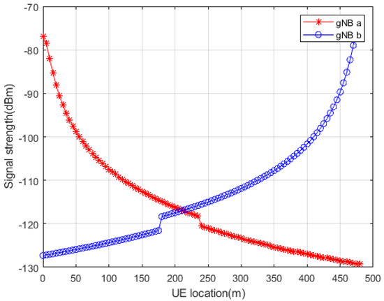
2.1. System Model
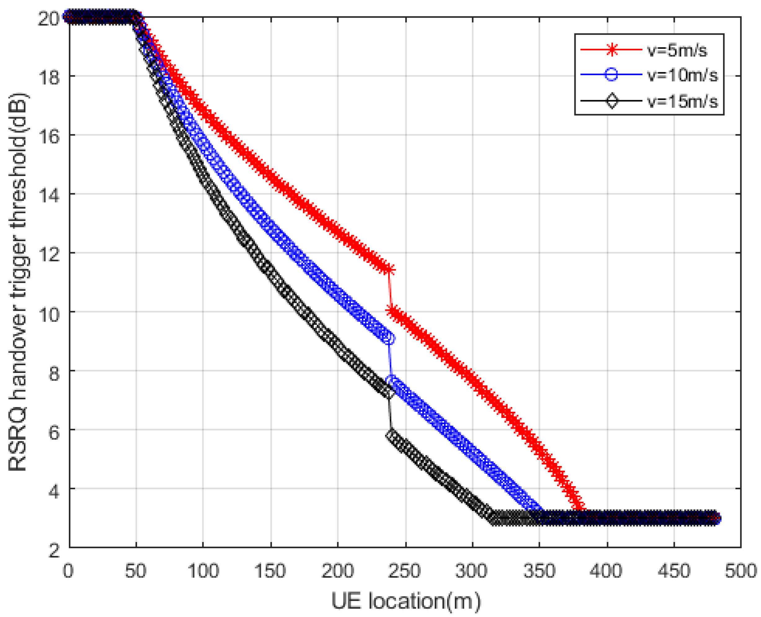
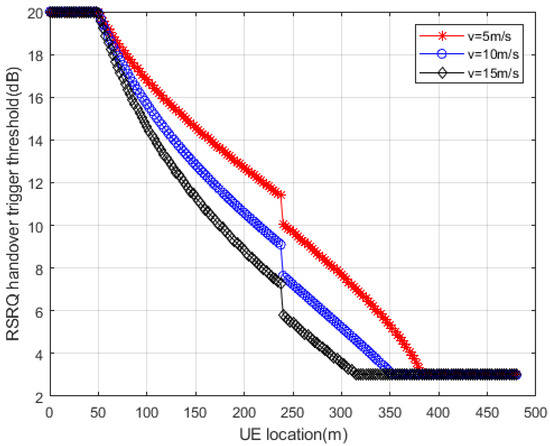
2.2. Adaptive Adjustment of Handover Threshold
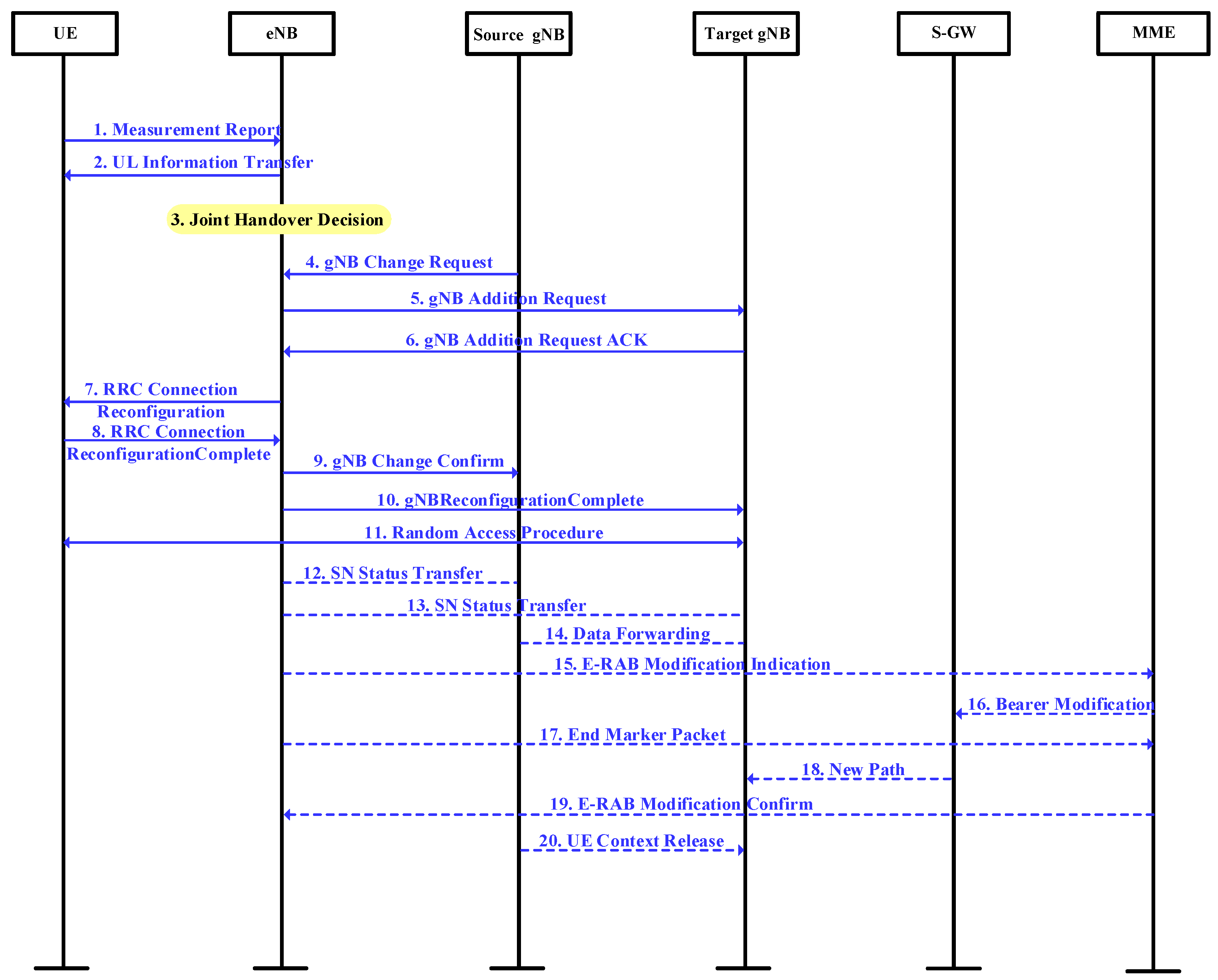
2.3. Handover Signaling
- Items 1–2 mean that the UE uploads measurement reports according to the periodic configuration; the source gNB selects the target gNB after receiving the A3 event measurement report.
- Items 3–4 mean that after the joint decision, the source gNB triggers a gNB change process by sending the gNB "Change Required" message to the eNB.
- Items 5–6 mean that the eNB sends a gNB “Addition Request” message to the target gNB and requests for UE resources allocation.
- Item 7 means that the eNB sends the UE RRC a "Connection Reconfiguration" message.
- Item 8 means that the UE receives the RRC "Reconfiguration" message and completes the reconfiguration, and then the eNB returns a "Connection Reconfiguration Complete" message to the RRC.
- Item 9 means that if the target gNB successfully allocates the resources, it will send the gNB "Change Confirm" message to the source gNB.
- Item 10 means that the RRC reconfiguration is complete and the eNB confirms the reconfiguration is complete by sending the target gNB a gNB "Reconfiguration Complete" message.
- Item 11 means that the UE starts the random access process.
- Items 12–13 mean that for the scenarios where the bearing type changes, in order to reduce the current outages, data forwarding is need between gNBs.
- Item 14 means that the gNB reports the NR flow to the eNB.
- Items 15–19 mean that the user plane path between gNB and EPC is updated.
- Item 20 means that the source gNB received the UE "Context Release" message, then releases the UE context.
