Active Metamaterial Antenna with Tunable Zeroth-Order Resonances for Narrowband Internet of Things
Abstract
:1. Introduction
2. Cell Design and Simulation
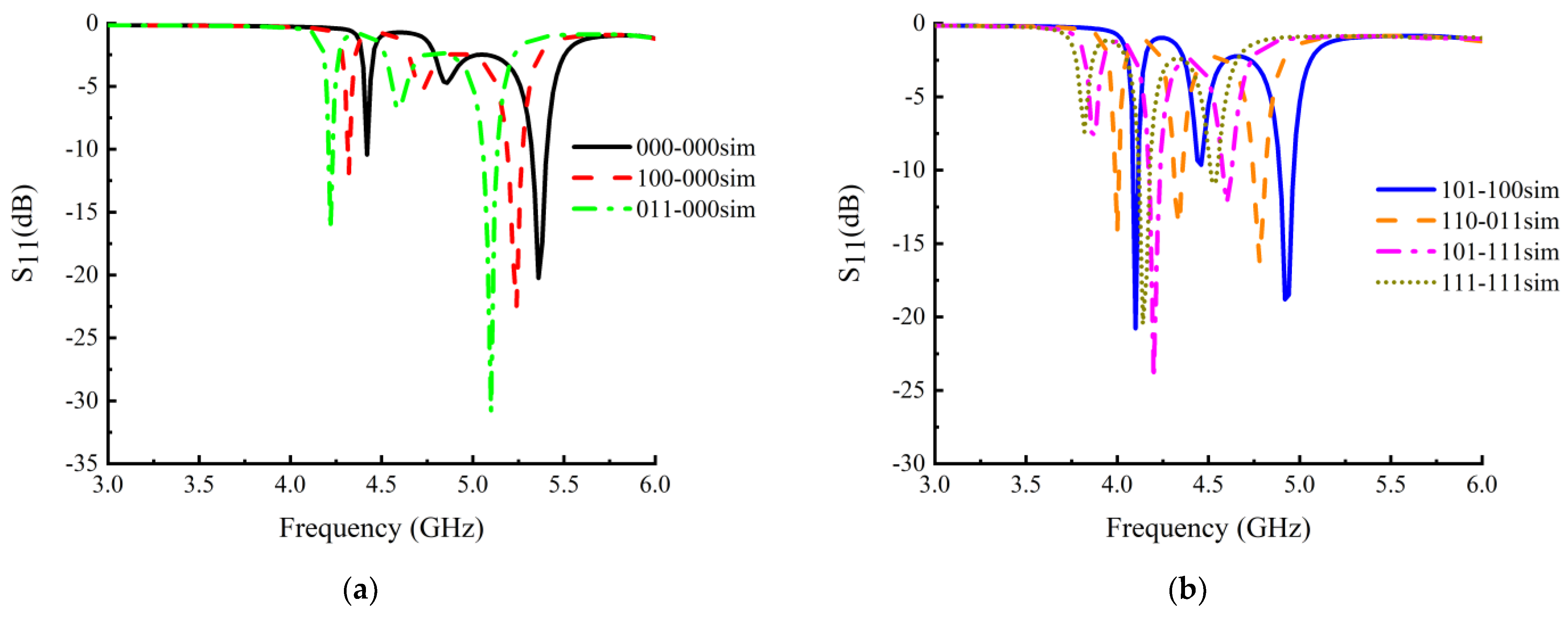
3. Antenna Simulation
4. Antenna Measurement
5. Conclusions
Author Contributions
Funding
Data Availability Statement
Conflicts of Interest
References
- Veselago, V.G. The electrodynamics of substances with simultaneously negative values of ε and μ. Sov. Phys. Usp. 1968, 10, 509–514. [Google Scholar] [CrossRef]
- Eleftheriades, G.V.; Balmain, K.G. Negative-Refraction Metamaterials: Fundamental Principles and Applications. Mater. Today 2005, 8, 440. [Google Scholar]
- Engheta, N.; Mickelson, A.; Papas, C. On the Near-Zone Inverse Doppler Effect. IEEE Trans. Antennas Propag. 1980, 28, 519–522. [Google Scholar] [CrossRef]
- Lai, A.; Itoh, T.; Caloz, C. Composite right/left-handed transmission line metamaterials. IEEE Microw. Mag. 2004, 5, 34–50. [Google Scholar] [CrossRef]
- Caloz, C.; Itoh, T. Array factor approach of leaky-wave antennas and application to 1-D/2-D composite right/left-handed(CRLH) structures. IEEE Microw. Wirel. Compon. Lett. 2004, 14, 274–276. [Google Scholar] [CrossRef]
- Costa, F.; Monorchio, A.; Manara, G. Analysis and Design of Ultra Thin Electromagnetic Absorbers Comprising Resistively Loaded High Impedance Surfaces. IEEE Trans. Antennas Propag. 2010, 58, 1551–1558. [Google Scholar] [CrossRef]
- Costa, F.; Monorchio, A. A Frequency Selective Radome with Wideband Absorbing Properties. IEEE Trans. Antennas Propag. 2012, 60, 2740–2747. [Google Scholar] [CrossRef]
- Saraband, K.; Behdad, N. A Frequency Selective Surface with Miniaturized Elements. IEEE Trans. Antennas Propag. 2007, 55, 1239–1245. [Google Scholar] [CrossRef]
- Kern, D.J.; Werner, D.H.; Monorchio, A. The Design Synthesis of Multiband Artificial Magnetic Conductors Using High Impedance Frequency Selective Surfaces. IEEE Trans. Antennas Propag. 2005, 53, 8–17. [Google Scholar] [CrossRef]
- Shu, J.; Zhang, Y.; Zheng, Z. A Novel Beam Steerable Antenna Employing Tunable High Impedance Surface with Liquid Crystal. IEEE Access 2020, 8, 118687–118695. [Google Scholar] [CrossRef]
- Yin, J.Y.; Ren, J.; Zhang, Q. Frequency-Controlled Broad-Angle Beam Scanning of Patch Array Fed by Spoof Surface Plasmon Polaritons. IEEE Trans. Antennas Propag. 2016, 64, 5181–5189. [Google Scholar] [CrossRef]
- Guan, D.F.; Peng, Y.; Zhang, Q. Hybrid Spoof Surface Plasmon Polariton and Substrate Integrated Waveguide Transmission Line and Its Application in Filter. IEEE Trans. Microw. Theory Tech. 2017, 65, 4925–4932. [Google Scholar] [CrossRef]
- Kang, H.; Lim, S. Electrically small dual-band reconfigurablecomplementary split-ring resonator (CSRR)-loaded eighth-mode substrate tntegrated waveguide (EMSIW) antenna. IEEE Trans. Antennas Propag. 2014, 62, 2368–2373. [Google Scholar] [CrossRef]
