A CMA-Based Electronically Reconfigurable Dual-Mode and Dual-Band Antenna
Abstract
:1. Introduction
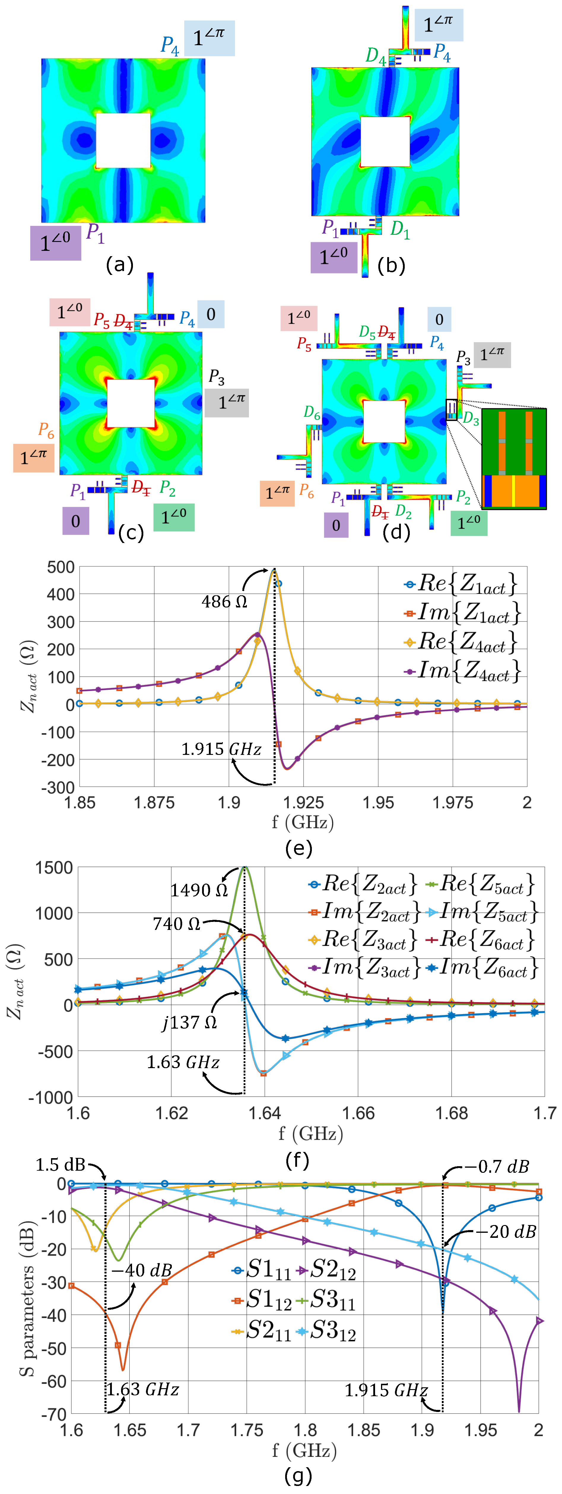
2. Characteristic Mode Analysis
3. Feed Network Design
3.1. “Ideal” Mode Excitation Methods
3.2. Feed Network Design
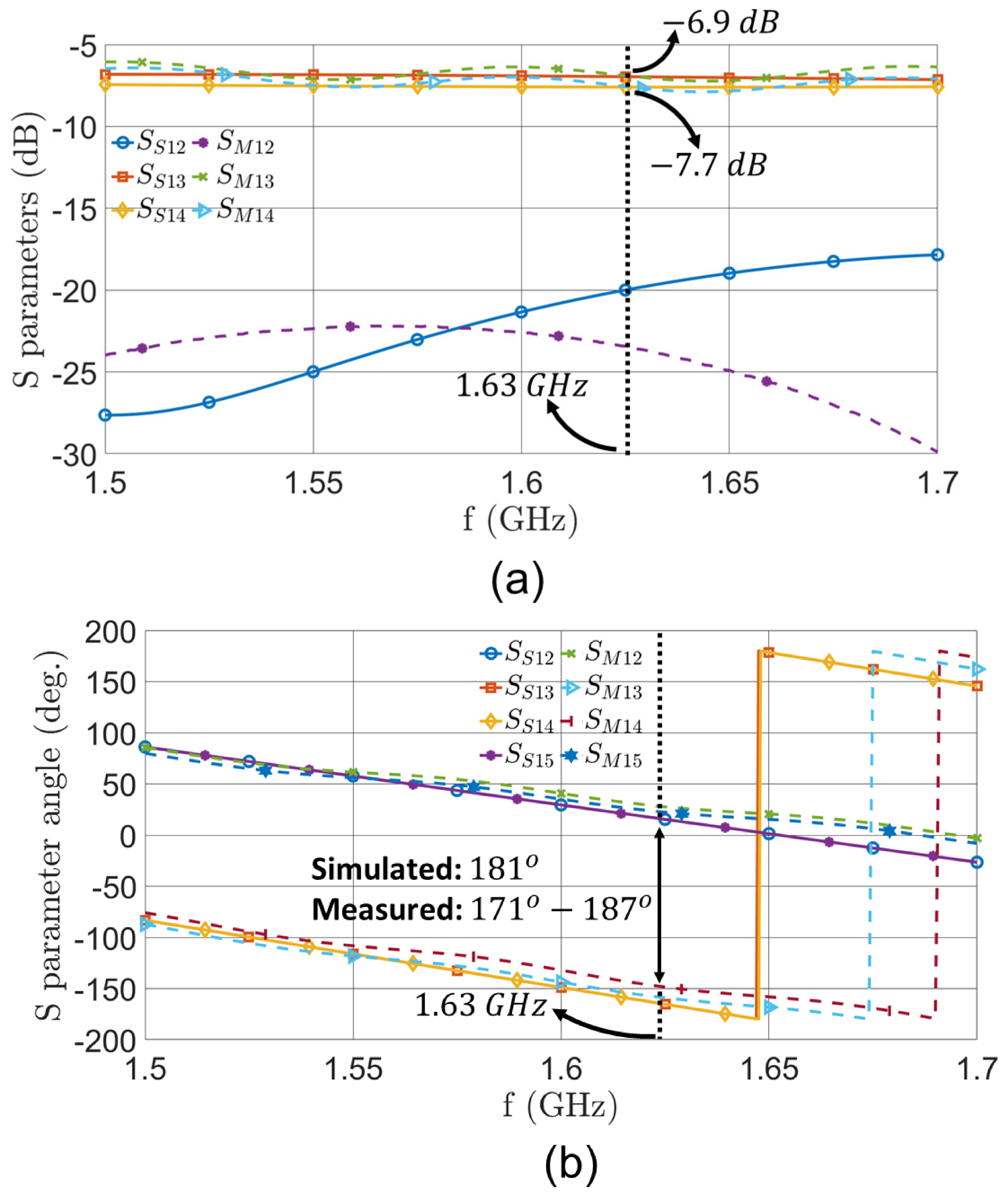
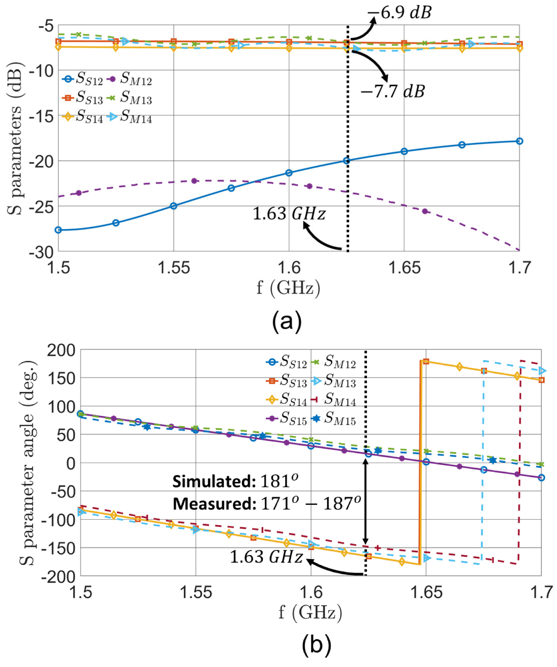
4. Fabrication and Measurement
5. Conclusions
Author Contributions
Funding
Data Availability Statement
Conflicts of Interest
References
- Hong, W. Solving the 5G Mobile Antenna Puzzle: Assessing Future Directions for the 5G Mobile Antenna Paradigm Shift. IEEE Microw. Mag. 2017, 18, 86–102. [Google Scholar] [CrossRef]
- Rowell, C.; Lam, E.Y. Mobile-Phone Antenna Design. IEEE Antennas Propag. Mag. 2012, 54, 14–34. [Google Scholar] [CrossRef]
- Zhang, Y.; Zhang, S.; Li, J.; Pedersen, G.F. A Transmission-Line-Based Decoupling Method for MIMO Antenna Arrays. IEEE Trans. Antennas Propag. 2019, 67, 3117–3131. [Google Scholar] [CrossRef]
- Yang, F.; Rahmat-Samii, Y. Microstrip antennas integrated with electromagnetic band-gap (EBG) structures: A low mutual coupling design for array applications. IEEE Trans. Antennas Propag. 2003, 51, 2936–2946. [Google Scholar] [CrossRef]
- Liu, D.Q.; Luo, H.J.; Zhang, M.; Wen, H.L.; Wang, B.; Wang, J. An Extremely Low-Profile Wideband MIMO Antenna for 5G Smartphones. IEEE Trans. Antennas Propag. 2019, 67, 5772–5780. [Google Scholar] [CrossRef]
- Li, M.; Zhong, B.G.; Cheung, S.W. Isolation Enhancement for MIMO Patch Antennas Using Near-Field Resonators as Coupling-Mode Transducers. IEEE Trans. Antennas Propag. 2019, 67, 755–764. [Google Scholar] [CrossRef]
- Gao, D.; Cao, Z.X.; Fu, S.D.; Quan, X.; Chen, P. A Novel Slot-Array Defected Ground Structure for Decoupling Microstrip Antenna Array. IEEE Trans. Antennas Propag. 2020, 68, 7027–7038. [Google Scholar] [CrossRef]