3. Performance Analysis
3.1. Traditional Handover Scheme
3.2. Beam-Based Enhanced Handover Scheme
4. Simulation Result and Discussion
5. Conclusions
Author Contributions
Funding
Data Availability Statement
Conflicts of Interest
References
- Andrewsand, J.G.; Buzzi, S.; Choi, W.; Hanly, S.V.; Lozano, A.; Soong, A.C.K.; Zhang, J.C. What will 5G be? IEEE J. Sel. Areas Commun. 2014, 32, 1065–1082. [Google Scholar] [CrossRef]
- Dong, Y.; Chen, Z.; Fan, P.; Letaief, K.B. Mobility-Aware Uplink Interference Model for 5G Heterogeneous Networks. IEEE Trans. Wirel. Commun. 2015, 15, 1065–1082. [Google Scholar] [CrossRef]
- Jo, Y.; Kim, H.; Lim, J.; Hong, D. Self-Optimization of Coverage and System Throughput in 5G Heterogeneous Ultra-Dense Networks. IEEE Wirel. Commun. Lett. 2020, 9, 285–288. [Google Scholar] [CrossRef]
- Ji, B.; Chen, Z.; Mumtaz, S.; Han, C.; Li, C.; Wen, H.; Wang, D. A vision of IoV in 5G HetNets: Architecture, key technologies, applications, challenges, and trends. IEEE Netw. 2022, 36, 153–161. [Google Scholar] [CrossRef]
- Zhao, J.; Ni, S.; Yang, L.; Zhang, Z.; Gong, Y.; You, X. Multiband cooperation for 5G HetNets: A promising network paradigm. IEEE Veh. Technol. Mag. 2019, 14, 153–161. [Google Scholar] [CrossRef]
- Zhang, H.; Huang, W.; Liu, Y. Handover Probability Analysis of Anchor-Based Multi-Connectivity in 5G User-Centric Network. IEEE Wirel. Commun. Lett. 2019, 8, 396–399. [Google Scholar] [CrossRef]
- Agarwal, B.; Togou, M.A.; Ruffini, M.; Muntean, G.M. A Comprehensive Survey on Radio Resource Management in 5G HetNets: Current Solutions, Future Trends and Open Issues. IEEE Commun. Surv. Tutorials 2022, 24, 2495–2534. [Google Scholar] [CrossRef]
- Lee, C.; Jung, J.; Chung, J.M. Intelligent Dual Active Protocol Stack Handover Based on Double DQN Deep Reinforcement Learning for 5G mmWave Networks. IEEE Trans. Veh. Technol. 2022, 71, 7572–7584. [Google Scholar] [CrossRef]
- Alraih, B.S.; Nordin, R.; Abu-Samah, A.; Shayea, I.; Abdullah, N.F. A Survey on Handover Optimization in Beyond 5G Mobile Networks: Challenges and Solutions. IEEE Access 2023, 11, 59317–59345. [Google Scholar] [CrossRef]
- Hong, S.; Brand, J.; Choi, J.I.; Jain, M.; Mehlman, J.; Katti, S.; Levis, P. Applications of self-interference cancellation in 5G and beyond. IEEE Commun. Mag. 2014, 52, 114–121. [Google Scholar] [CrossRef]
- Li, Y.; Zhao, Z.; Tang, Z.; Yin, Y. Differentially Fed, Dual-Band Dual-Polarized Filtering Antenna with High Selectivity for 5G Sub-6 GHz Base Station Applications. IEEE Trans. Antennas Propag. 2020, 68, 3231–3236. [Google Scholar] [CrossRef]
- Wang, P.; Li, Y.; Song, L.; Vucetic, B. Multi-gigabit millimeter wave wireless communications for 5G: From fixed access to cellular networks. IEEE Commun. Mag. 2015, 53, 168–178. [Google Scholar] [CrossRef]
- Yang, X.; Matthaiou, M.; Yang, J.; Wen, C.K.; Gao, F.; Jin, S. Hardware-Constrained Millimeter-Wave Systems for 5G: Challenges, Opportunities, and Solutions. IEEE Commun. Mag. 2019, 57, 44–50. [Google Scholar] [CrossRef]
- Ghafoor, K.Z.; Kong, L.; Zeadally, S.; Sadiq, A.S.; Epiphaniou, G.; Hammoudeh, M.; Bashir, A.K.; Mumtaz, S. Millimeter-wave communication for internet of vehicles: Status, challenges, and perspectives. IEEE Internet Things J. 2020, 7, 8525–8546. [Google Scholar] [CrossRef]
