An Angle-Stable Ultra-Wideband Single-Layer Frequency Selective Surface Absorber
Abstract
:1. Introduction
2. Design and Analysis of the Absorber
2.1. Design of the FSS Unit Cell
2.2. Design of the Compensation Layer
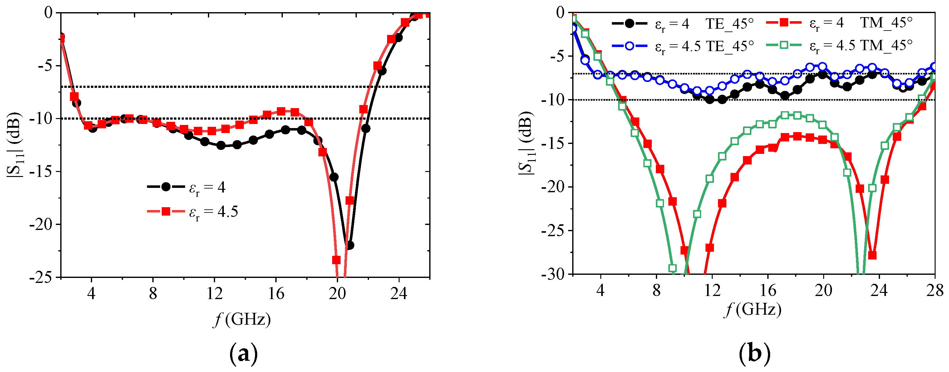
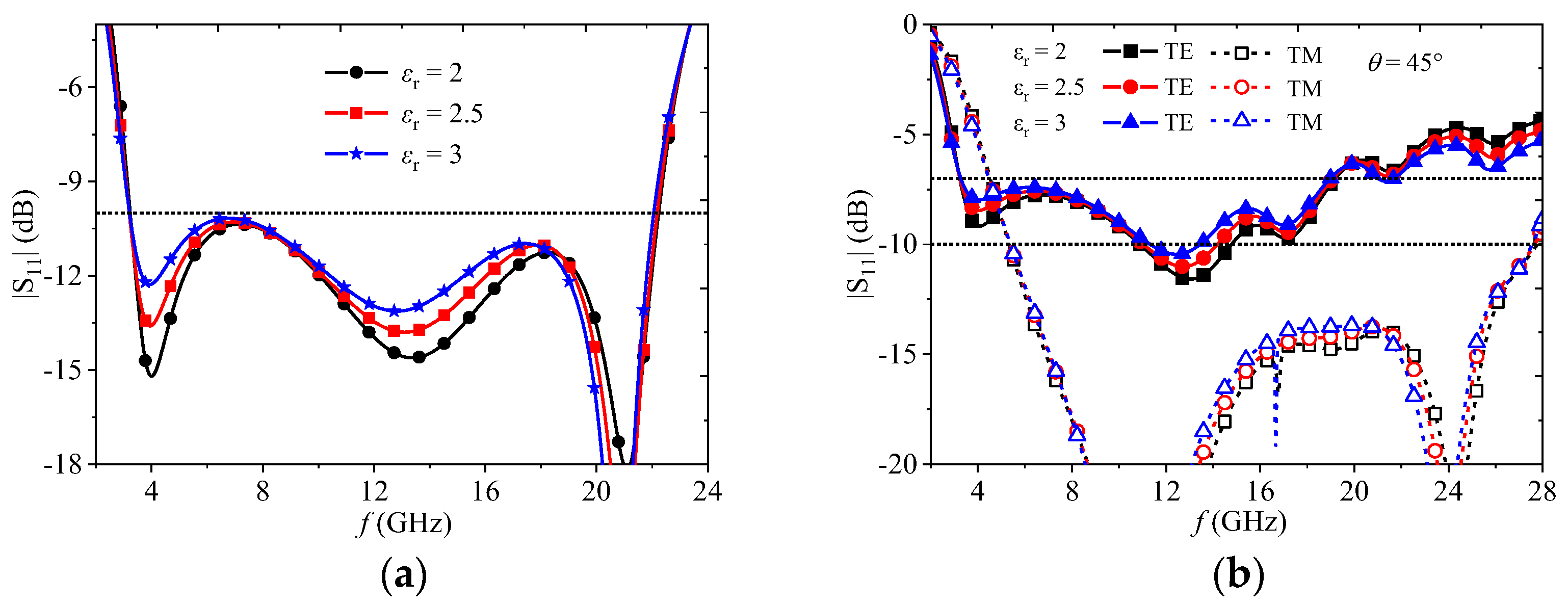
2.3. Effects of Patches on the Absorber
3. Performance Evaluation of the Absorber
3.1. Angular Stability of the Absorber
3.2. Effects of Sheet Resistance Fluctuation on the Absorber
3.3. Thickness of the Absorber
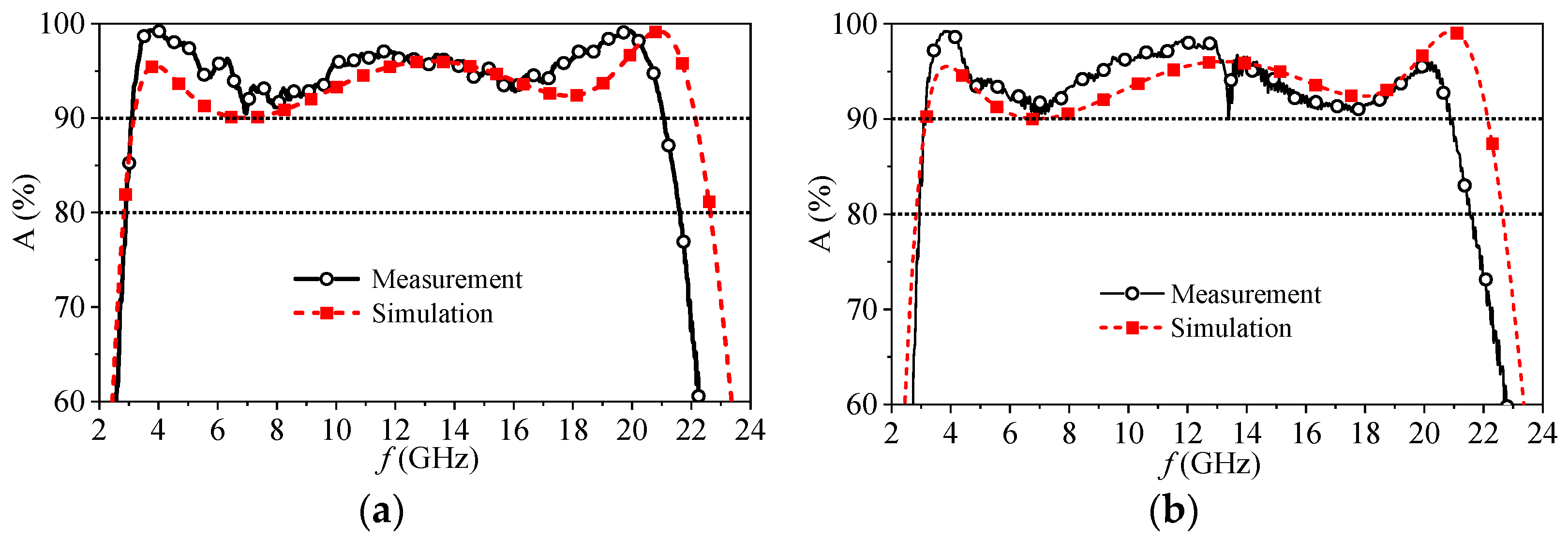
4. Experiment Verification
5. Conclusions
Author Contributions
Funding
Data Availability Statement
Acknowledgments
Conflicts of Interest
References
- Hossain, M.I.; Nguyen-Trong, N.; Abbosh, A.M. Broadband Magnetic Absorber Based on Double-Layer Frequency-Selective Surface. IEEE Trans. Antennas Propag. 2022, 70, 410–419. [Google Scholar] [CrossRef]
- Abidin, Z.U.; Cao, Q.; Shah, G. Design of a Compact Single-Layer Frequency Selective Surface with High Oblique Stability. IEEE Trans. Electromagn. Compat. 2022, 64, 2060–2066. [Google Scholar] [CrossRef]
- Abdul Shukoor, M.; Dey, S. Broadband Polarization Insensitive Angular Stable Cross Dipole Loaded Circular Ring Circuit Analog Absorber (CAA) for X to K-Band Applications. In Proceedings of the 2020 International Symposium on Antennas & Propagation (APSYM), Cochin, India, 14–16 December 2020; pp. 97–100. [Google Scholar]
- Sun, T.; Yin, F.; Xu, C.; Zhao, S.; Yan, H.; Yi, H. Ultrawideband Precision RCS Regulation for Trihedral Corner Reflectors by Loading Resistive Film Absorbers. Electronics 2022, 11, 3696. [Google Scholar] [CrossRef]