- Zhang, Y.; Zhang, S.; Li, J.; Pedersen, G.F. A Wavetrap-Based Decoupling Technique for 45° Polarized MIMO Antenna Arrays. IEEE Trans. Antennas Propag. 2020, 68, 2148–2157. [Google Scholar] [CrossRef]
- Xu, H.; Gao, S.S.; Zhou, H.; Wang, H.; Cheng, Y. A Highly Integrated MIMO Antenna Unit: Differential/Common Mode Design. IEEE Trans. Antennas Propag. 2019, 67, 6724–6734. [Google Scholar] [CrossRef]
- Priya, S.; Dwari, S.; Kumar, K.; Mandal, M.K. Compact self-quadruplexing SIW cavity-backed slot antenna. IEEE Trans. Antennas Propag. 2019, 67, 6656–6660. [Google Scholar] [CrossRef]
- Sun, L.; Li, Y.; Zhang, Z.; Feng, Z. Wideband 5G MIMO Antenna With Integrated Orthogonal-Mode Dual-Antenna Pairs for Metal-Rimmed Smartphones. IEEE Trans. Antennas Propag. 2020, 68, 2494–2503. [Google Scholar] [CrossRef]
- Ren, A.; Liu, Y.; Sim, C.-Y.-D. A Compact Building Block With Two Shared-Aperture Antennas for Eight-Antenna MIMO Array in Metal-Rimmed Smartphone. IEEE Trans. Antennas Propag. 2019, 67, 6430–6438. [Google Scholar] [CrossRef]
- Jha, K.R.; Bukhari, B.; Singh, C.; Mishra, G.; Sharma, S.K. Compact Planar Multistandard MIMO Antenna for IoT Applications. IEEE Trans. Antennas Propag. 2018, 66, 3327–3336. [Google Scholar] [CrossRef]
- Chu, L.J. Physical Limitations of Omni-Directional Antennas. J. Appl. Phys. 1948, 19, 1163–1175. [Google Scholar] [CrossRef]
- Ehrenborg, C.; Gustafsson, M.; Capek, M. Capacity Bounds and Degrees of Freedom for MIMO Antennas Constrained by Q-Factor. IEEE Trans. Antennas Propag. 2021, 69, 5388–5400. [Google Scholar] [CrossRef]
- Ehrenborg, C.; Gustafsson, M. Physical Bounds and Radiation Modes for MIMO Antennas. IEEE Trans. Antennas Propag. 2020, 68, 4302–4311. [Google Scholar] [CrossRef]
- Garbacz, R.J. A Generalized Expansion for Radiated and Scattered Fields. Ph.D. Dissertation, Department of Electrical and Computer Engineering, Electrical and Computer Engineering, Colombus, OH, USA, 1968. [Google Scholar]