- He, R.; Schneider, C.; Ai, B.; Wang, G.; Zhong, Z.; Dupleich, D.A.; Thomae, R.S.; Boban, M.; Luo, J.; Zhang, Y. Propagation channels of 5G millimeter-wave vehicle-to-vehicle communications: Recent advances and future challenges. IEEE Veh. Technol. Mag. 2019, 15, 16–26. [Google Scholar] [CrossRef]
- Zhang, D.; Li, A.; Shirvanimoghaddam, M.; Cheng, P.; Li, Y.; Vucetic, B. Codebook-based training beam sequence design for millimeter-wave tracking systems. IEEE Trans. Wirel. Commun. 2019, 18, 5333–5349. [Google Scholar] [CrossRef]
- Yue, G.; Yu, D.; Cheng, L.; Lv, Q.; Luo, Z.; Li, Q.; Luo, J.; He, X. Millimeter-Wave System for High-Speed Train Communications Between Train and Trackside: System Design and Channel Measurements. IEEE Trans. Veh. Technol. 2019, 68, 11746–11761. [Google Scholar] [CrossRef]
- Sarker, M.A.L.; Orikumhi, I.; Han, D.S.; Kim, S. Blockwise Phase Rotation-Aided Analog Transmit Beamforming for 5G mmWave Systems. IEEE Wirel. Commun. Lett. 2021, 10, 2365–2368. [Google Scholar] [CrossRef]
- Wang, W.; Cheng, N.; Liu, Y.; Zhou, H.; Lin, X.; Shen, X. Content delivery analysis in cellular networks with aerial caching and mmWAVE backhaul. IEEE Trans. Veh. Technol. 2021, 70, 4809–4822. [Google Scholar] [CrossRef]
- Bai, L.; Huang, Z.; Zhang, X.; Cheng, X. A non-stationary 3D model for 6G massive MIMO mmWave UAV channels. IEEE Trans. Wirel. Commun. 2022, 21, 4325–4339. [Google Scholar] [CrossRef]
- Yan, L.; Fang, X.; Fang, Y. A novel network architecture for C/U-plane staggered handover in 5G decoupled heterogeneous railway wireless systems. IEEE Trans. Intell. Transp. Syst. 2017, 18, 3350–3362. [Google Scholar] [CrossRef]
- Khosravi, S.; Shokri-Ghadikolaei, H.; Petrova, M. Learning-based handover in mobile millimeter-wave networks. IEEE Trans. Cogn. Commun. Netw. 2020, 7, 663–674. [Google Scholar] [CrossRef]
- Jasim, M.A.; Siasi, N.; Ghani, N. Soft Self-Handover Scheme for mmWave Communications. In Proceedings of the 2019 SoutheastCon, Huntsville, AL, USA, 11–14 April 2019; pp. 1–6. [Google Scholar]
- Ozmat, U.; Demirkol, M.F.; Yazici, M.A. Learning-based handover in mobile millimeter-wave networks. In Proceedings of the 2020 IEEE 25th International Workshop on Computer Aided Modeling and Design of Communication Links and Networks (CAMAD), Pisa, Italy, 14–16 September 2020; pp. 1–6. [Google Scholar]
- Tran, H.Q.; Van Phan, C.; Vien, Q.T. An Overview of 5G Technologies. In Emerging Wireless Communication and Network Technologies; Springer: Singapore, 2018; pp. 59–80. [Google Scholar]
- Kutty, S.; Sen, D. Beamforming for millimeter wave communications: An inclusive survey. IEEE Commun. Surv. Tutorials 2015, 18, 949–973. [Google Scholar] [CrossRef]
- Giordani, M.; Polese, M.; Roy, A.; Castor, D.; Zorzi, M. A Tutorial on Beam Management for 3GPP NR at mmWave Frequencies. IEEE Commun. Surv. Tutorials 2018, 21, 173–196. [Google Scholar] [CrossRef]
- Bai, L.; Li, T.; Yu, Q.; Choi, J.; Zhang, W. Cooperative Multiuser Beamforming in mmWave Distributed Antenna Systems. IEEE Trans. Veh. Technol. 2018, 67, 12394–12397. [Google Scholar] [CrossRef]
- 3GPP TS 38.331 V16.9.0. NR: Radio Resource Control (RRC) Protocol Specification. 2022. 06. Available online: https://www.3gpp.org/ftp/Specs/archive/38_series/38.331/38331-g90.zip (accessed on 1 October 2023).
