Design of Miniaturized SIW Filter Loaded with Improved CSRR Structures
Abstract
:1. Introduction
2. Equivalent Circuit Model Analysis
2.1. Lumped Model of the Proposed Filter Unit
2.2. Relationship between Lumped Model Parameters and Layout Parameters
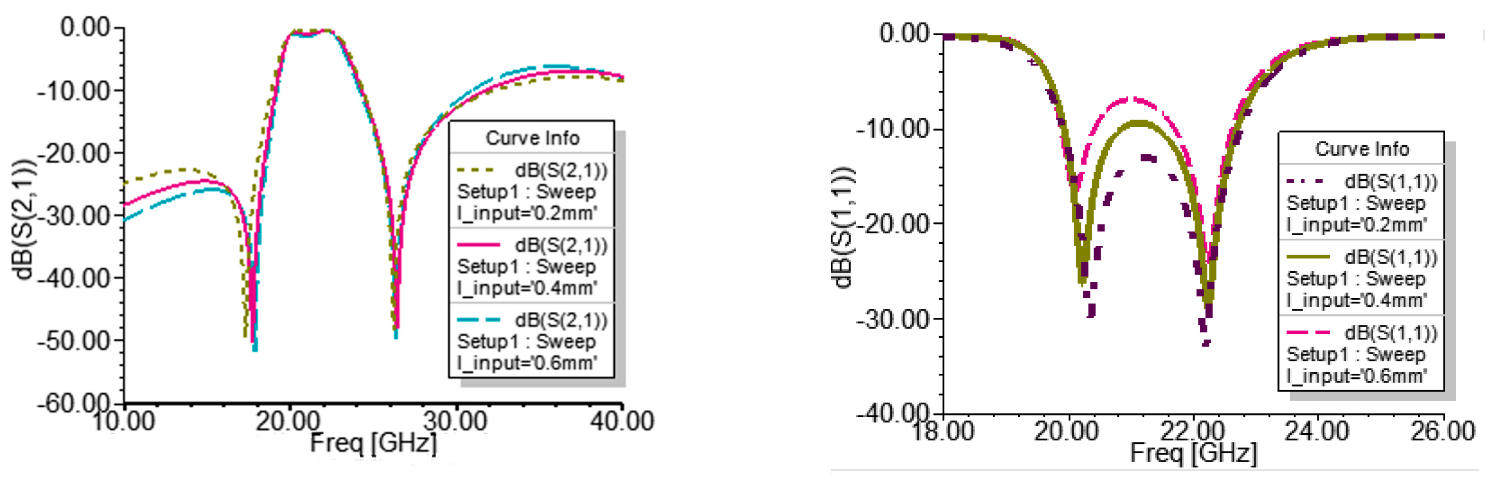
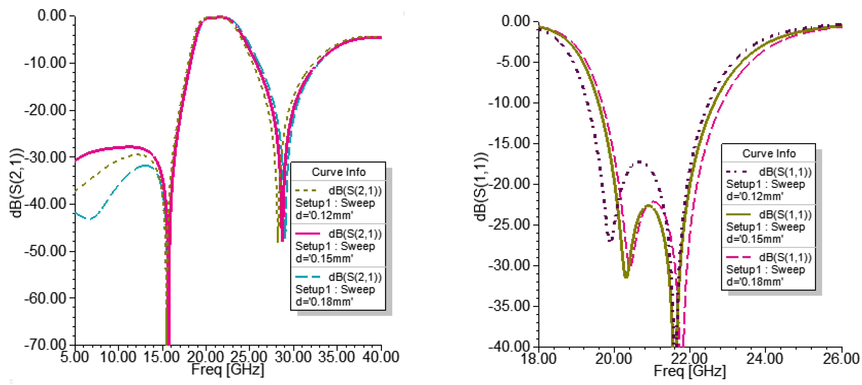
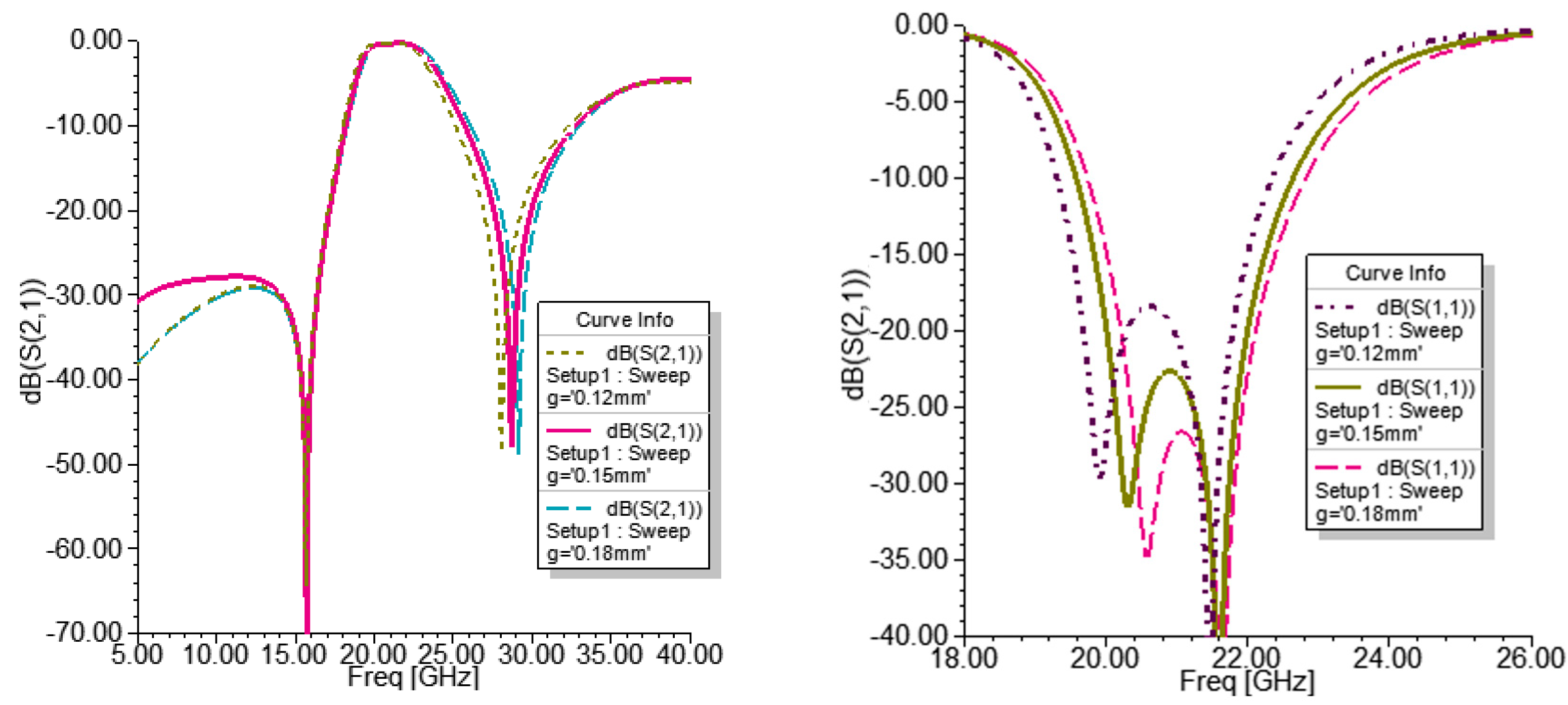
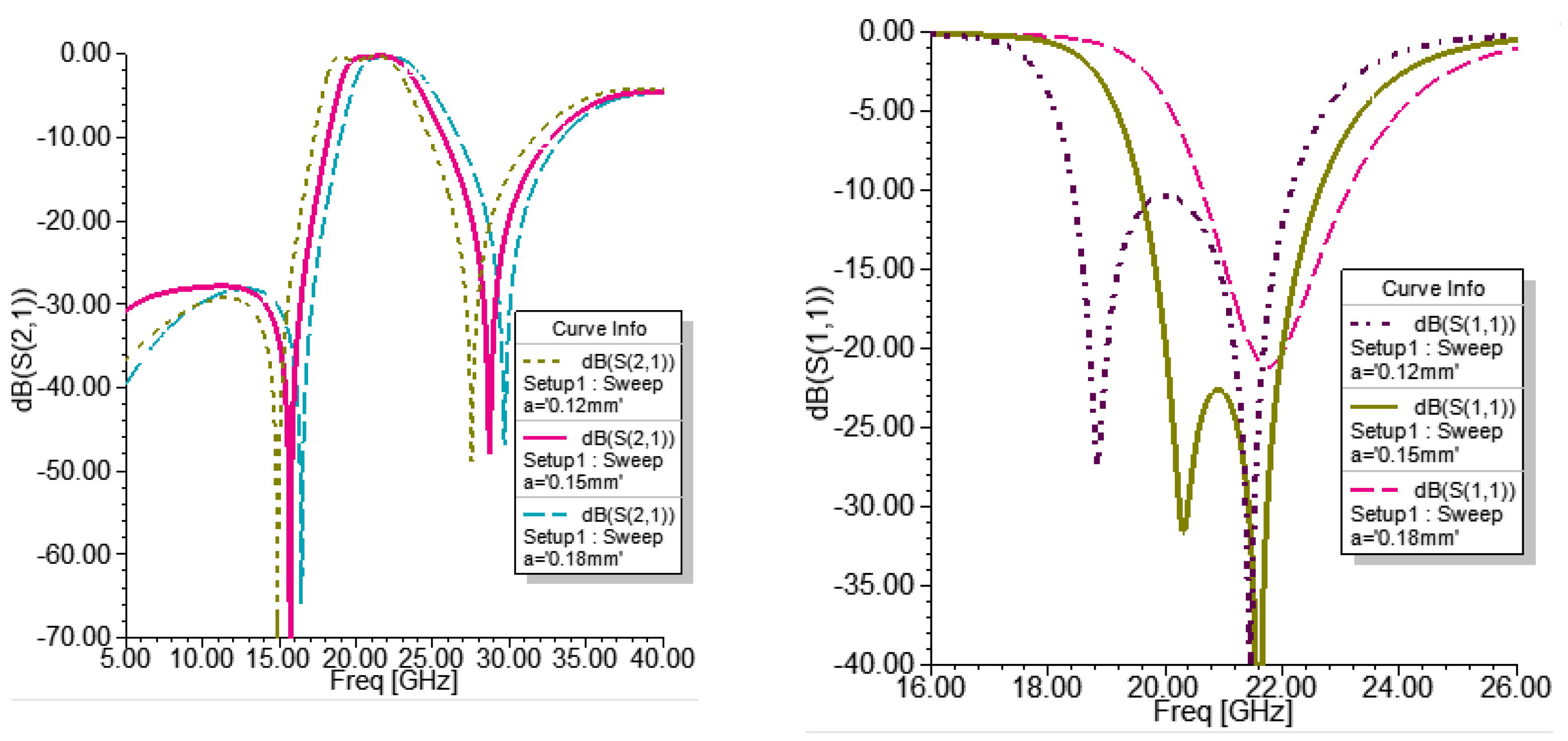
3. A K-Band Filter Design
4. Measurement Results and Analysis
5. Conclusions
Funding
Data Availability Statement
Conflicts of Interest
References
- Pendry, J.B.; Holden, A.J.; Robbins, D.J.; Stewart, W.J. Magnetism from conductors and enhanced nonlinear phenomena. IEEE Trans. Microw. Theory Tech. 1999, 47, 2075–2084. [Google Scholar] [CrossRef]
- Falcone, F.; Lopetegi, T.; Baena, J.D.; Marques, R.; Martin, F.; Sorolla, M. Effective negative-epsilon stopband microstrip lines based on complementary split ring resonators. IEEE Microw. Wirel. Compon. Lett. 2004, 14, 280–282. [Google Scholar] [CrossRef]
- Saadat-Safa, M.; Nayyeri, V.; Khanjarian, M.; Soleimani, M.; Ramahi, O.M. A CSRR-Based Sensor for Full Characterization of Magneto-Dielectric Materials. IEEE Trans. Microw. Theory Tech. 2019, 67, 806–814. [Google Scholar] [CrossRef]
- Wu, W.-J.; Zhao, W.-S.; Wang, D.-W.; Yuan, B.; Wang, G. A Temperature-Compensated Differential Microstrip Sensor for Microfluidic Applications. IEEE Sens. J. 2021, 21, 24075–24083. [Google Scholar] [CrossRef]
- Liu, Z.; Sharma, T.; Chappidi, C.R.; Venkatesh, S.; Yu, Y.; Sengupta, K. A 42–62 GHz Transformer-Based Broadband mm-Wave InP PA With Second-Harmonic Waveform Engineering and Enhanced Linearity. IEEE Trans. Microw. Theory Tech. 2021, 69, 756–773. [Google Scholar] [CrossRef]
