Next Article in Journal
Evaluating Efficiency of Connected and Autonomous Vehicles with Different Communication Topologies
Next Article in Special Issue
Open Source Software-Defined Networking Controllers—Operational and Security Issues
Previous Article in Journal
Development and Performance Analysis of an Atomic Layer Thermopile Sensor for Composite Heat Flux Testing in an Explosive Environment
 
 
Font Type:
Arial Georgia Verdana
Font Size:
Aa Aa Aa
Line Spacing:
Column Width:
Background:
Article

SWIPT Cooperative Protocol for Improving the Communication Quality of Cell-Edge Users in NOMA Network and Its Performance Analysis

1
School of Sciences, Lanzhou University of Technology, Lanzhou 730050, China
2
School of Electrical and Information Engineering, Lanzhou University of Technology, Lanzhou 730050, China
*
Authors to whom correspondence should be addressed.
Electronics 2023, 12(17), 3583; https://doi.org/10.3390/electronics12173583
Submission received: 25 July 2023 / Revised: 17 August 2023 / Accepted: 21 August 2023 / Published: 24 August 2023
(This article belongs to the Special Issue New Insight into Network Virtualization and Management)

Abstract

:
To solve the problems of complex energy supply and poor communication effect of cell-edge users, combining the advantages of simultaneous wireless information and power transfer (SWIPT) and collaborative non-orthogonal multiple access (CNOMA), two novel protocols are proposed. By employing the PS and TS strategies in SWIPT, respectively, two protocols are named: SWIPT-CNOMA-PS and SWIPT-CNOMA-TS. Based on the protocols, a new method for selecting relays is first established by considering two factors—energy state and channel condition. To further improve energy efficiency, the relay harvests the energy of the signal sent by the source and stores it. We establish a one-dimensional Markov chain with the energy state as the system state to analyze the variation of the relay energy. Exploiting the conservation equation, the probability of energy sufficiency of the node and outage probabilities of users are derived. Finally, the impact of the energy threshold and the number of relays on the outage probability of users is revealed. The protocol in this paper shows better performance than the OMA protocol when the transmit signal-to-noise ratio (SNR) is less than 14 dB and the protocol in the literature when the transmit SNR is less than 11 dB.