- Somarith, S.; Hyunseong, K.; Sungjoon, L. Frequency reconfigurable and miniaturized substrate integrated waveguide interdigital capacitor (SIW-IDC) antenna. IEEE Trans. Antennas Propag. 2014, 62, 1039–1045. [Google Scholar] [CrossRef]
- Cui, T.J.; Qi, M.Q.; Wan, X.; Zhao, J.; Cheng, Q. Coding metamaterials, digital metamaterials and programmable metamaterials. Light. Sci. Appl. 2014, 3, 27–35. [Google Scholar] [CrossRef]
- Cui, T.J. Microwave metamaterials—From passive to digital and programmable controls of electromagnetic waves. J. Opt. 2017, 19, 4004–4038. [Google Scholar] [CrossRef]
- Jackson, D.R.; Caloz, C.; Itoh, T. Leaky-wave antennas. Proc. IEEE 2012, 100, 2194–2206. [Google Scholar] [CrossRef]
- Chen, S.L.; Karmokar, D.K.; Li, Z.; Qin, P.Y.; Ziolkowski, R.W.; Guo, Y. Continuous Beam Scanning at a Fixed Frequency with a Composite Right-/Left-Handed Leaky-Wave Antenna Operating Over a Wide Frequency Band. IEEE Trans. Antennas Propag. 2019, 67, 7272–7284. [Google Scholar] [CrossRef]
- Fu, J.-H.; Li, A.; Chen, W.; Lv, B.; Wang, Z.; Li, P.; Wu, Q. An Electrically Controlled CRLH-Inspired Circularly Polarized Leaky-Wave Antenna. IEEE Antennas Wirel. Propag. Lett. 2017, 16, 760–763. [Google Scholar] [CrossRef]
- Meng, W.; Hui, F.M.; Hao, C.Z.; Tang, W.; Zhang, X.; Cui, T. Frequency-Fixed Beam-Scanning Leaky-Wave Antenna Using Electronically Controllable Corrugated Microstrip Line. IEEE Trans. Antennas Propag. 2018, 66, 4449–4457. [Google Scholar]
- Chen, K.; Zhang, Y.; He, S.Y.; Chen, H.T.; Zhu, G.Q. An Electronically Controlled Leaky-Wave Antenna Based on Corrugated SIW Structure with Fixed-Frequency Beam Scanning. IEEE Antennas Wirel. Propag. Lett. 2019, 18, 551–555. [Google Scholar] [CrossRef]
- Shaw, R.; Mandal, M.K. Broadside Scanning Fixed Frequency LWA with Simultaneous Electronic Control of Beam angle and Beamwidth. IEEE Trans. Antennas Propag. 2020, 58, 3504–3514. [Google Scholar] [CrossRef]
- Liu, P.; Jiang, W.; Sun, S.; Xi, Y.; Gong, S. Broadband and Low-Profile Penta-Polarization Reconfigurable Metamaterial Antenna. IEEE Access 2020, 8, 21823–21831. [Google Scholar] [CrossRef]
- Feng, B.; Li, L.; Zeng, Q.; Sim, C.-Y. A Low-Profile Metamaterial Loaded Antenna Array with Anti-Interference and Polarization Reconfigurable Characteristics. IEEE Access 2018, 6, 35578–35589. [Google Scholar] [CrossRef]
- Jang, Y.; Choi, J.; Lim, S. Frequency tunable zeroth-order resonant antenna by using RF MEMS on slotted ground plane. In Proceedings of the 2010 Asia-Pacific Microwave Conference, Yokohama, Japan, 7–10 December 2010. [Google Scholar]
- Kim, J.; Kim, G.; Seong, W.; Choi, J. A Tunable Internal Antenna with an Epsilon Negative Zeroth Order Resonator for DVB-H Service. IEEE Trans. Antennas Propag. 2009, 57, 4014–4017. [Google Scholar]