- Hu, M.; Yu, Z.; Xu, J.; Lan, J.; Zhou, J.; Hong, W. Diverse SRRs Loaded Millimeter-Wave SIW Antipodal Linearly Tapered Slot Filtenna with Improved Stopband. IEEE Trans. Antennas Propag. 2021, 69, 8902–8907. [Google Scholar] [CrossRef]
- Khan, M.S.; Capobianco, A.-D.; Asif, S.M.; Anagnostou, D.E.; Shubair, R.M.; Braaten, B.D. A Compact CSRR-Enabled UWB Diversity Antenna. IEEE Antennas Wirel. Propag. Lett. 2017, 16, 808–812. [Google Scholar] [CrossRef]
- Ding, Y.; Lee, C.-S.; Li, Y.; Wang, Z.-Q.; Li, G.-F. An Angular Displacement Sensor-Based Active Feedback Open Complementary Split-Ring Resonator. IEEE Microw. Wirel. Compon. Lett. 2021, 31, 1079–1082. [Google Scholar] [CrossRef]
- Liu, Z.; Sengupta, K. A 44–64-GHz mmWave Broadband Linear Doherty PA in Silicon with Quadrature Hybrid Combiner and Non-Foster Impedance Tuner. IEEE J. Solid-State Circuits 2022, 57, 2320–2335. [Google Scholar] [CrossRef]
- Feng, W.; Shi, Y.; Zhou, X.Y.; Shen, X.; Che, W. A Bandpass Push–Pull High Power Amplifier Based on SIW Filtering Balun Power Divider. IEEE Trans. Plasma Sci. 2019, 47, 4281–4286. [Google Scholar] [CrossRef]
- Marques, R.; Martel, J.; Mesa, F.; Medina, F. Left-handed-media simulation and transmission of EM waves in subwavelength split ring resonator-loaded metallic waveguides. Phys. Rev. Lett. 2002, 89, 183901–183904. [Google Scholar] [CrossRef] [PubMed]
- Baena, J.N.; Marques, R.; Martel, J.; Medina, F. Experimental results on metamaterial simulation using SRR-loaded waveguides. In Proceedings of the IEEE Antennas and Propagation Society International Symposium. Digest. Held in conjunction with: USNC/CNC/URSI North American Radio Sci. Meeting (Cat. No.03CH37450), Columbus, OH, USA, 22–27 June 2003; Volume 1, pp. 106–109. [Google Scholar]
