A Novel Multi-Robot Task Assignment Scheme Based on a Multi-Angle K-Means Clustering Algorithm and a Two-Stage Load-Balancing Strategy
Abstract
:1. Introduction
2. Mathematical Model
3. Methodology
3.1. K-Means Clustering Algorithm with Multi-Angle Division
3.1.1. Principle of the Improved Algorithm
3.1.2. Basic Flow of the Algorithm
3.2. Two-Stage Load-Balancing Adjustment Strategy
3.2.1. Adjustment Strategy
3.2.2. Basic Flow of the Algorithm
- The first-stage load-balancing adjustment strategy.
- The second-stage load-balancing adjustment strategy
- i
- If , determine that set is the set to be adjusted of set . Using the method of stage one to find the task points to be adjusted, the set of task points to be adjusted is preliminarily determined. After removing the task point set in the circular region near the starting point, the final adjustment point set is obtained.
- ii
- If , the set corresponding to is found and identified as the set to be adjusted. Similarly, the task point set to be adjusted is preliminarily determined. After removing the task point set , the final adjustment point set is obtained.
- i
- If , the set is determined as the set to be adjusted from the set . Firstly, determine the task point set to be adjusted. After removing the task point set , the final adjustment point set is obtained.
- ii
- If , the set corresponding to is found and the set is determined as the set to be adjusted for the set . First, determine the task point set to be adjusted. After removing the task point set , the final adjustment point set is obtained.
4. Simulation Tests and Analysis
4.1. Simulation of the Multi-Angle K-Means Clustering Algorithm
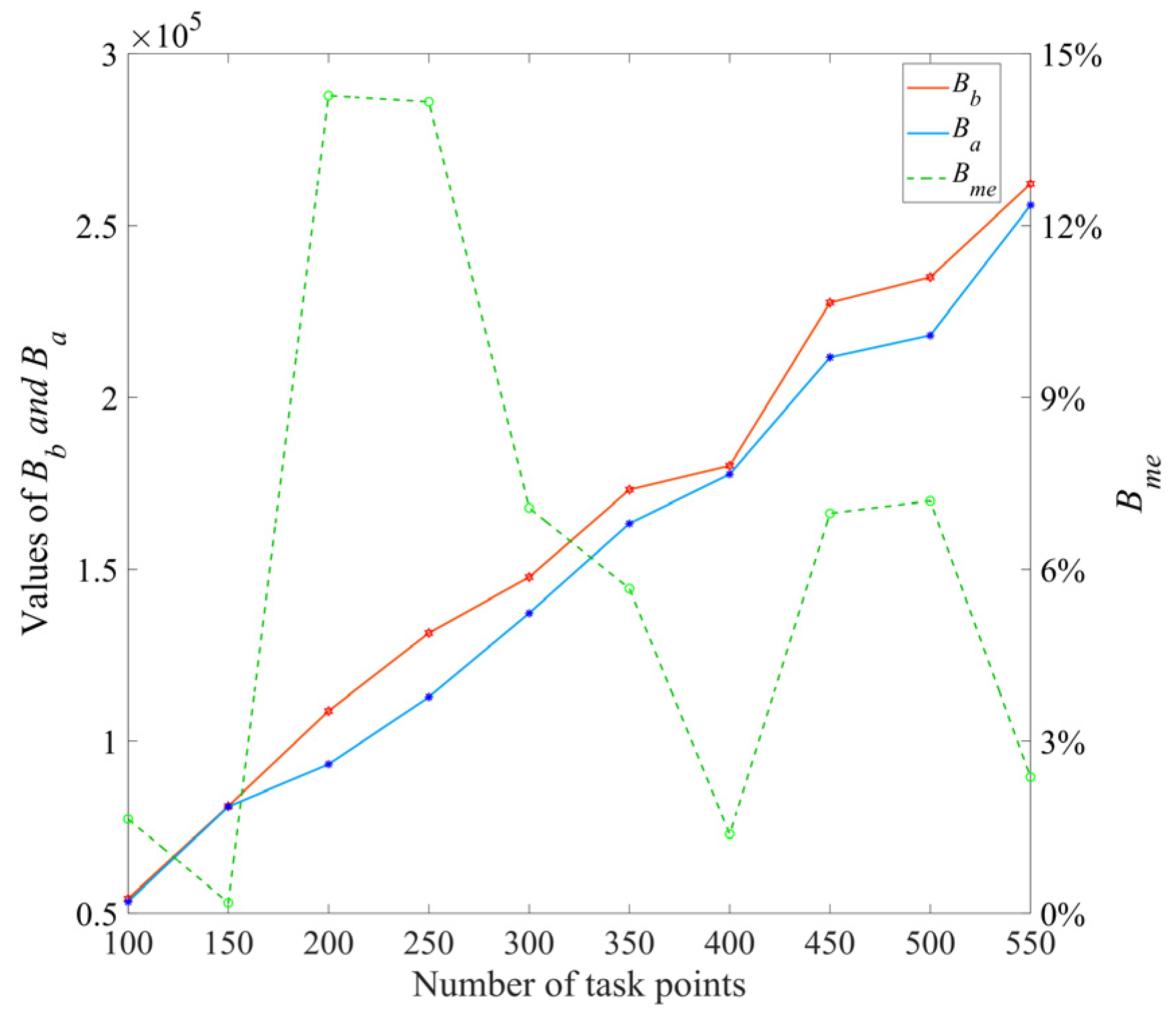
4.2. Simulations of the Two-Stage Load-Balancing Strategy
5. Conclusions
Author Contributions
Funding
Data Availability Statement
Conflicts of Interest
References
- Farinelli, A.; Boscolo, N.; Zanotto, E.; Pagello, E. Advanced approaches for multi-robot coordination in logistic scenarios. Robot. Auton. Syst. 2017, 90, 34–44. [Google Scholar] [CrossRef]
- Choi, D.; Kim, D. Intelligent multi-robot system for collaborative object transportation tasks in rough terrains. Electronics 2021, 10, 1499. [Google Scholar] [CrossRef]
- D’Emidio, M.; Khan, I. Collision-free allocation of temporally constrained tasks in multi-robot systems. Robot. Auton. Syst. 2019, 119, 151–172. [Google Scholar] [CrossRef]
- Seenu, N.; Chetty, R.M.K.; Ramya, M.M.; Janardhanan, M.N. Review on state-of-the-art dynamic task allocation strategies for multiple-robot systems. Ind. Robot Int. J. Robot. Res. Appl. 2020, 47, 929–942. [Google Scholar]