- Mirzaei, H.; Eleftheriades, G.V. A Compact Frequency-Reconfigurable Metamaterial-Inspired Antenna. IEEE Antennas Wirel. Propag. Lett. 2011, 10, 1154–1157. [Google Scholar] [CrossRef]
- Boukarkar, A.; Lin, X.Q.; Jiang, Y. A Dual-Band Frequency-Tunable Magnetic Dipole Antenna for WiMAX/WLAN Applications. IEEE Antennas Wirel. Propag. Lett. 2015, 15, 492–495. [Google Scholar] [CrossRef]
- Yu, Y.; Xiong, J.; Li, H.; He, S. An Electrically Small Frequency Reconfigurable Antenna with a Wide Tuning Range. IEEE Antennas Wirel. Propag. Lett. 2011, 10, 103–106. [Google Scholar]
- Huang, H.-J.; Tsai, C.-H.; Lai, C.-P.; Chen, S.-Y. Frequency-Tunable Miniaturized Strip Loop Antenna Fed by a Coplanar Strip. IEEE Antennas Wirel. Propag. Lett. 2016, 15, 1000–1003. [Google Scholar] [CrossRef]
- Chi, P.-L.; Waterhouse, R.; Itoh, T. Compact and Tunable Slot-Loop Antenna. IEEE Trans. Antennas Propag. 2011, 59, 1394–1397. [Google Scholar] [CrossRef]
- Ko, J.; Kim, D. A Wideband Frequency-Tunable Dipole Antenna Based on Antiresonance Characteristics. IEEE Antenna Wirel. Propag. Lett. 2017, 16, 3067–3070. [Google Scholar] [CrossRef]
- Takemura, N. Tunable Inverted-L Antenna with Split-Ring Resonator Structure for Mobile Phones. IEEE Trans. Antennas Propag. 2012, 61, 1891–1897. [Google Scholar] [CrossRef]
- Choi, J.; Lim, S. Frequency and Radiation Pattern Reconfigurable Small Metamaterial Antenna using its Extraordinary Zeroth-Order Resonance. J. Electromagn. Waves Appl. 2010, 24, 2119–2127. [Google Scholar] [CrossRef]
- Khan, M.S.; Capobianco, A.D.; Iftikhar, A.; Asif, S.; Ijaz, B.; Braaten, B.D. A Frequency-Reconfigurable Series-Fed Microstrip Patch Array with Interconnecting CRLH Transmission Lines. IEEE Antennas Wirel. Propag. Lett. 2016, 15, 242–245. [Google Scholar] [CrossRef]
- Chen, M.; Miao, Y.; Hao, Y.; Hwang, K. Narrow band internet of things. IEEE Access 2017, 5, 20557–20577. [Google Scholar] [CrossRef]
- Ma, H.; Qi, J.; Li, K.; He, C. Plant growth monitoring cloud platform based on internet of things. In Proceedings of the 2021 6th International Conference on Intelligent Computing and Signal Processing (ICSP), Xi’an, China, 9–11 April 2021. [Google Scholar]
- Shi, J.; Jin, L.; Li, J.; Fang, Z. A smart parking system based on NB-IoT and third-party payment platform. In Proceedings of the 2017 17th International Symposium on Communications and Information Technologies (ISCIT), Cairns, Australia, 25–27 September 2021. [Google Scholar]
- Cao, X.; Li, Y. Data collection and network architecture analysis in internet of vehicles based on NB-IoT. In Proceedings of the 2018 International Conference on Intelligent Transportation, Big Data & Smart City (ICITBS), Xiamen, China, 25–26 January 2018. [Google Scholar]
- Lee, S.W.; Lee, J.H. Electrically Small MNG ZOR Antenna with Multilayered Conductor. IEEE Antennas Wirel. Propag. Lett. 2010, 9, 724–727. [Google Scholar] [CrossRef]