1. Introduction

Due to the large addition of the number of Internet access devices and the increasing requirements of users for higher wireless communication transmission rates and better service quality, spectrum resources are becoming increasingly scarce. In response, non-orthogonal multiple access (NOMA) has been applied to support a large number of devices [1]. The core thought of NOMA technology is superimposing multiple signals through power multiplexing technology at the transmitter, and realizing the correct separation of signals through successive interference cancellation (SIC) technology at the receiver. According to the power intensity of the user’s signal, the signal is decoded from the superposition signal at the receiver through SIC, i.e., the signal with strong power is decoded and removed first, and then the process is repeated until all the signals are decoded. A NOMA network model in downlink is shown in Figure 1. According to Figure 1, user 1 executes SIC. User 1 decodes user 2’s signal first, then removes it, and decodes their own signal. User 2 decodes their own signal by assuming user 1’s signal as interference. Moreover, compared with 4G communication technology, the increasingly mature 5G communication technology has increased the communication frequency but reduced the signal coverage, which leads to the conclusion that the communication quality of cell-edge users cannot reach the ideal state. To this end, researchers have proposed cooperative communication technology that uses relays to make the coverage of the base station signal larger, effectively enhancing the communication effect of cell-edge users [2]. Based on NOMA, the authors in [3] proposed a new strategy for power allocation and relay selection, which significantly improves the service quality of far users. In [4], the source node simultaneously communicates with two pairs of mobile users by an amplify-and-forward (AF) and half-duplex (HD) relay based on cooperative NOMA. The results demonstrate that NOMA provides greater spectral efficiency (SE) and fairness. In [5], a full-duplex (FD) NOMA-assisted protocol with cooperative spectrum sharing was proposed. The primary user is assisted by the secondary transmitter at the cell edge, and the full rate was achieved by using NOMA and cooperative multiplexing at the primary receiver. Multi-user cooperative non-orthogonal multiple access (CNOMA) was studied in [6], and a dynamic power allocation protocol for NOMA scenarios both in downlink and in uplink was studied in [7]. The proposed scheme can always obtain better user fairness and system performance than orthogonal multiple access (OMA). The above studies show that CNOMA technology can enhance spectral efficiency even more, particularly for users with worse channel conditions.
In addition to spectral efficiency, energy efficiency has also attracted much attention. In practical applications, devices that act as cooperative relays are usually powered by batteries, but replacing batteries in some complex environments is very difficult and expensive [8,9]. To satisfy the demands of the next wireless communication systems, we must find better sustainable energy sources or energy harvesting (EH) from other resources [10]. EH using natural sources is not as effective as expected due to the instability of environmental sources and the fact that most of the major EH techniques are only applicable to specific scenarios [11]. As a result, the vision of integrating wireless power transmission (WPT) with communication networks has created a demand that power and information can be transmitted to a terminal together. Thus, the conception termed simultaneous wireless information and power transfer (SWIPT) appeared first in [12]. On account of simultaneously transmitting power and information, SWIPT can generate significant gains from the aspect of spectral efficiency, power consumption, transmission delay, and interference management [13]. A fair cooperation scheme was advocated for in SWIPT-assisted downlink NOMA systems in [14]. In this scheme, the spatial randomness of user locations was considered, both users can be EH relays and outage probability of far and near users was derived. The authors considered a SWIPT-based CNOMA network in [15], where strong users harvested energy from the base station to help weak users to further improve throughput. In [16], the use of SWIPT in CNOMA heterogeneous networks was investigated. In this work, the cooperative users used the energy from the superimposed signals and the interference from neighboring base stations instead of only using the energy from the superimposed signals. It can be seen that SWIPT combined with CNOMA can be applied to many types of networks to further improve their performance.
Energy is harvested from signals using two main strategies: time switching (TS), where the TS relay separates the time into two segments for EH and information process (IP), and power splitting (PS), where the PS relay separates the incoming power into two parts [17]. The effect of EH in ARQ-based cooperative communication networks was examined in [18], where the decode-and-forward (DF) relay performed EH in RF signal from the source. The system throughput and outage probability under the TS strategy and PS strategy were derived by establishing a one-dimensional Markov chain. The performance of the DF relay system in [19] with direct links between the source and the destination was studied, and a dynamic PS scheme was proposed. The proposed dynamic PS system exhibits lower outage performance than the static PS system. An adaptive power allocation scheme for NOMA networks supporting FD cooperation under the TS protocol was studied in [20]. The proposed power allocation scheme involves the joint design of TS factors and imperfect successive interference cancellation (SIC). The scheme proposed significantly reduces outage probability and improves throughput of the FD-NOMA system supported by SWIPT. In [21], a TS-EH structure was studied, where the base station transmitted information to two users through a relay based on EH and a direct link. In [22], the far NOMA users communicated with the cooperation of an energy-constrained relay. In the TS and PS strategies, the outage performance of the CNOMA protocol was researched over a Nakagami-m channel. Three cooperative downlink transmission protocols with hybrid SWIPT and transmit antenna selection (TAS) techniques are proposed by authors in [23] to enhance the performance of edge users. The central user acted as the relay of the edge user, and the SWIPT protocol of the relay used a mix of PS and TS. It can be found that the system performance can be improved through the selection of relay cooperation mode and energy source or the reasonable design of PS and TS strategies.
The above literature shows the advantages of combining CNOMA and SWIPT, and the relevant studies mainly focus on power distribution and analysis of the performance that can be achieved by the system without considering the energy storage of the relay. Since RF signals provide uncertain and limited energy, it would be better for relays to store the energy in memory. Therefore, we will focus on the analysis of EH and storage. In order to study this problem, the model in [22] will be extended in this paper by replacing its single energy-constrained relay with multiple relays that do not require battery replacement. Based on the system model, we exhibit new protocols to improve the communication quality of cell-edge users while ensuring the communication quality of cell-center users. The protocol that includes CNOMA technology for information transmission and SWIPT technology for energy harvesting is termed the SWIPT-CNOMA protocol. The protocol that uses the PS strategy for energy harvesting is SWIPT-CNOMA-PS, while the protocol that uses the TS strategy for energy harvesting is SWIPT-CNOMA-TS. In addition, inspired by [6], we also establish a relay selection method based on energy more practically in the protocol in an attempt to find a more convenient and efficient EH relay cooperation method. By considering the EH and storage of nodes, a one-dimensional Markov chain with energy as the system state is established to analyze the probability of relay energy sufficiency, and the outage probabilities of users are further derived. The principal contributions of the paper are as follows:
  • A new SWIPT-CNOMA system model is established, and SWIPT-CNOMA-TS and SWIPT-CNOMA-PS protocols are raised for the model. In both protocols, NOMA and relay cooperation are applied to enhance the communication effect of edge users, while the power loss of the cell-center user in the first phase of NOMA transmission is compensated for by another transmission in the second phase, which takes into account the fairness between near and far users.
  • Based on the energy state and channel condition, a novel relay selection scheme is designed for the proposed protocol. The relay uses SWIPT technology for EH of the signal broadcast from the source with no other energy supply. By considering the energy state, we select candidate relays that can forward information, and then select the best relay for assisting cell-edge users in view of the channel conditions to further diminish the outage probability of a cell-edge user.
  • According to the relay selection scheme, a one-dimensional Markov chain with the energy state as the system state is established to analyze the energy profile of the node from which the steady-state probability of the relay’s energy state is obtained. Based on the outage probability of each link and the relay selection, the outage probabilities of users under the TS and PS protocols are calculated. Numerical results demonstrate that the proposed protocol shows lower outage probability than the protocol without an energy buffer, the OMA protocol at low transmit signal-to-noise ratio (SNR), and protocols at low transmit SNRs in the literature.
The remaining components of this paper are as follows: The system model is presented in Section 2. In Section 3, the proposed protocol in detail is elaborated upon, including the new relay selection scheme. In Section 4, performance analysis is given, where the Markov chain is established. The contents of Section 5 and Section 6 are numerical simulations and a summary, respectively.

2. System Model

In this section, a SWIPT-enabled CNOMA with coordinated direct and relay transmission system is taken into account. It incorporates a source S, a cell-center user ( U 1 ), M DF EH relays, and a cell-edge user ( U 2 ) who cannot communicate with S directly. As shown in Figure 2. M relays are deployed to meet the communication requirements of U 2 . Different from the traditional relay, we envision that the relay does not need to be recharged, but only relies on the harvested energy from the signal emitted by S for forwarding of information, and can store the energy by using rechargeable batteries. In this model, there is one antenna at the node and the channel state information (CSI) is known. Each Rayleigh fading channel is independent. Each node suffers an additive white Gaussian noise (AGWN) with a mean of 0 and variance σ 2 = 1 . The channel fading coefficient h s i between the source S and the relay is an independent complex Gaussian random variable with a mean of 0 and variance λ S R . In addition, the channel fading coefficient between source S and U 1 is denoted by h 1 C N 0 , λ 1 = d 1 v . Let the selected relay be R b , the channel coefficients between it and U 1 , U 2 are denoted by g i C N 0 , λ g i = d g i v , ( i = 1 , 2 ) , v is the path loss exponent, and d 1 , d g 1 and d g 2 denote the distance between S and U 1 , R and U 1 , R and U 2 , respectively. Without loss of generality, consider that h 1 2 > h b 2 , h S 1 2 < h S 2 2 < < h S M 2 .
Assume that the transmission process is completed in two phases and the whole transmission time is T . In phase 1, source S transmits the superimposed signal using the NOMA principle to U 1 and R. In phase 2, source S sends x 1 again to U 1 , while the best relay R b broadcasts x 2 to U 2 . The above system is referred to as a SWIPT-CNOMA system. For this system, the relay selection and protocol establishment will be discussed to solve the problems of poor communication effect of cell-edge users and the energy supply of the relay, and the effectiveness of the protocol will be tested by the outage probabilities of users.