- Decoster, B.; Maes, S.; Cuiñas, I.; García Sánchez, M.; Caldeirinha, R.; Verhaevert, J. Dual-Band Single-Layer Fractal Frequency Selective Surface for 5G Applications. Electronics 2021, 10, 2880. [Google Scholar] [CrossRef]
- Farooq, U.; Iftikhar, A.; Shafique, M.F.; Khan, M.S. C-Band and X-Band Switchable Frequency-Selective Surface. Electronics 2021, 10, 476. [Google Scholar] [CrossRef]
- Yang, Y.; Li, W.; Salama, K.N.; Shamim, A. Polarization Insensitive and Transparent Frequency Selective Surface for Dual Band GSM Shielding. IEEE Trans. Antennas Propag. 2021, 69, 2779–2789. [Google Scholar] [CrossRef]
- Shi, C.; Zou, J.; Gao, J.; Liu, C. Gain Enhancement of a Dual-Band Antenna with the FSS. Electronics 2022, 11, 2882. [Google Scholar] [CrossRef]
- Chakradhary, V.K.; Baskey, H.B.; Roshan, R.; Pathik, A.; Akhtar, M.J. Design of Frequency Selective Surface-Based Hybrid Nanocomposite Absorber for Stealth Applications. IEEE Trans. Microw. Theory Tech. 2018, 66, 4737–4744. [Google Scholar] [CrossRef]
- Zheng, J.; Zheng, H.; Pang, Y.; Qu, B.; Xu, Z. Transparent broadband absorber based on a multilayer ITO conductive film. Opt. Express 2023, 31, 3731–3742. [Google Scholar] [CrossRef]
- Gao, M.; Chen, Q.; Zheng, Y.; Ding, L.; Liao, D.; Fu, Y. Ultrabroadband Absorber Based on Layered Inkjet-Printing Resistive Film. IEEE Antennas Wirel. Propag. Lett. 2023, 22, 228–232. [Google Scholar] [CrossRef]
- Sun, Z.; Yan, L.; Zhao, X.; Gao, R.X.-K. An Ultrawideband Frequency Selective Surface Absorber with High Polarization-Independent Angular Stability. IEEE Antennas Wirel. Propag. Lett. 2023, 22, 789–793. [Google Scholar] [CrossRef]
- Cao, Z.; Yao, G.; Zha, D.; Zhao, Y.; Wu, L.; Miao, L.; Bie, S.; Jiang, J. Impedance Well Effect from Circuit Analysis and New Design Concepts for Ultrabroadband Passive Absorber. IEEE Trans. Antennas Propag. 2022, 70, 9942–9946. [Google Scholar] [CrossRef]