- Harrington, R.F.; Mautz, J.R. Theory of Characteristic Modes for Conducting Bodies. IEEE Trans. Antennas Propag. 1971, 19, 622–628. [Google Scholar] [CrossRef]
- Harrington, R.; Mautz, J. Computation of characteristic modes for conducting bodies. IEEE Trans. Antennas Propag. 1971, 19, 629–639. [Google Scholar] [CrossRef]
- Cabedo, M.; Antonino, E.; Valero, A.; Ferrando, M. The Theory of Characteristic Modes Revisited: A Contribution to the Design of Antennas for Modern Applications. IEEE Antennas Propag. Mag. 2007, 49, 52–68. [Google Scholar] [CrossRef]
- Cheng, H.; Xiao, G.; Wang, X. A Low-Profile Wideband Patch Antenna With Modified Parasitic Mushroom Structures on Nonperiodic AMC. IEEE Antennas Wirel. Propag. Lett. 2023, 22, 719–723. [Google Scholar] [CrossRef]
- Zhang, Z.; Cheng, Y.; Luo, H.; Chen, F. Low-Profile Wideband Circular Polarization Metasurface Antenna With Characteristic Mode Analysis and Mode Suppression. IEEE Antennas Wirel. Propag. Lett. 2023, 22, 898–902. [Google Scholar] [CrossRef]
- Jiang, F.; Zhang, Z.; Li, M.; Shen, S.; Chiu, C.Y.; Zhang, Y.; Cheng, Q.S.; Murch, R. Multiport Pixel Antenna Optimization Using Characteristic Mode Analysis and Sequential Feeding Port Search. IEEE Trans. Antennas Propag. 2022, 70, 9160–9174. [Google Scholar] [CrossRef]
- Adams, J.J.; Genovesi, S.; Yang, B.; Antonino-Daviu, E. Antenna Element Design Using Characteristic Mode Analysis: Insights and research directions. IEEE Antennas Propag. Mag. 2022, 64, 32–40. [Google Scholar] [CrossRef]
- Liu, N.-W.; Huang, B.-B.; Zhu, L.; Fu, G. Isolation and Bandwidth Improvements of Multimode Single MPA With Copolarized Pattern Using Characteristic Modes Analysis. IEEE Antennas Wirel. Propag. Lett. 2023, 22, 1356–1360. [Google Scholar] [CrossRef]