3. SWIPT-CNOMA Protocol

In this section, two protocols called SWIPT-CNOMA-PS and SWIPT-CNOMA-TS are established based on the above network model to provide specifications for the relay selection and information transmission process. We first design the relay selection scheme to increase the signal coverage and make cell-edge users obtain communication opportunities. Then, the transmission process is designed based on the relay selection scheme, and the TS and PS strategies are applied to the relay to harvest energy, respectively, so as to establish two protocols to solve the energy consumption caused by information forwarding and to alleviate the energy supply pressure.

3.1. Relay Selection Scheme

Cooperative communication technology can enhance the reliability of the received signals for cell-edge users by using relays to forward the signals from the base station. Therefore, cooperative relaying can be employed in NOMA systems to further enhance spectrum utilization and system capacity. In this section, a new relay selection scheme is constructed for the protocol to better assist the communication of cell-edge users.
Before information transmission, each relay node examines its own energy state. If the energy is insufficient, it needs to harvest energy. The harvested energy at R i during the time interval of one transmission under the PS and TS strategies can be expressed as
E R i P S = 1 2 η ε P S h S i 2 T ,
E R i T S = η α P S T h S i 2 ,
where i = 1 , 2 , , M , P S is the transmit power of source S, ε is the power splitting coefficient, η is the energy conversion efficiency, α is the time switching coefficient of TS strategy, and 0 < ε , α , η < 1 .
Only nodes with sufficient energy can act as relays. The threshold value of sufficient energy is set as W Q , where Q represents the minimum unit of node energy storage and W is the threshold value when a node is able to forward information. Then, the set Φ of nodes that can act as relays to forward information can be expressed as
Φ = R i | e i W Q , i = 1 , 2 , , M .
The node with the best channel condition is chosen from Φ as the best relay node which is referred to as R b and is expressed as
b = arg max h s i 2 , i : R i Φ
The selection process of the best relay is shown in Algorithm 1.
Algorithm 1: Relay Selection
1: begin
2: input: the energy threshold value W , the minimum unit of node energy storage Q , the number of relays M
3: for  i from 1 to M
4:  if the energy consumption of R i   e i W Q  then
5:    R i Φ ;
6:  else
7:    R i will not be selected as relay;
8:  end
9: end
10: output: b = max i , i : R i Φ
11: end

3.2. SWIPT-CNOMA-PS

In the PS protocol, the source S sends information to U 1 and the relay during the first half of the total transmission time. The relay captures the energy of the signal from S , while the relay and U 1 process the information during this period. The signal is divided into two parts at the relay according to power ε P S , which is used for EH while 1 ε P S for IP. The other half of the transmission time is spent on information transmission from source S to U 1 and the relay node forwarding information to U 2 . The proposed protocol summary is presented in Figure 3.
In the first phase, S sends a superimposed signal x = a 1 P S x 1 + a 2 P S x 2 to relays and U 1 , where a 1 , a 2 and x 1 , x 2 are the power allocation factors and the data symbols, respectively, a 1 + a 2 = 1 , a 1 < a 2 .
The received signals at U 1 and the best relay R b are, respectively, given by
y U 1 1 = h 1 a 1 P S x 1 + a 2 P S x 2 + n 1 1 ,
y R b = h b a 1 P S x 1 + a 2 P S x 2 + n b ,
where n 1 1 and n b denote the AWGN at U 1 and R b , respectively.
In the PS strategy, there are two parts of the signal: one for EH and the other for IP through the power splitting coefficient. The received signal can be divided as follows:
y R b , E H = h b a 1 ε P s x 1 + a 2 ε P s x 2 + n b ,
y R b , I P = h b 1 ε a 1 P s x 1 + 1 ε a 2 P s x 2 + n b .
According to the NOMA principle, more power is allocated to the relay, so SIC is performed at U 1 . U 1 first decodes x 2 and then removes it. At U 1 , the signal-to-interference-plus-noise ratios (SINR) for decoding x 2 are
γ U 1 x 2 = h 1 2 a 2 ρ S h 1 2 a 1 ρ S + 1 .
Then, U 1 decodes x 1 , the received SINR at U 1 given by
γ U 1 x 1 = h 1 2 a 1 ρ S ,
where ρ S P S / σ 2 .
R b directly decodes x 2 , and the SINR of decoding x 2 at R b can be expressed as
γ R b , P S x 2 = h b 2 a 2 1 ε ρ S h b 2 a 1 1 ε ρ S + 1 .
In phase 2, the selected relay R b broadcasts x 2 to U 2 . The cell-center user is allocated less power and will be interfered with by the strong signal in the first phase, so it is reasonable to let S make another transmission to U 1 . At U 1 and U 2 , the received signals are given by
y U 1 2 = h 1 P S x 1 + g 1 P b P S x 2 + n 1 2 ,
y U 2 = g 2 P b P S x 2 + n 2 ,
where P b P S is the relay’s transmit power under the PS strategy, P b P S = 2 W Q / T . n 1 2 and n 2 denote the AWGN at U 1 , U 2 .
U 1 removes x 2 according to the side information of x 2 received in phase 1, and then decodes x 1 . The received SINR is given by
γ U 1 x 1 , 2 = h 1 2 ρ S .
The received SINR of decoding x 2 at U 2 is given by
γ U 2 = g 2 2 ρ P S ,
where ρ P S P b P S / σ 2 .