- Sheokand, H.; Singh, G.; Ghosh, S.; Ramkumar, J.; Ramakrishna, S.A.; Srivastava, K.V. An Optically Transparent Broadband Microwave Absorber Using Interdigital Capacitance. IEEE Antennas Wirel. Propag. Lett. 2019, 18, 113–117. [Google Scholar] [CrossRef]
- He, F.; Si, K.; Li, R.; Zha, D.; Dong, J.; Miao, L.; Bie, X.; Jiang, J. Broadband Frequency Selective Surface Absorber with Dual-Section Step-Impedance Matching for Oblique Incidence Applications. IEEE Trans. Antennas Propag. 2021, 69, 7647–7657. [Google Scholar] [CrossRef]
- He, F.; Si, K.; Zha, D.; Li, R.; Zhang, Y.; Dong, J.; Miao, L.; Bie, S.; Jiang, J. Broadband Microwave Absorption Properties of a Frequency-Selective Surface Embedded in a Patterned Honeycomb Absorber. IEEE Trans. Electromagn. Compat. 2021, 63, 1290–1294. [Google Scholar] [CrossRef]
- Zhao, Y.; Li, S.; Jiang, Y.; Gu, C.; Liu, L.; Li, Z. An ultra-wideband and wide-angle optically transparent flexible microwave metamaterial absorber. J. Phys. D Appl. Phys. 2021, 54, 275101. [Google Scholar] [CrossRef]
- Chen, J.; Ding, W.; Li, X.; Xi, X.; Ye, K.; Wu, H.; Wu, R. Absorption and Diffusion Enabled Ultrathin Broadband Metamaterial Absorber Designed by Deep Neural Network and PSO. IEEE Antennas Wirel. Propag. Lett. 2021, 20, 1993–1997. [Google Scholar] [CrossRef]
- Rozanov, K.N. Ultimate thickness to bandwidth ratio of radar absorbers. IEEE Trans. Antennas Propag. 2000, 48, 1230–1234. [Google Scholar] [CrossRef]
- CST Studio Suite 3D EM Simulation and Analysis Software. Available online: https://www.3ds.com/products-services/simulia/products/cst-studio-suite/ (accessed on 1 November 2020).