- Yan, S.; Vandenbosch, G. Zeroth-order resonant circular patch antenna based on periodic structures. IET Microw. Antennas Propag. 2014, 8, 1432–1439. [Google Scholar] [CrossRef]
- Luo, Y.; Liu, H.; He, Y.; Cui, H.; Yang, G. Continuous Resonance Tuning without Blindness by Applying Nonlinear Properties of PIN Diodes. Sensors 2021, 21, 2816. [Google Scholar] [CrossRef]



















| Parameter | Value | Parameter | Value | Parameter | Value |
|---|---|---|---|---|---|
| 0.8 | 1.2 | 0.2 | |||
| 4.6 | 5.8 | 0.5 | |||
| 1 | 1.7 | 0.4 | |||
| 4 | 1.4 | 0.33 |
| Parameter | Value | Parameter | Value | Parameter | Value |
|---|---|---|---|---|---|
| 9 | W | 34.8 | 3.3 | ||
| 1 | L | 44.5 | 7.5 | ||
| 2 | 0.2 | 2 | |||
| 1.2 | 0.2 | 1.2 |
| References | Tuning States | Tuning Range | Unit | Active Devices | Number | Bias Voltage (V) |
|---|---|---|---|---|---|---|
| [16] | ∞ | 1.6–2.23 | 1 | Varactor | 1 | 2–20 |
| [19] | ∞ | 1.94–2.44 | 1 | Varactor | 1 | 0–20 |
| [21] | ∞ | 1.25–2.74 | 1 | Varactor | 1 | 0–10 |
| [23] | 2 | 2.32–3.14 | 2 | PIN diode | 2 | 0–0.7 |
| [24] | 2 | 1.97–2.37 | 3 | PIN diode | 15 | / |
| [42] | 16 | 4.7–5.3 | 2 | PIN diode | 4 | 0–1.5 |
| This work | 36 | 4.48–5.34 | 3 | PIN diode | 6 | 0–1.2 |
Disclaimer/Publisher’s Note: The statements, opinions and data contained in all publications are solely those of the individual author(s) and contributor(s) and not of MDPI and/or the editor(s). MDPI and/or the editor(s) disclaim responsibility for any injury to people or property resulting from any ideas, methods, instructions or products referred to in the content. |
© 2023 by the authors. Licensee MDPI, Basel, Switzerland. This article is an open access article distributed under the terms and conditions of the Creative Commons Attribution (CC BY) license (https://creativecommons.org/licenses/by/4.0/).
Share and Cite
Liu, Z.; Yang, L.; Liu, H.; Luo, Y. Active Metamaterial Antenna with Tunable Zeroth-Order Resonances for Narrowband Internet of Things. Electronics 2023, 12, 3827. https://doi.org/10.3390/electronics12183827
Liu Z, Yang L, Liu H, Luo Y. Active Metamaterial Antenna with Tunable Zeroth-Order Resonances for Narrowband Internet of Things. Electronics. 2023; 12(18):3827. https://doi.org/10.3390/electronics12183827
Chicago/Turabian StyleLiu, Zhanheng, Leimeng Yang, Hongtao Liu, and Yong Luo. 2023. "Active Metamaterial Antenna with Tunable Zeroth-Order Resonances for Narrowband Internet of Things" Electronics 12, no. 18: 3827. https://doi.org/10.3390/electronics12183827
APA StyleLiu, Z., Yang, L., Liu, H., & Luo, Y. (2023). Active Metamaterial Antenna with Tunable Zeroth-Order Resonances for Narrowband Internet of Things. Electronics, 12(18), 3827. https://doi.org/10.3390/electronics12183827