3.3. SWIPT-CNOMA-TS

In the TS protocol, α T is used for EH, while the first half of time 1 α T is spent on IP, and the second half is spent on forwarding information. The proposed protocol summary is presented in Figure 4.
In phase 1, the received signals at U 1 and R b are given by (5) and (6), and the SINR can be expressed as (9) and (10). The difference from PS is that the received signal at the relay does not need to be split under TS, so the SINR of R b is expressed as
γ R b , T S x 2 = h b 2 a 2 ρ S h b 2 a 1 ρ S + 1 .
In phase 2, the received signal can be given by (12) and (13), and the SINR is the same as (14). However, the transmit power of the relay has changed. The transmit power of the relay under TS is expressed as P b T S = 2 W Q / 1 α T . The received SINR of U 2 is expressed as
γ U 2 = g 2 2 ρ T S ,
where ρ T S P b T S / σ 2 .

4. Performance Analysis

We investigate the performance of the SWIPT-CNOMA-TS and SWIPT-CNOMA-TS protocols in this section. The outage probabilities of links are first calculated based on the received SINR to analyze the outage probabilities of users in the PS protocol. The outage probabilities of users are also analyzed for the TS protocol in the same way. Then, the energy storage state of the node is investigated. Taking the energy state of the relay as the system state, a one-dimensional Markov chain describing the energy state transition of the node is established. The steady-state probability representing the energy state and the probability of energy sufficiency of the node are obtained. Finally, the expressions of outage probabilities of U 1 and U 2 are derived.

4.1. Outage Probability Analysis

U 1 has the same outage probability under PS and TS strategies because it is not affected by the EH relay. The outage event of U 1 occurs when both transmissions fail in phase 1 and phase 2. Let γ t h 1 denote the target SINR of decoding x 1 ; the expression of outage probability of U 1 is
P o u t U 1 = 1 Pr γ U 1 x 2 γ t h 2 , γ U 1 x 1 , 1 γ t h 1 Pr γ U 1 x 1 , 2 γ t h 1             = 1 Pr h 1 2 a 2 P 1 h 1 2 a 1 P 1 + 1 γ t h 2 , h 1 2 a 1 P 1 γ t h 1 Pr h 1 2 P 1 γ t h 1             = 1 Pr h 1 2 γ t h 2 a 2 a 1 γ t h 2 P 1 τ , h 1 2 γ t h 1 a 1 P 1 β Pr h 1 2 γ t h 1 P 1             = 1 Pr h 1 2 θ = max τ , β Pr h 1 2 a 1 β             = Pr h 1 2 a 1 β = 0 a 1 β 1 λ 1 exp x λ 1 d x = 1 exp a 1 β λ 1 ,
where a 2 a 1 γ t h 2 > 0 .
Different from U 1 , U 2 will be affected by EH relay. Before the information transmission, the relay node will first check whether the energy is sufficient. Only when the energy is sufficient can the node be used as the candidate. Thus, the number of candidate relays is not fixed which is determined by the energy stored by the node. The outage probability of U 2 is expressed as follows according to the total probability theorem:
P o u t U 2 = Ω = 1 M Pr Φ = Ω P o u t U 2 , Ω ,
where Pr Φ = Ω denotes the probability that Ω out of M nodes have more energy than W Q and P o u t U i , Ω represents the probability of information transmission interruption after the relay node selection, which is determined by the relationship between the target transmission rate and system channel capacity.
The two terms of (19) will be evaluated separately in the following. P o u t U 2 , Ω is first computed. The best relay is selected with the maximal channel gain from Φ for U 2 . Exploiting order statistics, we obtain the Probability Density Function (PDF) of h b 2 as follows:
f h b 2 x = Ω λ S R k = 0 Ω 1 1 k Ω 1 k exp x k + 1 / λ S R .
The outage event of U 2 happens if the relay or U 2 are unsuccessful in decoding. Let γ t h 2 denote the target SINR of decoding x 2 ; the outage probability of U 2 under PS is expressed as
P o u t U 2 , Ω = 1 Pr γ R b x 2 γ t h 2 , γ U 2 γ t h 2                   = 1 Pr h b 2 a 2 1 ε P 1 h b 2 a 1 1 ε P 1 + 1 γ t h 2 , g 2 2 P 2 γ t h 2                   = 1 Pr h b 2 τ 1 ε , g 2 2 γ t h 2 P 2                   = 1 Ω λ S R λ g 2 k = 0 Ω 1 1 k Ω 1 k τ 1 ε + exp x k + 1 λ S R γ t h 2 P 2 + exp y λ g 2 d x d y                   = 1 Ω k = 0 Ω 1 1 k Ω 1 k 1 k + 1 exp τ k + 1 1 ε λ S R γ t h 2 λ g 2 ρ P S .
The outage probability of U 2 under TS is expressed as
P o u t U 2 , Ω = 1 Pr γ R b , T S x 2 γ t h 2 , γ U 2 γ t h 2                   = 1 Pr h b 2 a 2 ρ S h b 2 a 1 ρ S + 1 γ t h 2 , g 2 2 ρ T S γ t h 2                   = 1 Pr h b 2 τ , g 2 2 γ t h 2 ρ T S                   = 1 Ω k = 0 Ω 1 Ω 1 k 1 k 1 k + 1 exp τ k + 1 λ S R γ t h 2 λ g 2 ρ T S .
The probability of Pr Φ = Ω in (19) is calculated with the help of the Markov chain in the following.