- Kazemzadeh, A.; Karlsson, A. Multilayered Wideband Absorbers for Oblique Angle of Incidence. IEEE Trans. Antennas Propag. 2010, 58, 3637–3646. [Google Scholar] [CrossRef]
- Kazemzadeh, A. Nonmagnetic Ultrawideband Absorber with Optimal Thickness. IEEE Trans. Antennas Propag. 2011, 59, 135–140. [Google Scholar] [CrossRef]
- Yao, Z.; Xiao, S.; Wang, B. Study on an Accurate and Efficient Design Method of Resonant FSSs Based on the Macro-Model of Units in the Basic Strip-Gap FSS. IEEE Trans. Antennas Propag. 2021, 69, 2741–2750. [Google Scholar] [CrossRef]














| Parameters | Values (mm) | Parameters | Values (mm) |
|---|---|---|---|
| P | 10 | n | 1.9 |
| a | 9.1 | h1 | 5.5 |
| b | 0.25 | h2 | 0.175 |
| c | 0.25 | h3 | 1 |
| g | 0.3 | h4 | 1.5 |
| m | 0.8 | Sheet resistance | 36 Ω/sq |
| Ref. | 90%) | FBW(%) | Thickness (λL) | FSS Layer | Compensation Layer | 80%) |
|---|---|---|---|---|---|---|
| [11] | 2.0–23.0 | 168.0% | 0.10 | 3 | - | 45°/168.0% |
| [12] | 2.8–20.6 | 152.0% | 0.115 | 2 | - | 60°/130.0% |
| [13] | 0.45–2.34 | 135.5% | 0.069 | 1 | no | 30°/135.5% |
| [14] | 4.0–17.2 | 124.5% | 0.080 | 1 | no | 40°/110.0% |
| [15] | 2.3–13.3 | 141.0% | 0.138 | 1 | yes | 45°/107.5% |
| [17] | 5.6–29.2 | 135.5% | 0.091 | 1 | yes | 45°/135.5% |
| This work | 3.1–22.1 | 150.8% | 0.085 | 1 | yes | 45°/124.6% |
Disclaimer/Publisher’s Note: The statements, opinions and data contained in all publications are solely those of the individual author(s) and contributor(s) and not of MDPI and/or the editor(s). MDPI and/or the editor(s) disclaim responsibility for any injury to people or property resulting from any ideas, methods, instructions or products referred to in the content. |
© 2023 by the authors. Licensee MDPI, Basel, Switzerland. This article is an open access article distributed under the terms and conditions of the Creative Commons Attribution (CC BY) license (https://creativecommons.org/licenses/by/4.0/).
Share and Cite
Zhang, C.; Liu, S.; Ni, H.; Tan, R.; Liu, C.; Yan, L. An Angle-Stable Ultra-Wideband Single-Layer Frequency Selective Surface Absorber. Electronics 2023, 12, 3776. https://doi.org/10.3390/electronics12183776
Zhang C, Liu S, Ni H, Tan R, Liu C, Yan L. An Angle-Stable Ultra-Wideband Single-Layer Frequency Selective Surface Absorber. Electronics. 2023; 12(18):3776. https://doi.org/10.3390/electronics12183776
Chicago/Turabian StyleZhang, Chonghuan, Siyuan Liu, Haizhi Ni, Renxuan Tan, Changjun Liu, and Liping Yan. 2023. "An Angle-Stable Ultra-Wideband Single-Layer Frequency Selective Surface Absorber" Electronics 12, no. 18: 3776. https://doi.org/10.3390/electronics12183776
APA StyleZhang, C., Liu, S., Ni, H., Tan, R., Liu, C., & Yan, L. (2023). An Angle-Stable Ultra-Wideband Single-Layer Frequency Selective Surface Absorber. Electronics, 12(18), 3776. https://doi.org/10.3390/electronics12183776