- Li, H.; Zheng, W.; Wu, Q.; Liu, G.-L. Pattern Synthesis for Lossy Antennas Based on N-Port Characteristic Mode Analysis. IEEE Trans. Antennas Propag. 2023, 71, 4628–4639. [Google Scholar] [CrossRef]
- Chen, Y.; Wang, C.-F. Characteristic Modes: Theory and Applications in Antenna Engineering; Wiley: Hoboken, NJ, USA, 2015. [Google Scholar]
- Elias, B.B.Q.; Soh, P.J.; Al-Hadi, A.A.; Akkaraekthalin, P.; Vandenbosch, G.A.E. A Review of Antenna Analysis Using Characteristic Modes. IEEE Access 2021, 9, 98833–98862. [Google Scholar] [CrossRef]
- Palanisamy, V.; Garg, R. Rectangular Ring and H-Shaped Microstrip Antennas-Alternatives to Rectangular Patch Antennas. Electron. Lett. 1985, 21, 874–876. [Google Scholar] [CrossRef]
- Palanisamy, V.; Garg, R. Analysis of circularly polarized square ring and crossed-strip microstrip antennas. IEEE Trans. Antennas Propag. 1986, 34, 1340–1346. [Google Scholar] [CrossRef]
- Bafrooei, P.M.; Shafai, L. Characteristics of single- and double-layer microstrip square-ring antennas. IEEE Trans. Antennas Propag. 1999, 47, 1633–1639. [Google Scholar] [CrossRef]
- Behera, S.; Vinoy, K. Microstrip Square Ring Antenna for Dual-Band Operation. Prog. Electromagn. Res. 2009, 93, 41–56. [Google Scholar] [CrossRef]
- Yu, H.; Jiao, Y.; Li, D.; Weng, Z. A TM30-/TM40-Mode Pattern-Reconfigurable Microstrip Patch Antenna for Wide Beam Coverage. IEEE Trans. Antennas Propag. 2019, 67, 7121–7126. [Google Scholar] [CrossRef]
- Zhang, L.; Sun, Y.; He, Y.; Wong, S.W.; Mao, C.; Ge, L.; Gao, S. A Quad-Polarization Reconfigurable Antenna With Suppressed Cross Polarization Based on Characteristic Mode Theory. IEEE Trans. Antennas Propag. 2021, 69, 636–647. [Google Scholar] [CrossRef]
- Skolnik, M.L. Phased Array Radar Antennas Radar Handbook, 2nd ed.; McGraw Hill: New York, NY, USA, 1990; Chapter 7. [Google Scholar]