4.2. Analysis of Node Energy Storage States

According to the model setting, the relay does not need to replace the battery and uses EH technology to meet the operation of its own function. Before the information transmission, the node checks its energy state. Only when the energy state meets the requirements can it be a candidate relay. The energy storage capacity of the relay is set to be infinite to simplify the analysis. When the energy of the node is less than W Q , which W is the energy threshold value when the node is able to forward information and Q is the minimum unit of the node’s energy storage, it is not enough to forward information and will continue to charge. When the energy of the node is greater than W Q , it can be used for forwarding information as a transmission relay to U 2 . If the node is selected, energy is subtracted W Q after the signal is forwarded. Thus, we model the energy state as a one-dimensional Markov chain with infinite states.
When s < W the node will not be selected as the relay. When the node collects more than Q energy at a time, the node will transfer from s to s + 1 . The probability is expressed as
P s , s + 1 = Pr E R i Q = Λ .
Substituting (1), (2) into the following equation, respectively, we can obtain
P s , s + 1 = Λ = exp 2 Q η ε P S T λ S R , E H   under   P S exp Q η α P S T λ S R , E H   under   T S .
When the energy collected by the node is insufficient, it will keep the original state.
P s , s = Pr E R i < Q = 1 Pr E R i Q = 1 Λ .
The node will be likely to be selected as the relay when s W . We consider the probability Pr R b = R i as 1 / M [6]. If the energy harvested by a node is greater than Q and the node is not selected as the relay, it will transfer from state s to s + 1 , and the probability is expressed as
P s , s + 1 = Pr E R i Q 1 Pr R b = R i = Λ 1 1 / M .
If the harvested energy of the node is greater than Q and the node is chosen as the relay, it will transfer from s to s W + 1 , and the transition probability is given as follows:
P s , s W + 1 = Pr E R i Q Pr R i = R b = Λ / M .
If the harvested energy of the node is less than Q and it is not selected as the relay, it stays in the original state. The transition probability is
P s , s = 1 Pr R b = R i 1 Pr E R i Q = 1 1 / M 1 Λ .
If the harvested energy is less than Q and the node is selected as the relay, the state transition probability from s to s W is
P s , s W = 1 Pr E R i Q Pr R b = R i = 1 Λ / M .
According to the above state transition probability analysis, the state transition process as shown in Figure 5, and the state transition matrix P can be obtained as
P = p 0 , 0 p 0 , 1 0 0 0 0 0 p 1 , 1 p 1 , 2 0 0 0 0 0 0 p W 1 , W 1 p W 1 , W 0 p W , 0 p W , 1 0 0 p W , W p W , W + 1 0 p W + 1 , 1 p W + 1 , 2 0 0 p W + 1 , W + 1 .
Let π = π 0 , π 1 , π 2 , denote the steady-state probability; the conservation equation of the Markov chain is given by
p 0 , 0 π 0 + p W , 0 π W = π 0 p 0 , 1 π 0 + p 1 , 1 π 1 + p W , 1 π W + p W + 1 , 1 π W + 1 = π 1 p W 2 , W 1 π W 2 + p W 1 , W 1 π W 1 + p 2 W 2 , W 1 π 2 W 2 + p 2 W 1 , W 1 π 2 W 1 = π W 1 p W 1 , W π W 1 + p W , W π W + p 2 W 1 , W π 2 W 1 + p 2 W , W π 2 W = π W .
According to the properties of the probability transition matrix:
p k , k W + p k , k W + 1 + p k , k + p k , k + 1 = 1 , k W ,
p k , k + p k , k + 1 = 1 , k < W .
Thus, the following can be obtained.
p k , k + 1 π k = p W , 0 j = 0 k π W + j + p W , 1 j = 0 k 1 π W + j , 0 k W 1 p 2 W + 1 , W + 1 j = 1 W π j + k + p 2 W + 1 , W + 2 j = 1 W 1 π j + k , k W
Adding all the terms on the left and right of the above equation, and since k = 1 + π k = 1 , π k k N is obtained. The probability that a node will be a candidate relay is equivalent to the probability that a node is in state s W . It can be given as follows:
Pr s W = k = W + π k = Λ M W ,
where Λ = Pr E R i Q .Thus, the probability that Ω relays out of M relays have sufficient energy can be obtained as
Pr Φ = Ω = M Ω Pr s W Ω 1 Pr s W M Ω ,
which follows a binomial distribution, where Φ = Ω indicates that the number of elements of the set Φ consisting of well-charged relay nodes is Ω , M Ω = M ! Ω ! M Ω ! means the binominal coefficient.