- Khamis, A.; Hussein, A.; Elmogy, A. Multi-robot task allocation: A review of the state-of-the-art. Coop. Robot. Sens. Netw. 2015, 2015, 31–51. [Google Scholar]
- Cui, Y.; Dong, W.; Hu, D.; Liu, H. The application of improved harmony search algorithm to multi-UAV task assignment. Electronics 2022, 11, 1171. [Google Scholar] [CrossRef]
- Nzanywayingoma, F.; Yang, Y. Effective task scheduling and dynamic resource optimization based on heuristic algorithms in cloud computing environment. KSII Trans. Internet Inf. Syst. 2017, 11, 5780–5802. [Google Scholar]
- Martin, J.G.; Muros, F.J.; Maestre, J.M.; Camacho, E.F. Multi-robot task allocation clustering based on game theory. Robot. Auton. Syst. 2023, 161, 104314. [Google Scholar] [CrossRef]
- Gao, J.; Li, Y.; Xu, Y.; Lv, S. A two-objective ILP model of OP-MATSP for the multi-robot task assignment in an intelligent warehouse. Appl. Sci. 2022, 12, 4843. [Google Scholar] [CrossRef]
- Johnson, D.S. The NP-completeness column: The many limits on approximation. ACM Trans. Algorithms 2006, 2, 473–489. [Google Scholar] [CrossRef]
- Wang, J.; Jia, G.; Lin, J.; Hou, Z. Cooperative task allocation for heterogeneous multi-UAV using multi-objective optimization algorithm. J. Cent. South Univ. 2020, 27, 432–448. [Google Scholar] [CrossRef]
- Yang, W.; Xin, Y. Multi-UAV task assignment based on quantum genetic algorithm. J. Phys. Conf. Ser. 2021, 1824, 012010. [Google Scholar] [CrossRef]
- Lin, J.; Tian, W.; Li, P.; Lu, S. Load balance optimization based multi-robot cooperative task planning for large-scale aerospace structures. Intell. Robot. Appl. 2021, 2021, 797–809. [Google Scholar]
- Murugappan, E.; Subramanian, N.; Rahman, S.; Goh, M.; Chan, H.K. Performance analysis of clustering methods for balanced multi-robot task allocations. Int. J. Prod. Res. 2022, 60, 4576–4591. [Google Scholar] [CrossRef]
- Sarkar, C.; Paul, H.S.; Pal, A. A scalable multi-robot task allocation algorithm. In Proceedings of the 2018 IEEE International Conference on Robotics and Automation (ICRA), Brisbane, Australia, 21–25 May 2018; pp. 1–9. [Google Scholar]
- Liang, D.; Liu, Z.; Bhamra, R. Collaborative multi-robot formation control and global path optimization. Appl. Sci. 2022, 12, 7046. [Google Scholar] [CrossRef]
- Sinaga, K.P.; Yang, M.S. Unsupervised K-means clustering algorithm. IEEE Access 2020, 8, 80716–80727. [Google Scholar] [CrossRef]