- Vainikainen, P.; Ollikainen, J.; Kivekas, O.; Kelander, K. Resonator-based analysis of the combination of mobile handset antenna and chassis. IEEE Trans. Antennas Propag. 2002, 50, 1433–1444. [Google Scholar] [CrossRef]
- Bohannon, N.L.; Bernhard, J.T. Design Guidelines Using Characteristic Mode Theory for Improving the Bandwidth of PIFAs. IEEE Trans. Antennas Propag. 2015, 63, 459–465. [Google Scholar] [CrossRef]
- Ylä-Oijala, P. Generalized Theory of Characteristic Modes. IEEE Trans. Antennas Propag. 2019, 67, 3915–3923. [Google Scholar] [CrossRef]
- Altair. Altair Feko. Available online: https://altair.com/feko/ (accessed on 12 March 2021).
- Kildal, P.-S. Foundations of Antenna Engineering: A Unified Approach for Line-of-Sight and Multipath; Kildal Antenn AB: Gothenburg, Sweden, 2015. [Google Scholar]
- Park, M.-J.; Lee, B. Dual-Band Design of Single-Stub Impedance Matching Networks with Application to Dual-Band Stubbed T-Junctions. Microw. Opt. Technol. Lett. 2010, 52, 1359–1362. [Google Scholar] [CrossRef]
- Pozar, D.M. Microwave Engineering 4e; John Wiley & Sons, Inc.: Hoboken, NJ, USA, 2012. [Google Scholar]
- Chip Inductors-0402DF (1005), Coilcraft. Available online: https://www.coilcraft.com/getmedia/37bfb544-fcb5-4ae9-be82-c8d0fb1007d5/0402df.pdf (accessed on 11 October 2021).
- BAP55LX, NXP. Available online: https://www.nxp.com/docs/en/data-sheet/BAP55LX.pdf (accessed on 11 October 2021).
- Multi-Layer Ceramic Capacitors 0805N (0.080″ × 0.050″). PPI. Available online: passiveplus.com/pdf/PPI-0805N.DATASHEET.pdf (accessed on 11 October 2021).
- SMV1405 to SMV1430 Series: Plastic-Packaged Abrupt Junction Tuning Varactors. Skyworks. Available online: mouser.com/datasheet/2/472/200068N-15249.pdf (accessed on 11 October 2021).
- 3 dB 180° Multi-Octave Band Hybrid Couplers. Clear Microwave, Inc. Available online: https://www.clearmicrowave.com/pdf_spec/180_multi-octave_band_hybrids.pdf (accessed on 11 October 2021).