5. Numerical Analysis

In this section, to explore the influence of the energy threshold W and the number of relays M on the performance, we use MATLAB to numerically simulate the relationship between parameters and outage probability based on Equations (18) and (19). The proposed protocols are also compared with the case of OMA and the relay with no energy storage, respectively, to estimate the advantages of the protocol proposed. The main references for the simulation parameters considered in this section are [6,22]. In order to compare with the literature [22], similar parameters were considered. The reference to the remaining parameters related to energy storage is [6] because our scheme for storing energy is inspired by this. In addition, the minimum units of energy stored by the node are taken as Q P S = z P S T / 2 , Q T S = z P S α T , where z = 0.6 is the coefficient. The simulation parameters of the system we considered are summarized in Table 1.
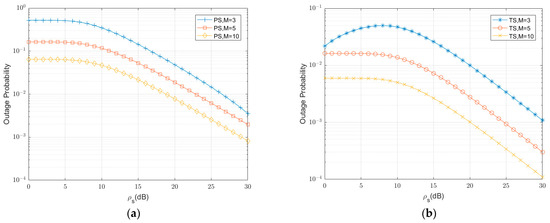
The outage probability of U 2 at different M in PS and TS protocols are compared, respectively, in Figure 6. With the rise of ρ S , the outage probability of U 2 descends in both PS and TS protocols. Moreover, the outage probability of U 2 declines as the number of relays M rises in both PS and TS protocols. According to Pr s W = k = W + π k = Λ M W (Equation (35) in this paper), the probability that a relay node is fully powered will increase when M increases, so the number of candidate nodes meeting the conditions for forwarding information will increase. That is, better relay cooperative communication can be achieved at this time. In addition, comparing Figure 6a with Figure 6b, the performance of the TS protocol is better than that of the PS protocol.
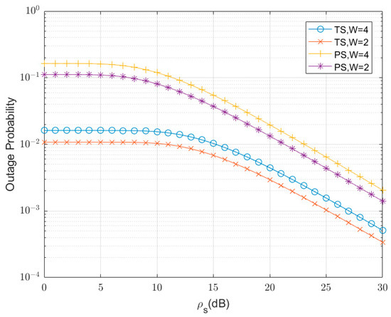
The relationship between the outage probability of U 2 and W in the PS protocol and the TS protocol at M = 5 is investigated in Figure 7. Then, the value of M is set to 5. The result shows that when W becomes smaller, the outage performance of U 2 improves regardless of the PS or TS protocol, because according to Pr s W = k = W + π k = Λ M W (Equation (35) in this paper), the probability that a relay node is fully powered will increase when W decreases. From the perspective of practical significance, when W becomes small, i.e., the threshold value that a node can forward information becomes small, the probability that a relay has sufficient energy becomes large, and there are more relays to choose for cooperation.
In Figure 8, we study the case that the relay with energy storage in our protocol is replaced by the relay without energy storage. The change tendency of the outage probability curve of U 2 is consistent with or without energy storage, i.e., with the rise of ρ S , the outage probability of U 2 declines. The outage probability of U 2 is decreased due to the rise in the transmit SNR of the source reduces the outage probability of each link. In the absence of energy storage, it is supposed that the relay only uses the energy harvested in previous times for forwarding. When a node is selected to forward information, it uses up its previously harvested energy, and the uncooperative node also resets its energy [18]. The result demonstrates that the proposed protocol with energy storage can improve the system’s performance.
The protocol is compared to the scenarios without NOMA in the following paragraphs. Similar to the transmission process in our protocol, the OMA protocol in Figure 9 is also divided into two phases. The main difference is that the two phases of transmission are S R ; R U 2 , S U 1 , respectively. In the OMA scenario, the signal received by U 1 in phase 2 is obtained as
y U 1 O M A = h 1 P S x 1 + g 1 P R x 2 + n R
and outage probability of U 1 is
P o u t U 1 , O M A = 1 1 λ g 1 exp γ t h 1 ρ S λ 1 a 2 + b 2
and outage probability of U 2 in OMA is
P o u t U 2 , Ω , P S = 1 Ω k = 0 Ω 1 1 k Ω 1 k 1 k + 1 exp γ t h 2 k + 1 ρ S λ S R 1 ε γ t h 2 ρ P S λ g 2
P o u t U 2 , Ω , T S = 1 Ω k = 0 Ω 1 1 k Ω 1 k 1 k + 1 exp γ t h 2 k + 1 ρ S λ S R γ t h 2 ρ T S λ g 2
In phase 2, U 1 will suffer interference from the relay, which makes the possibility of an outage event become larger, and greatly affects the communication quality of U 1 . However, in protocols proposed, U 1 can remove this interference at this phase according to the side information of x 2 obtained by the SIC process in the previous phase [22], thus reducing the outage probability of U 1 in phase 2. Thus, we can see the performance of our protocol is better for U 1 in Figure 9. For U 2 , when ρ S is less than approximately 14 dB, the performance of the protocol described in this paper is similar to that of the OMA scheme. However, when ρ S is greater than 14 dB, the gap will increase significantly, and the performance of this protocol is worse. The only difference in the outage probability expression between the two schemes is exp γ t h 2 k + 1 a 2 a 1 γ t h 2 ρ S λ S R 1 ε , (PS) and exp γ t h 2 k + 1 ρ S λ S R 1 ε , (OMA, PS), and
exp γ t h 2 k + 1 a 2 a 1 γ t h 2 ρ S λ S R 1 ε exp γ t h 2 k + 1 ρ S λ S R 1 ε , ρ S > 0 .
According to the character of the exponential function, this gap gets bigger as ρ S increases. The situation is similar for the TS protocol. The protocol in the paper reduces the outage probability of cell-edge user ( U 2 ) to some extent while ensuring the communication quality of cell-center user ( U 1 ).
The outage performances of the protocol in [22] and the protocol proposed are compared in Figure 10. U 1 performs better in our protocol than in [22] because the base station sends the information to U 1 again in phase 2. Because U 1 is not affected by the EH relay, the curves of the outage probability of U 1 under TS and PS coincide. Moreover, the TS protocol in our protocol is optimal for U 2 . It can also be found for U 2 that the performance of the PS protocol in this paper is better than the PS and TS protocol in [22] when ρ S is less than about 11 dB, and is worse when ρ S is greater than about 11 dB.
Finally, we can draw a common conclusion from all the numerical simulation figures, i.e., the SWIPT-CNOMA-TS protocol shows better performance than the SWIPT-CNOMA-PS protocol. According to Equation (19), there are two main factors affecting the outage probability of U 2 under two protocols—the storage of energy and the information decoding of each link. On the one hand, the probability that a relay node is fully powered is Pr s W = k = W + π k = Λ M W (Equation (35) in this paper), where Λ P S = exp 2 Q P S η ε P S T λ S R = exp z η ε λ S R , Λ T S = exp Q T S η α P S T λ S R = exp z η λ S R . The probability that a relay node is fully powered under the PS protocol is lower than the TS protocol because of Λ P S < Λ T S . Therefore, more nodes with sufficient power can choose to better cooperate under the TS protocol. On the other hand, in phase 1, the influence of the power division factor ε makes the outage probability of U 2 under the PS protocol higher. In phase 2, the lower relay transmission power makes the outage probability of U 2 under the PS protocol higher. To sum up, the SWIPT-CNOMA-TS protocol shows better performance than the SWIPT-CNOMA-PS protocol. The above analysis is briefly summarized in the following Table 2.

6. Conclusions

The outage performance of the SWIPT-CNOMA network is researched in this paper, and the steady-state probability is deduced by modeling the energy state of each relay with a one-dimensional infinite Markov chain. Then, the expression of each user’s outage probability in the TS protocol and PS protocol are derived, respectively. The SWIPT-CNOMA-TS protocol shows better performance than the SWIPT-CNOMA-PS protocol. With careful selection of network parameters, even though the relay does not use batteries to power the transmission, acceptable system performance can be ensured. In the next step, we want to introduce ARQ technology to further enhance the system reliability, and the case of limited energy storage will be considered.

Author Contributions

T.J. investigated the literature, established the mathematical models, designed algorithms, completed numerical simulations, was responsible for the original draft preparation, and edited the manuscript; S.L. conceived the research concepts, improved the systematic research and analysis methodology, and supervised the completion of the refinement of the paper; H.Y., R.G. and Q.Y. raised valuable suggestions for revision, checked equation deducing and English grammar. All authors have read and agreed to the published version of the manuscript.