- Haghdadi, N.; Asaei, B.; Gandomkar, Z. Clustering-based optimal sizing and siting of photovoltaic power plant in distribution network. In Proceedings of the 2012 11th International Conference on Environment and Electrical Engineering, Venice, Italy, 18–25 May 2012; pp. 266–271. [Google Scholar]
- Du, X.; Guo, Q.; Li, H.; Zhang, Y. Multi-UAVs cooperative task assignment and path planning scheme. J. Phys. Conf. Ser. 2021, 1856, 012016. [Google Scholar] [CrossRef]
- Mitiche, H.; Boughaci, D.; Gini, M. Iterated local search for time-extended multi-robot task allocation with spatio-temporal and capacity constraints. J. Intell. Syst. 2019, 28, 347–360. [Google Scholar] [CrossRef]
- Wu, C.; Wu, J.; Wu, Y.; Wu, Q.; Lin, X.; Xiong, N.N. Design and analysis of the task distribution scheme of express center at the end of modern logistics. Electronics 2019, 8, 1141. [Google Scholar] [CrossRef]
- Zhao, J.; Zhao, J. Study on multi-UAV task clustering and task planning in cooperative reconnaissance. In Proceedings of the 2014 Sixth International Conference on Intelligent Human-Machine Systems and Cybernetics, Hangzhou, China, 26–27 August 2014; Volume 2, pp. 392–395. [Google Scholar]
- Li, J.; Yang, F. Task assignment strategy for multi-robot based on improved grey wolf optimizer. J. Ambient Intell. Humaniz. Comput. 2020, 11, 6319–6335. [Google Scholar] [CrossRef]
- Kim, J.; Ju, C.; Son, H.I. A multiplicatively weighted Voronoi-based workspace partition for heterogeneous seeding robots. Electronics 2020, 9, 1813. [Google Scholar] [CrossRef]
- Lee, D.-H. Resource-based task allocation for multi-robot systems. Robot. Auton. Syst. 2018, 103, 151–161. [Google Scholar] [CrossRef]
- Sullivan, N.; Grainger, S.; Cazzolato, B. Sequential single-item auction improvements for heterogeneous multi-robot routing. Robot. Auton. Syst. 2019, 115, 130–142. [Google Scholar] [CrossRef]
- Zhang, Z.; Tang, Q.; Li, Z.; Zhang, L. Modelling and optimisation of energy-efficient U-shaped robotic assembly line balancing problems. Int. J. Prod. Res. 2018, 57, 5520–5537. [Google Scholar] [CrossRef]
- Wei, C.; Ji, Z.; Cai, B. Particle swarm optimization for cooperative multi-robot task allocation: A multi-objective approach. IEEE Robot. Autom. Lett. 2020, 5, 2530–2537. [Google Scholar] [CrossRef]
- Ghassemi, P.; Chowdhury, S. Multi-robot task allocation in disaster response: Addressing dynamic tasks with deadlines and robots with range and payload constraints. Robot. Auton. Syst. 2022, 147, 103905. [Google Scholar] [CrossRef]