- Hrabar, S.; Bartolic, J.; Sipus, Z. Waveguide miniaturization using uniaxial negative permeability metamaterial. IEEE Trans. Antennas Propag. 2005, 53, 110–119. [Google Scholar] [CrossRef]
- Esteban, J.; Penalosa, C.C.; Page, J.E.; Martin-Guerrero, T.M.; Marquez-Segura, E. Simulation of negative permittivity and negative permeability by means of evanescent waveguide modes-theory and experiment. IEEE Trans. Microw. Theory Tech. 2005, 53, 1506–1514. [Google Scholar] [CrossRef]
- Lubkowski, G.; Damm, C.; Bandlow, B.; Schuhmann, R.; Schüßler, M.; Weiland, T. Broadband transmission below the cutoff frequency of a waveguide loaded with resonant scatterer arrays. IET Microw. Antennas Propag. 2007, 1, 165–169. [Google Scholar] [CrossRef]
- Bage, A.; Das, S. Stopband Performance Improvement of CSRR-Loaded Waveguide Bandpass Filters Using Asymmetric Slot Structures. IEEE Microw. Wirel. Compon. Lett. 2017, 27, 697–699. [Google Scholar] [CrossRef]
- Zhu, H.-R.; Sun, Y.-F.; Wu, X.-L. A Compact Tapered EBG Structure with Sharp Selectivity and Wide Stopband by Using CSRR. IEEE Microw. Wirel. Compon. Lett. 2018, 28, 771–773. [Google Scholar] [CrossRef]
- Jiang, D.; Liu, Y.; Li, X.; Wang, G.; Zheng, Z. Tunable Microwave Bandpass Filters with Complementary Split Ring Resonator and Liquid Crystal Materials. IEEE Access 2019, 7, 126265–126272. [Google Scholar] [CrossRef]
- Jha, A.K.; Lamecki, A.; Gómez-García, R.; Mrozowski, M. Extending the Frequency Limit of Microstrip-Coupled CSRR Using Asymmetry. IEEE Trans. Microw. Theory Tech. 2021, 69, 3759–3769. [Google Scholar] [CrossRef]