- Zhang, Z.; Zhao, J.; Ni, S.; Gong, Y. A seamless handover scheme with assisted eNB for 5G C/U plane split heterogeneous network. IEEE Access 2019, 7, 164256–164264. [Google Scholar] [CrossRef]
- Nguyen, K.N.; Ali, A.; Mo, J.; Ng, B.L.; Va, V.; Zhang, J.C. Beam Management with Orientation and RSRP using Deep Learning for Beyond 5G Systems. In Proceedings of the 2022 IEEE International Conference on Communications Workshops (ICC Workshops), Seoul, Republic of Korea, 16–20 May 2022; pp. 133–138. [Google Scholar]
- Bai, T.; Cezannec, J.; Wang, H.; Raghavan, V.; Koymen, O.H.; Li, J. Analysis of RSRP Prediction in Millimeter Wave Systems. In Proceedings of the 2019 53rd Asilomar Conference on Signals, Systems, and Computers, Pacific Grove, CA, USA, 3–6 November 2019; pp. 789–793. [Google Scholar]
- Liu, Z.; Zhou, E.; Cui, J.; Dong, Z.; Fan, P. A Double-Beam Soft Handover Scheme and Its Performance Analysis for mmWave UAV Communications in Windy Scenarios. IEEE Trans. Veh. Technol. 2023, 72, 893–906. [Google Scholar] [CrossRef]
- Luo, W.; Fang, X.; Cheng, M.; Zhou, X. An optimized handover trigger scheme in LTE systems for high-speed railway. In Proceedings of the Fifth International Workshop on Signal Design and Its Applications in Communications, Guilin, China, 10–14 October 2011; pp. 193–196. [Google Scholar]
- Alkhateeb, A.; Beltagy, I.; Alex, S. Machine Learning for Reliable mmWave System: Blockage Prediction And Proactive Handoff. In Proceedings of the 2018 IEEE Global Conference on Signal and Information Processing (GlobalSIP), Anaheim, CA, USA, 26–29 November 2018; pp. 1055–1059. [Google Scholar]
- Kustiawan, I.; Chi, K.H. Handoff decision using a Kalman filter and fuzzy logic in heterogeneous wireless networks. IEEE Commun. Lett. 2015, 19, 2258–2261. [Google Scholar] [CrossRef]
- Al Achhab, T.; Abboud, F.; Assalem, A. A Robust Self-Optimization Algorithm Based on Idiosyncratic Adaptation of Handover Parameters for Mobility Management in LTE-A Heterogeneous Networks. IEEE Access 2021, 9, 154237–154264. [Google Scholar] [CrossRef]
- He, H.; Li, X.; Feng, Z.; Hao, J.; Wang, X.; Zhang, H. An adaptive handover trigger strategy for 5G C/U plane split heterogeneous network. In Proceedings of the 2017 IEEE 14th International Conference on Mobile Ad Hoc and Sensor Systems (MASS), Orlando, FL, USA, 22–25 October 2017; pp. 476–480. [Google Scholar]
- Wu, X.; O’Brien, D.C.; Deng, X.; Linnartz, J.P.M.G. Smart handover for hybrid LiFi and WiFi networks. IEEE Trans. Wirel. Commun. 2020, 19, 8211–8219. [Google Scholar] [CrossRef]
- Banna, R.; ELAttar, H.; Abou El-Dahab, M.M. Fast Adaptive Handover using Fuzzy Logic for 5G Communications on High Speed Trains. In Proceedings of the 2021 16th International Conference on Telecommunications (ConTEL), Zagreb, Croatia, 30 June–2 July 2021; pp. 10–17. [Google Scholar]
- Silva, K.D.C.; Becvar, Z.; Frances, C.R.L. Adaptive hysteresis margin based on fuzzy logic for handover in mobile networks with dense small cells. IEEE Access 2018, 6, 17178–17189. [Google Scholar] [CrossRef]
- Shayea, I.; Ergen, M.; Azizan, A. Individualistic Dynamic Handover Parameter Self-Optimization Algorithm for 5G Networks Based on Automatic Weight Function. IEEE Access 2020, 8, 214392–214412. [Google Scholar] [CrossRef]