Funding

This research was funded in part by the National Natural Science Foundation of China (61663024) and in part by the Hongliu First Class Discipline Development Project of Lanzhou University of Technology (25-225305).

Data Availability Statement

The data supporting this article are from previously reported studies and datasets, which have been cited.

Conflicts of Interest

The authors declare no conflict of interest.

References

  1. Ding, Z.; Liu, Y.; Choi, J.; Sun, Q.; Elkashlan, M.; Chih-Lin, I.; Poor, H.V. Application of non-orthogonal multiple access in LTE and 5G networks. IEEE Commun. Mag. 2017, 55, 185–191. [Google Scholar] [CrossRef]
  2. Hossain, M.A.; Noor, R.M.; Yau, K.L.A.; Ahmedy, I.; Anjum, S.S. A survey on simultaneous wireless information and power transfer with cooperative relay and future challenges. IEEE Access 2019, 7, 19166–19198. [Google Scholar] [CrossRef]
  3. Li, S.; Liang, W.; Pla, V.; Yang, S. Two-stage adaptive relay selection and power allocation strategy for cooperative CR-NOMA networks in underlay spectrum sharing. Appl. Sci. 2021, 11, 433. [Google Scholar] [CrossRef]
  4. Men, J.; Ge, J. Performance analysis of non-orthogonal multiple access in downlink cooperative network. IET Commun. 2015, 9, 2267–2273. [Google Scholar] [CrossRef]
  5. Dhanasekaran, S.; Chitra, M. Performance analysis of NOMA in full-duplex cooperative spectrum sharing systems. IEEE Trans. Veh. Technol. 2022, 71, 9095–9100. [Google Scholar] [CrossRef]
  6. Guo, W.; Wang, Y. Cooperative non-orthogonal multiple access with energy harvesting. Information 2017, 8, 111. [Google Scholar] [CrossRef]
  7. Yang, Z.; Ding, Z.; Fan, P.; Al-Dhahir, N. A general power allocation scheme to guarantee quality of service in downlink and uplink NOMA systems. IEEE Trans. Wirel. Commun. 2016, 15, 7244–7257. [Google Scholar] [CrossRef]
  8. Tao, R.; Salem, A.; Hamdi, K.A. Adaptive relaying protocol for wireless power transfer and information processing. IEEE Commun. Lett. A Publ. IEEE Commun. Soc. 2016, 20, 2027–2030. [Google Scholar] [CrossRef]
  9. Zhou, X.; Zhang, R.; Ho, C.K. Wireless information and power transfer: Architecture design and rate-energy tradeoff. IEEE Trans. Commun. 2013, 61, 4754–4767. [Google Scholar] [CrossRef]
  10. Perera, T.D.; Jayakody, D.; Sharma, S.K.; Chatzinotas, S.; Li, J. Simultaneous wireless information and power transfer (SWIPT): Recent advances and future challenges. IEEE Commun. Surv. Tutor. 2018, 20, 264–302. [Google Scholar] [CrossRef]
  11. Timotheou, S.; Krikidis, I.; Nikolaou, S.; Zheng, G.; Ng, D.W.K.; Schober, R. Simultaneous wireless information and power transfer in modern communication systems. IEEE Commun. Mag. 2014, 52, 104–110. [Google Scholar] [CrossRef]
  12. Varshney, L.R. Transporting information and energy simultaneously. In Proceedings of the 2008 IEEE International Symposium on Information Theory, Toronto, ON, Canada, 6–11 July 2008; pp. 1612–1616. [Google Scholar] [CrossRef]
  13. Ding, Z.; Zhong, C.; Ng, D.; Peng, M.; Poor, H.V. Application of smart antenna technologies in simultaneous wireless information and power transfer. IEEE Commun. Mag. 2015, 53, 86–93. [Google Scholar] [CrossRef]
  14. Ren, Y.; Ren, B.; Zhang, X.; Lu, G. Impartial cooperation design in downlink NOMA systems with SWIPT. In Proceedings of the 2022 IEEE/CIC International Conference on Communications in China (ICCC Workshops), Foshan, China, 11–13 August 2022; pp. 36–41. [Google Scholar] [CrossRef]
  15. Liu, Y.; Ding, Z.; Elkashlan, M.; Poor, H.V. Cooperative non-orthogonal multiple access with simultaneous wireless information and power transfer. IEEE J. Sel. Areas Commun. 2016, 34, 938–953. [Google Scholar] [CrossRef]
  16. Parihar, A.S.; Swami, P.; Bhatia, V.; Ding, Z. Performance analysis of SWIPT enabled cooperative-NOMA in heterogeneous networks using carrier sensing. IEEE Trans. Veh. Technol. 2021, 70, 10646–10656. [Google Scholar] [CrossRef]
  17. Nasir, A.A.; Zhou, X.; Ding, S.; Kennedy, R.A. Relaying protocols for wireless energy harvesting and information processing. IEEE Trans. Wirel. Commun. 2013, 12, 3622–3636. [Google Scholar] [CrossRef]
  18. Özgün, E.; Aygölü, Ü. Energy harvesting in ARQ-based cooperative broadcast and NOMA networks. Wirel. Netw. 2022. [Google Scholar] [CrossRef]
  19. Ye, Y.; Li, Y.; Zhou, F.; Al-Dhahir, N.; Zhang, H.J.I.S.J. Power splitting based SWIPT with dual-hop DF relaying in the presence of a direct link. IEEE Syst. J. 2018, 13, 1316–1319. [Google Scholar] [CrossRef]
  20. Kurup, R.R.; Babu, A.V.J.I.C.L. Power adaptation for improving the performance of time switching SWIPT based full duplex cooperative NOMA network. IEEE Commun. Lett. 2020, 24, 2956–2960. [Google Scholar] [CrossRef]
  21. Rauniyar, A.; Engelstad, P.; Sterb, O.N. Capacity enhancement of NOMA-SWIPT IoT relay system with direct links over Rayleigh fading channels. Trans. Emerg. Telecommun. Technol. 2020, 31, e3913. [Google Scholar] [CrossRef]
  22. Kader, M.F.; Uddin, M.B.; Abhi, A.I.; Shin, S.Y. Cooperative non-orthogonal multiple access with SWIPT over Nakagami-m fading channels. Trans. Emerg. Telecommun. Technol. 2019, 30, e3571. [Google Scholar] [CrossRef]
  23. Do, T.N.; da Costa, D.B.; Duong, T.Q.; An, B. Networking. Improving the performance of cell-edge users in MISO-NOMA systems using TAS and SWIPT-based cooperative transmissions. IEEE Trans. Green Commun. Netw. 2018, 2, 49–62. [Google Scholar] [CrossRef]
Figure 1. NOMA network model in the downlink.
Figure 1. NOMA network model in the downlink.
Electronics 12 03583 g001
Figure 2. Proposed SWIPT-CNOMA network model.
Figure 2. Proposed SWIPT-CNOMA network model.
Electronics 12 03583 g002
Figure 3. SWIPT-CNOMA-PS.
Figure 3. SWIPT-CNOMA-PS.
Electronics 12 03583 g003
Figure 4. SWIPT-CNOMA-TS.
Figure 4. SWIPT-CNOMA-TS.
Electronics 12 03583 g004
Figure 5. A one-dimensional Markov chain for the power state transition of nodes ( Q = 1 ).
Figure 5. A one-dimensional Markov chain for the power state transition of nodes ( Q = 1 ).
Electronics 12 03583 g005
Figure 6. (a) Outage probabilities comparison of U 2 under different M in PS protocol; (b) Outage probabilities comparison of U 2 under different M in TS protocol.
Figure 6. (a) Outage probabilities comparison of U 2 under different M in PS protocol; (b) Outage probabilities comparison of U 2 under different M in TS protocol.
Electronics 12 03583 g006
Figure 7. Outage probability of U 2 for different W under PS and TS.
Figure 7. Outage probability of U 2 for different W under PS and TS.
Electronics 12 03583 g007
Figure 8. Outage probability of U 2 with and without energy storage at the relay.
Figure 8. Outage probability of U 2 with and without energy storage at the relay.
Electronics 12 03583 g008
Figure 9. Outage probability of U 2 when utilizing NOMA and OMA.
Figure 9. Outage probability of U 2 when utilizing NOMA and OMA.
Electronics 12 03583 g009
Figure 10. Comparison of user’s outage probability between the protocol in the paper and in [22].
Figure 10. Comparison of user’s outage probability between the protocol in the paper and in [22].
Electronics 12 03583 g010
Table 1. Parameter table.
Table 1. Parameter table.
ParametersValue
Energy threshold W = 4
AWGN Power σ 2 = 1
Target SINR γ t h 1 = 1.3 , γ t h 2 = 2
Power allocation coefficient for NOMA a 1 = 0.1 , a 2 = 0.9
Time switching factor α = 0.5
Power splitting factor ε = 0.6
Distance between nodes d 1 = 0.8 , d g 1 = d g 2 = 0.5
Energy conversion efficiency η = 1
Table 2. Comparison of outrage probability of users under two protocols.
Table 2. Comparison of outrage probability of users under two protocols.
U 1 U 2
SWIPT-CNOMA-PS P o u t U 1 = 1 exp a 1 β λ 1 P o u t U 2 = Ω = 1 M Pr Φ = Ω 1 Ω k = 0 Ω 1 1 k Ω 1 k 1 k + 1 exp τ k + 1 1 ε λ S R γ t h 2 λ g 2 ρ P S
SWIPT-CNOMA-TS P o u t U 1 = 1 exp a 1 β λ 1 P o u t U 2 = Ω = 1 M Pr Φ = Ω 1 Ω k = 0 Ω 1 1 k Ω 1 k 1 k + 1 exp τ k + 1 λ S R γ t h 2 λ g 2 ρ T S
ComparisonSameThe performance of SWIPT-CNOMA-TS is better.
Reason U 1 is not affected by EH relay.SWIPT-CNOMA-TS shows better performance in EH, information decoding and relay transmission power.
Disclaimer/Publisher’s Note: The statements, opinions and data contained in all publications are solely those of the individual author(s) and contributor(s) and not of MDPI and/or the editor(s). MDPI and/or the editor(s) disclaim responsibility for any injury to people or property resulting from any ideas, methods, instructions or products referred to in the content.