- Zhang, S.; Rao, J.-Y.; Hong, J.-S.; Liu, F.-L. A Novel Dual-Band Controllable Bandpass Filter Based on Fan-Shaped Substrate Integrated Waveguide. IEEE Microw. Wirel. Compon. Lett. 2018, 28, 308–310. [Google Scholar] [CrossRef]
- Zeng, X.; Bi, X.; Cao, Z.; Wan, R.; Xu, Q. High Selectivity Dual-Wideband Balun Filter Utilizing a Multimode T-line Loaded Middle-Shorted CSRR. IEEE Trans. Circuits Syst. II Express Briefs 2020, 67, 2447–2451. [Google Scholar] [CrossRef]
- Zhang, H.; Kang, W.; Wu, W. Miniaturized Dual-Band Differential Filter Based on CSRR-Loaded Dual-Mode SIW Cavity. IEEE Microw. Wirel. Compon. Lett. 2018, 28, 897–899. [Google Scholar] [CrossRef]
- Ji, Q.; Yang, H.; Wang, T.; Fang, X.; Jiang, T.; Xu, Q.; Cao, Z. CSRR DGS-Based Bandpass Negative Group Delay Circuit Design. IEEE Access 2023, 11, 20309–20318. [Google Scholar] [CrossRef]
- Zhang, X.C.; Yu, Z.Y.; Xu, J. Novel band-pass substrate integrated waveguide (SIW) filter based on complementary split ring resonators (CSRRs). Prog. Electromagn. Res. 2007, 72, 39–46. [Google Scholar] [CrossRef]
- Fu, W.; Li, Z.; Liu, P.; Cheng, J.; Qiu, X. Modeling and analysis of novel CSRRs-loaded dual-band bandpass SIW filters. IEEE Trans. Circuits Syst. II Express Briefs 2021, 68, 2352–2356. [Google Scholar] [CrossRef]
- Dong, Y.D.; Yang, T.; Itoh, T. Substrate integrated waveguide loaded by complementary split-ring resonators and its applications to miniaturized waveguide filters. IEEE Trans. Microw. Theory Tech. 2009, 57, 2211–2223. [Google Scholar] [CrossRef]
- Shi, L.F.; Sun, C.Y.; Chen, S.; Liu, G.X.; Shi, Y.F. Dual-band substrate integrated waveguide bandpass filter based on CSRRs and multimode resonator. Int. J. RF Microw. Comput. Aid. Eng. 2018, 28, e21412. [Google Scholar] [CrossRef]