- Xue, M.; Wang, T.; Mao, S. Double evolutional artificial bee colony algorithm for multiple traveling salesman problem. MATEC Web Conf. 2016, 44, 02025. [Google Scholar] [CrossRef]
- Chen, Y.; Yu, J.; Su, X.; Luo, G. Path planning for multi-UAV formation. J. Intell. Robot. Syst. 2015, 77, 229–246. [Google Scholar] [CrossRef]
- Gomes, D.E.; Iglésias, M.I.D.; Proença, A.P.; Lima, T.M.; Gaspar, P.D. Applying a genetic algorithm to a m-TSP: Case study of a decision support system for optimizing a beverage logistics vehicles routing problem. Electronics 2021, 10, 2298. [Google Scholar] [CrossRef]
- Parker, J.; Farinelli, A.; Gini, M. Lazy max-sum for allocation of tasks with growing costs. Robot. Auton. Syst. 2018, 110, 44–56. [Google Scholar] [CrossRef]
- Baenziger, T.; Kunz, A.; Wegener, K. Optimizing human-robot task allocation using a simulation tool based on standardized work descriptions. J. Intell. Manuf. 2020, 31, 1635–1648. [Google Scholar] [CrossRef]
- Eango, M.; Nachiappan, S.; Tiwari, M.K. Balancing task allocation in multi-robot systems using K-means clustering and auction based mechanisms. Expert Syst. Appl. 2011, 38, 6486–6491. [Google Scholar] [CrossRef]
- Booker, L.B.; Goldberg, D.E.; Holland, J.H. Classifier systems and genetic algorithms. Artif. Intell. 1989, 40, 235–282. [Google Scholar] [CrossRef]
- Ochelska-Mierzejewska, J.; Poniszewska-Marańda, A.; Marańda, W. Selected genetic algorithms for vehicle routing problem solving. Electronics 2021, 10, 3147. [Google Scholar] [CrossRef]
- Han, S.; Fan, C.; Li, X.; Luo, X.; Liu, Z. A modified genetic algorithm for task assignment of heterogeneous unmanned aerial vehicle system. Meas. Control 2021, 54, 994–1014. [Google Scholar] [CrossRef]














| Number of Task Points | 100 | 150 | 200 | 250 | 300 |
| 196,235.91 | 278,804.62 | 363,612.42 | 445,235.50 | 524,786.90 | |
| 195,983.61 | 278,969.67 | 363,503.18 | 445,773.92 | 523,674.22 | |
| 195,241.04 | 278,534.65 | 363,434.93 | 444,362.99 | 522,846.70 | |
| 0.51% | 0.10% | 0.05% | 0.20% | 0.37% | |
| 0.13% | −0.06% | 0.03% | −0.12% | 0.21% | |
| Number of Task Points | 350 | 400 | 450 | 500 | 550 |
| 604,007.28 | 684,670.74 | 763,979.28 | 845,245.29 | 924,528.97 | |
| 605,048.35 | 684,524.75 | 763,773.75 | 844,078.89 | 924,327.62 | |
| 603,285.32 | 684,199.66 | 763,116.57 | 843,955.98 | 923,793.98 | |
| 0.12% | 0.07% | 0.11% | 0.15% | 0.08% | |
| −0.17% | 0.02% | 0.03% | 0.14% | 0.02% |
| Number of Task Points | 100 | 150 | 200 | 250 | 300 |
| 54,269.45 | 81,181.96 | 108,845.44 | 131,520.16 | 147,743.25 | |
| 53,375.98 | 81,032.54 | 93,316.83 | 112,898.49 | 137,291.67 | |
