Activeness: A Novel Neural Coding Scheme Integrating the Spike Rate and Temporal Information in the Spiking Neural Network
Abstract
1. Introduction
2. Proposed Methods
3. Experiments and Evaluation
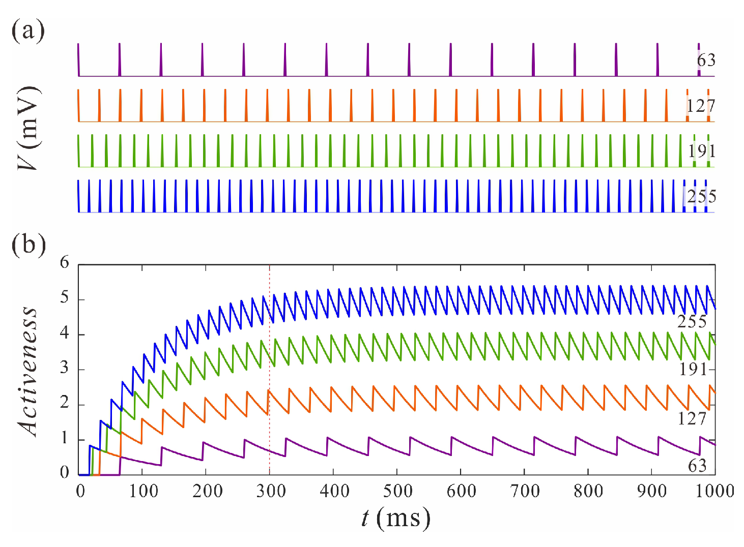
3.1. Basic Characteristics
3.2. Classification Performance
4. Discussion
4.1. Comparison
4.2. Potential Future Research
5. Conclusions
Author Contributions
Funding
Data Availability Statement
Conflicts of Interest
Abbreviations
| STDP | spike-timing-dependent plasticity |
| MNIST | Modified National Institute of Standards and Technology |
| TTFS | time-to-first-spike |
| RST | relative spike latency |
References
- Maass, W. Networks of spiking neurons: The third generation of neural network models. Neural Netw. 1997, 10, 1659–1671. [Google Scholar] [CrossRef]
- Guo, W.; Fouda, M.E.; Eltawil, A.; Salama, K. Neural Coding in Spiking Neural Networks: A Comparative Study for Robust Neuromorphic Systems. Front. Neurosci. 2021, 15, 638474. [Google Scholar] [CrossRef] [PubMed]
- Adrian, E.; Zotterman, Y. The impulses produced by sensory nerve-endings: Part II. The response of a single end-organ. J. Physiol. 1926, 61, 151–171. [Google Scholar] [CrossRef] [PubMed]
- Gerstner, W.; Kreiter, A.; Markram, H.; Herz, A. Neural codes: Firing rates and beyond. Proc. Natl. Acad. Sci. USA 1997, 94, 12740–12741. [Google Scholar] [CrossRef] [PubMed]
- Johansson, R.S.; Birznieks, I. First spikes in ensembles of human tactile afferents code complex spatial fingertip events. Nat. Neurosci. 2004, 7, 170. [Google Scholar] [CrossRef]
- Gollisch, T.; Meister, M. Rapid Neural Coding in the Retina with Relative Spike Latencies. Science 2008, 319, 1108–1111. [Google Scholar] [CrossRef]
- O’Keefe, J.; Recce, M. Phase relationship between hippocampal place units and the EEG theta rhythm. Hippocampus 1993, 3, 317–330. [Google Scholar] [CrossRef]
- Zeldenrust, F.; Wadman, W.; Englitz, B. Neural Coding With Bursts—Current State and Future Perspectives. Front. Comput. Neurosci. 2018, 12, 48. [Google Scholar] [CrossRef]
- Isomura, Y.; Kato, N. Action Potential–Induced Dendritic Calcium Dynamics Correlated With Synaptic Plasticity in Developing Hippocampal Pyramidal Cells. J. Neurophysiol. 1999, 82, 1993–1999. [Google Scholar] [CrossRef][Green Version]
- Cepeda-Prado, E.; Khodaie, B.; Quiceno, G.; Beythien, S.; Lessmann, V.; Edelmann, E. Calcium-permeable AMPA receptors mediate timing-dependent LTP elicited by 6 coincident action potentials at Schaffer collateral-CA1 synapses. Cereb. Cortex 2021, 32, 1682–1703. [Google Scholar] [CrossRef]
- Inglebert, Y.; Debanne, D. Calcium and Spike Timing-Dependent Plasticity. Front. Cell. Neurosci. 2021, 15, 727336. [Google Scholar] [CrossRef] [PubMed]
- Sutton, M.A.; Schuman, E.M. Dendritic Protein Synthesis, Synaptic Plasticity, and Memory. Cell 2006, 127, 49–58. [Google Scholar] [CrossRef]
- Khan, R.; Kulasiri, D.; Samarasinghe, S. Functional repertoire of protein kinases and phosphatases in synaptic plasticity and associated neurological disorders. Neural Regen. Res. 2020, 16, 1150–1157. [Google Scholar] [CrossRef]
- Batool, S.; Raza, H.; Zaidi, J.; Riaz, S.; Hasan, S.; Syed, N.I. Synapse formation: From cellular and molecular mechanisms to neurodevelopmental and neurodegenerative disorders. J. Neurophysiol. 2019, 121, 1381–1397. [Google Scholar] [CrossRef]