- Zhang, H.; Wei, K.; Wen, W. Dual-band substrate integrated waveguide bandpass filter utilising complementary split-ring resonators. Electron. Lett. 2018, 54, 85–87. [Google Scholar] [CrossRef]
- Chu, P.; Hong, W.; Zheng, K.L.; Yang, W.W.; Xu, F.; Wu, K. Balanced hybrid SIW–CPW bandpass filter. Electron. Lett. 2017, 53, 1653–1655. [Google Scholar] [CrossRef]
- Achraou, S.; Haddi, S.B.; Zakriti, A.; El Ouahabi, M.; Farkhsi, A. A Compact SIW Bandpass Filter with Double slit Complementary Split Ring Resonator. In Proceedings of the 2020 International Symposium on Advanced Electrical and Communication Technologies (ISAECT), Marrakech, Morocco, 25–27 November 2020; pp. 1–4. [Google Scholar]
- Mehdi, D.; Keltouma, N.; Mohammed, F.; Mohammed, K. Comparison on the Substrat Integerated Wave Guide Filter Based on Complementary Split Ring Resonators (CSRRs). Int. J. Comput. Sci. Telecommun. 2015, 6, 10–16. [Google Scholar]
- Rogla, L.J.; Carbonell, J.; Boria, V.E. Study of equivalent circuits for open-ring and split-ring resonators in coplanar waveguide technology. IET Microw. Antennas Propag. 2007, 1, 170–176. [Google Scholar] [CrossRef]


















| b2_y | b3_y | g | d | a | l | r | p | w_siw | w_mcp | l_input | dev_csrr2_x |
|---|---|---|---|---|---|---|---|---|---|---|---|
| 1.21 | 1.24 | 0.15 | 0.15 | 0.15 | 2.5 | 0.2 | 0.75 | 3.62 | 1.1 | 0.25 | 0 |
| Ref. | f0 (GHz) | Order | FBW (%) | IL at f0 (dB) | TZs (L/M/H) | Main Size (λg × λg) |
|---|---|---|---|---|---|---|
| [22] | 6.22/8.24 | 2/2 | 06.22/8.24 | 0.86/1.32 | 0/2/1 | 0.86 × 0.41 |
| [25] | 6/12 | 2/3 | 18.33/29.17 | 0.79/1.39 | 0/2/2 | 0.92 × 0.534 |