Share and Cite

MDPI and ACS Style

Li, S.; Jia, T.; Yang, H.; Gao, R.; Yang, Q. SWIPT Cooperative Protocol for Improving the Communication Quality of Cell-Edge Users in NOMA Network and Its Performance Analysis. Electronics 2023, 12, 3583. https://doi.org/10.3390/electronics12173583

AMA Style

Li S, Jia T, Yang H, Gao R, Yang Q. SWIPT Cooperative Protocol for Improving the Communication Quality of Cell-Edge Users in NOMA Network and Its Performance Analysis. Electronics. 2023; 12(17):3583. https://doi.org/10.3390/electronics12173583

Chicago/Turabian Style

Li, Suoping, Tongtong Jia, Hailing Yang, Ruiman Gao, and Qian Yang. 2023. "SWIPT Cooperative Protocol for Improving the Communication Quality of Cell-Edge Users in NOMA Network and Its Performance Analysis" Electronics 12, no. 17: 3583. https://doi.org/10.3390/electronics12173583

APA Style

Li, S., Jia, T., Yang, H., Gao, R., & Yang, Q. (2023). SWIPT Cooperative Protocol for Improving the Communication Quality of Cell-Edge Users in NOMA Network and Its Performance Analysis. Electronics, 12(17), 3583. https://doi.org/10.3390/electronics12173583

Note that from the first issue of 2016, this journal uses article numbers instead of page numbers. See further details here.

Article Metrics

Back to TopTop