| 55,000 | 82,500 | 110,000 | 137,500 | 165,000 | |
| 1.65% | 0.18% | 14.27% | 14.16% | 7.07% | |
| Number of Task Points | 350 | 400 | 450 | 500 | 550 |
| 173,182.07 | 180,174.07 | 227,561.66 | 234,988.05 | 262,144.08 | |
| 163,373.48 | 177,685.42 | 211,678.62 | 218,080.27 | 255,921.90 | |
| 192,500 | 220,000 | 247,500 | 275,000 | 302,500 | |
| 5.66% | 1.38% | 6.98% | 7.20% | 2.37% |
| Number of Task Points | 100 | 150 | 200 | 250 | 300 |
| 0.0206 | 0.0354 | 0.0299 | 0.0206 | 0.0304 | |
| 0.0167 | 0.0337 | 0.0061 | 0.0034 | 0.0114 | |
| 19.09% | 4.90% | 79.72% | 83.44% | 62.49% | |
| Number of Task Points | 350 | 400 | 450 | 500 | 550 |
| 0.0274 | 0.0114 | 0.0291 | 0.0229 | 0.0206 | |
| 0.0173 | 0.0088 | 0.0230 | 0.0133 | 0.0199 | |
| 36.97% | 22.43% | 20.76% | 42.16% | 3.53% |
Disclaimer/Publisher’s Note: The statements, opinions and data contained in all publications are solely those of the individual author(s) and contributor(s) and not of MDPI and/or the editor(s). MDPI and/or the editor(s) disclaim responsibility for any injury to people or property resulting from any ideas, methods, instructions or products referred to in the content. |
© 2023 by the authors. Licensee MDPI, Basel, Switzerland. This article is an open access article distributed under the terms and conditions of the Creative Commons Attribution (CC BY) license (https://creativecommons.org/licenses/by/4.0/).
Share and Cite
You, J.; Jia, J.; Pang, X.; Wen, J.; Shi, Y.; Zeng, J. A Novel Multi-Robot Task Assignment Scheme Based on a Multi-Angle K-Means Clustering Algorithm and a Two-Stage Load-Balancing Strategy. Electronics 2023, 12, 3842. https://doi.org/10.3390/electronics12183842
You J, Jia J, Pang X, Wen J, Shi Y, Zeng J. A Novel Multi-Robot Task Assignment Scheme Based on a Multi-Angle K-Means Clustering Algorithm and a Two-Stage Load-Balancing Strategy. Electronics. 2023; 12(18):3842. https://doi.org/10.3390/electronics12183842
Chicago/Turabian StyleYou, Jiangwei, Jianfang Jia, Xiaoqiong Pang, Jie Wen, Yuanhao Shi, and Jianchao Zeng. 2023. "A Novel Multi-Robot Task Assignment Scheme Based on a Multi-Angle K-Means Clustering Algorithm and a Two-Stage Load-Balancing Strategy" Electronics 12, no. 18: 3842. https://doi.org/10.3390/electronics12183842
APA StyleYou, J., Jia, J., Pang, X., Wen, J., Shi, Y., & Zeng, J. (2023). A Novel Multi-Robot Task Assignment Scheme Based on a Multi-Angle K-Means Clustering Algorithm and a Two-Stage Load-Balancing Strategy. Electronics, 12(18), 3842. https://doi.org/10.3390/electronics12183842