| [27] | 9.8/13.5 | 2/2 | 11.2/9.8 | 1.8/1.5 | 1/1/1 | 1.22 × 1.22 |
| [28] | 7.89/8.89 | 2/2 | 3.42/3.94 | 1.5/1.9 | 1/2/1 | 0.87 × 0.85 |
| [29] | 5.5 | 6 | 12 | 1.7 | 0/0/0 | 0.78 × 0.39 |
| [30] | 8.3 | 2 | 18 | 0.4 (Sim) | 0/0/0 | 0.91 × 0.354 |
| [31] | 8.35 | 3 | 19.27 | 0.85 (Sim) | 0/0/3 | 1.08 × 0.626 |
| This work | 22.95 | 4 | 11.76 | 1.96 | 2/0/2 | 0.756 × 0.57 |
Disclaimer/Publisher’s Note: The statements, opinions and data contained in all publications are solely those of the individual author(s) and contributor(s) and not of MDPI and/or the editor(s). MDPI and/or the editor(s) disclaim responsibility for any injury to people or property resulting from any ideas, methods, instructions or products referred to in the content. |
© 2023 by the author. Licensee MDPI, Basel, Switzerland. This article is an open access article distributed under the terms and conditions of the Creative Commons Attribution (CC BY) license (https://creativecommons.org/licenses/by/4.0/).
Share and Cite
Huang, X. Design of Miniaturized SIW Filter Loaded with Improved CSRR Structures. Electronics 2023, 12, 3789. https://doi.org/10.3390/electronics12183789
Huang X. Design of Miniaturized SIW Filter Loaded with Improved CSRR Structures. Electronics. 2023; 12(18):3789. https://doi.org/10.3390/electronics12183789
Chicago/Turabian StyleHuang, Xiaolong. 2023. "Design of Miniaturized SIW Filter Loaded with Improved CSRR Structures" Electronics 12, no. 18: 3789. https://doi.org/10.3390/electronics12183789
APA StyleHuang, X. (2023). Design of Miniaturized SIW Filter Loaded with Improved CSRR Structures. Electronics, 12(18), 3789. https://doi.org/10.3390/electronics12183789