- Vasudeva, K.; Şimsek, M.; López-Pérez, D.; Güvenç, I. Impact of channel fading on mobility management in heterogeneous networks. In Proceedings of the 2015 IEEE International Conference on Communication Workshop (ICCW), London, UK, 8–12 June 2015; pp. 2206–2211. [Google Scholar]
- Zhu, H.; Peng, Y. Research on Adaptive Handover Scheme Based on Improved Genetic Algorithm. Procedia Comput. Sci. 2020, 166, 557–562. [Google Scholar] [CrossRef]
- Akdeniz, M.R.; Liu, Y.; Samimi, M.K.; Sun, S.; Rangan, S.; Rappaport, T.S.; Erkip, E. Millimeter Wave Channel Modeling and Cellular Capacity Evaluation. IEEE J. Sel. Areas Commun. 2014, 32, 1164–1179. [Google Scholar] [CrossRef]
- Chuang, M.C.; Chen, M.C. NASH: Navigation-Assisted Seamless Handover Scheme for Smart Car in Ultra dense Networks. IEEE Trans. Veh. Technol. 2018, 67, 1649–1659. [Google Scholar] [CrossRef]
- Huang, W.; Wu, M.; Yang, Z.; Sun, K.; Zhang, H.; Nallanathan, A. Self-Adapting Handover Parameters Optimization for SDN-Enabled UDN. IEEE Trans. Wirel. Commun. 2022, 21, 6434–6447. [Google Scholar] [CrossRef]
- Alhabo, M.; Zhang, L. Multi-Criteria Handover Using Modified Weighted TOPSIS Methods for Heterogeneous Networks. IEEE Access 2018, 6, 40547–40558. [Google Scholar] [CrossRef]








| gNB | UE Location | gNB Transmit Power | Beamforming Gain |
|---|---|---|---|
| a | |||
| a | |||
| b |
| Parameters | Values |
|---|---|
| Frequency of gNB, | 28 GHz |
| Transmit power of gNB, | 23 dBm |
| Handover execute time, | 0.5 s |
| gNB coverage radius, r | 300 m |
| Distance of two neighboring gNBs, | 480 m |
| Distance of two co-frequency gNBs, | 1500 m |
| gNB antenna height, | 10 m |
| UE antenna height, | 1 m |
| Interference elimination factor, | 0.01 |
| Traditional handover trigger threshold, | 3 dB |
| SIR threshold, | −35 dB |
| RSRQ max threshold, | 20 dB |
| RSRQ min threshold, | 3 dB |
| Highest channel quality, | 40 dB |
| Lowest channel quality, | 10 dB |
| Beamforming gain, | 5 dB |
| Beamforming gain, | 3 dB |
Disclaimer/Publisher’s Note: The statements, opinions and data contained in all publications are solely those of the individual author(s) and contributor(s) and not of MDPI and/or the editor(s). MDPI and/or the editor(s) disclaim responsibility for any injury to people or property resulting from any ideas, methods, instructions or products referred to in the content. |
© 2023 by the authors. Licensee MDPI, Basel, Switzerland. This article is an open access article distributed under the terms and conditions of the Creative Commons Attribution (CC BY) license (https://creativecommons.org/licenses/by/4.0/).
Share and Cite
Zhang, Z.; Jiang, Z.; Yang, B.; She, X. A Beamforming-Based Enhanced Handover Scheme with Adaptive Threshold for 5G Heterogeneous Networks. Electronics 2023, 12, 4131. https://doi.org/10.3390/electronics12194131
Zhang Z, Jiang Z, Yang B, She X. A Beamforming-Based Enhanced Handover Scheme with Adaptive Threshold for 5G Heterogeneous Networks. Electronics. 2023; 12(19):4131. https://doi.org/10.3390/electronics12194131
Chicago/Turabian StyleZhang, Ziyang, Zheng Jiang, Bei Yang, and Xiaoming She. 2023. "A Beamforming-Based Enhanced Handover Scheme with Adaptive Threshold for 5G Heterogeneous Networks" Electronics 12, no. 19: 4131. https://doi.org/10.3390/electronics12194131
APA StyleZhang, Z., Jiang, Z., Yang, B., & She, X. (2023). A Beamforming-Based Enhanced Handover Scheme with Adaptive Threshold for 5G Heterogeneous Networks. Electronics, 12(19), 4131. https://doi.org/10.3390/electronics12194131