- Wu, L.G.; Westenbroek, R.; Borst, J.; Catterall, W.; Sakmann, B. Calcium Channel Types with Distinct Presynaptic Localization Couple Differentially to Transmitter Release in Single Calyx-Type Synapses. J. Neurosci. Off. J. Soc. Neurosci. 1999, 19, 726–736. [Google Scholar] [CrossRef] [PubMed]
- Diehl, P.; Cook, M. Unsupervised Learning of Digit Recognition Using Spike-Timing-Dependent Plasticity. Front. Comput. Neurosci. 2015, 9, 99. [Google Scholar] [CrossRef] [PubMed]
- Goodman, D.; Brette, R. Brian: A simulator for spiking neural networks in Python. Front. Neuroinf. 2008, 2, 5. [Google Scholar] [CrossRef] [PubMed]
- Lecun, Y.; Bottou, L.; Bengio, Y.; Haffner, P. Gradient-based learning applied to document recognition. Proc. IEEE 1998, 86, 2278–2324. [Google Scholar] [CrossRef]
- Stimberg, M.; Brette, R.; Goodman, D.F.M. Brian 2: An Intuitive and Efficient neural Simulator. eLife 2019, 8, e47314. [Google Scholar] [CrossRef] [PubMed]
- Pfister, J.P.; Gerstner, W. Triplets of Spikes in a Model of Spike Timing-Dependent Plasticity. J. Neurosci. 2006, 26, 9673–9682. [Google Scholar] [CrossRef] [PubMed]
- Gerstner, W.; Kistler, W.M. Spiking Neuron Models: Single Neurons, Populations, Plasticity; Cambridge University Press: Cambridge, UK, 2002. [Google Scholar] [CrossRef]










| Parameters | Values |
|---|---|
| 20 ms | |
| 100 ms | |
| 63.75 Hz | |
| 0.0001 | |
| 0.01 |
| Works | Learning Rule | Accuracy |
|---|---|---|
| Diehl et al., 2015 [16] | Spike-based triplet STDP | 87% |
| This work | Activeness-based triplet STDP | 91.5% |
Disclaimer/Publisher’s Note: The statements, opinions and data contained in all publications are solely those of the individual author(s) and contributor(s) and not of MDPI and/or the editor(s). MDPI and/or the editor(s) disclaim responsibility for any injury to people or property resulting from any ideas, methods, instructions or products referred to in the content. |
© 2023 by the authors. Licensee MDPI, Basel, Switzerland. This article is an open access article distributed under the terms and conditions of the Creative Commons Attribution (CC BY) license (https://creativecommons.org/licenses/by/4.0/).
Share and Cite
Wang, Z.; Yu, N.; Liao, Y. Activeness: A Novel Neural Coding Scheme Integrating the Spike Rate and Temporal Information in the Spiking Neural Network. Electronics 2023, 12, 3992. https://doi.org/10.3390/electronics12193992
Wang Z, Yu N, Liao Y. Activeness: A Novel Neural Coding Scheme Integrating the Spike Rate and Temporal Information in the Spiking Neural Network. Electronics. 2023; 12(19):3992. https://doi.org/10.3390/electronics12193992
Chicago/Turabian StyleWang, Zongxia, Naigong Yu, and Yishen Liao. 2023. "Activeness: A Novel Neural Coding Scheme Integrating the Spike Rate and Temporal Information in the Spiking Neural Network" Electronics 12, no. 19: 3992. https://doi.org/10.3390/electronics12193992
APA StyleWang, Z., Yu, N., & Liao, Y. (2023). Activeness: A Novel Neural Coding Scheme Integrating the Spike Rate and Temporal Information in the Spiking Neural Network. Electronics, 12(19), 3992. https://doi.org/10.3390/electronics12193992