- Evolved Universal Terrestrial Radio Access (E-UTRA); User Equipment (UE) Radio Transmission and Teception. 3GPP TS 36.101 V17.3.0 (2021-09), 3rd Generation Partnership Project (3GPP), Valbonne, France, October 2021. Available online: https://portal.3gpp.org/desktopmodules/Specifications/SpecificationDetails.aspx?specificationId=2411 (accessed on 14 February 2023).
- Federal Communications Commission (FCC). 1626.5–1660 MHz. Available online: https://www.ntia.doc.gov/files/ntia/publications/compendium/1626.50-1660.00_01DEC15.pdf (accessed on 28 December 2021).
- Bhartia, P.; Bahl, I.; Garg, R.; Ittipiboon, A. Microstrip Antenna Design Handbook; Artech House: Norwood, MA, USA, 2001. [Google Scholar]
- Mukherjee, S.; Biswas, A. Design of Self-Diplexing Substrate Integrated Waveguide Cavity-Backed Slot Antenna. IEEE Antennas Wirel. Propag. Lett. 2016, 15, 1775–1778. [Google Scholar] [CrossRef]
- Nandi, S.; Mohan, A. An SIW Cavity-Backed Self-Diplexing Antenna. IEEE Antennas Wirel. Propag. Lett. 2017, 16, 2708–2711. [Google Scholar] [CrossRef]
- Khan, A.A.; Mandal, M.K. Compact Self-Diplexing Antenna Using Dual-Mode SIW Square Cavity. IEEE Antennas Wirel. Propag. Lett. 2019, 18, 343–347. [Google Scholar] [CrossRef]
- Park, D.-K.; Waterhouse, R.; Qian, Y.; Itoh, T. Self-diplexed integrated antenna transceiver for wireless applications. IEEE Antennas Propag. Soc. Int. Symp. 2001, 3, 444–447. [Google Scholar]












| Port | |||||
|---|---|---|---|---|---|
| Configuration | |||||
| 1 | 0 | 0 | |||
| 2 | |||||
| Port | |||||||
|---|---|---|---|---|---|---|---|
| Configuration | |||||||
| 0 | 0 | 0 | 0 | ||||
| 0 | 0 | ||||||
| Parameter | (mm) | (mm) | C (pF) | |
|---|---|---|---|---|
| Network | ||||
| 1 | ||||
| 2 | 38 | 2 | ||
| 3 | 2 | |||
| Diode | |||||||
|---|---|---|---|---|---|---|---|
| Configuration | |||||||
| ON | OFF | OFF | ON | OFF | OFF | ||
| OFF | ON | ON | OFF | ON | ON | ||
Disclaimer/Publisher’s Note: The statements, opinions and data contained in all publications are solely those of the individual author(s) and contributor(s) and not of MDPI and/or the editor(s). MDPI and/or the editor(s) disclaim responsibility for any injury to people or property resulting from any ideas, methods, instructions or products referred to in the content. |
© 2023 by the authors. Licensee MDPI, Basel, Switzerland. This article is an open access article distributed under the terms and conditions of the Creative Commons Attribution (CC BY) license (https://creativecommons.org/licenses/by/4.0/).
Share and Cite
Russo, N.E.; Zekios, C.L.; Georgakopoulos, S.V. A CMA-Based Electronically Reconfigurable Dual-Mode and Dual-Band Antenna. Electronics 2023, 12, 3915. https://doi.org/10.3390/electronics12183915
Russo NE, Zekios CL, Georgakopoulos SV. A CMA-Based Electronically Reconfigurable Dual-Mode and Dual-Band Antenna. Electronics. 2023; 12(18):3915. https://doi.org/10.3390/electronics12183915
Chicago/Turabian StyleRusso, Nicholas E., Constantinos L. Zekios, and Stavros V. Georgakopoulos. 2023. "A CMA-Based Electronically Reconfigurable Dual-Mode and Dual-Band Antenna" Electronics 12, no. 18: 3915. https://doi.org/10.3390/electronics12183915
APA StyleRusso, N. E., Zekios, C. L., & Georgakopoulos, S. V. (2023). A CMA-Based Electronically Reconfigurable Dual-Mode and Dual-Band Antenna. Electronics, 12(18), 3915. https://doi.org/10.3390/electronics12183915

