A Lifetime Improvement Active Thermal Control Strategy for Wind Turbine Parallel Converters Based on Reactive Circulating Current
Abstract
1. Introduction
2. Thermal and Failure Model of Power Semiconductors
2.1. Power Loss Calculation
2.2. Junction Temperature Calculation
2.3. Accumulation Damage Calculation
3. Reactive Circulating Current in Paralleled Wind Power Converters
3.1. Control System of the Parallel Converter
3.2. Reactive Circulating Current
4. Active Thermal Control in Paralleled Wind Power Converters
5. Case Study
5.1. Analysis of the Suppression Effect of Junction Temperature Fluctuation in Short Term
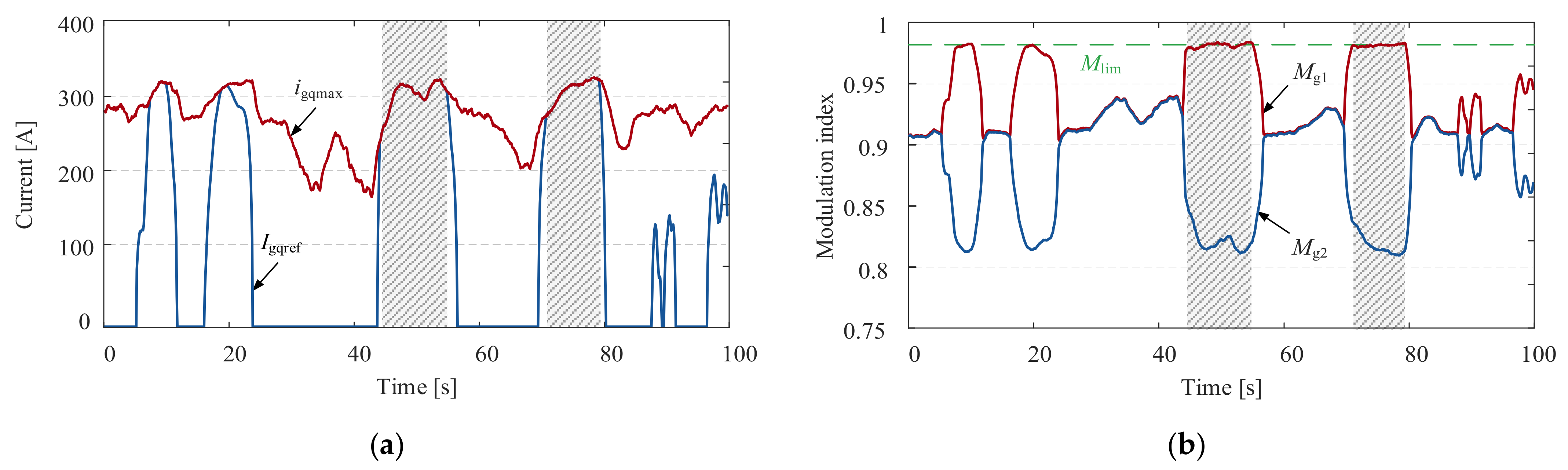
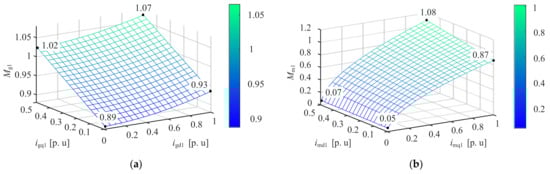
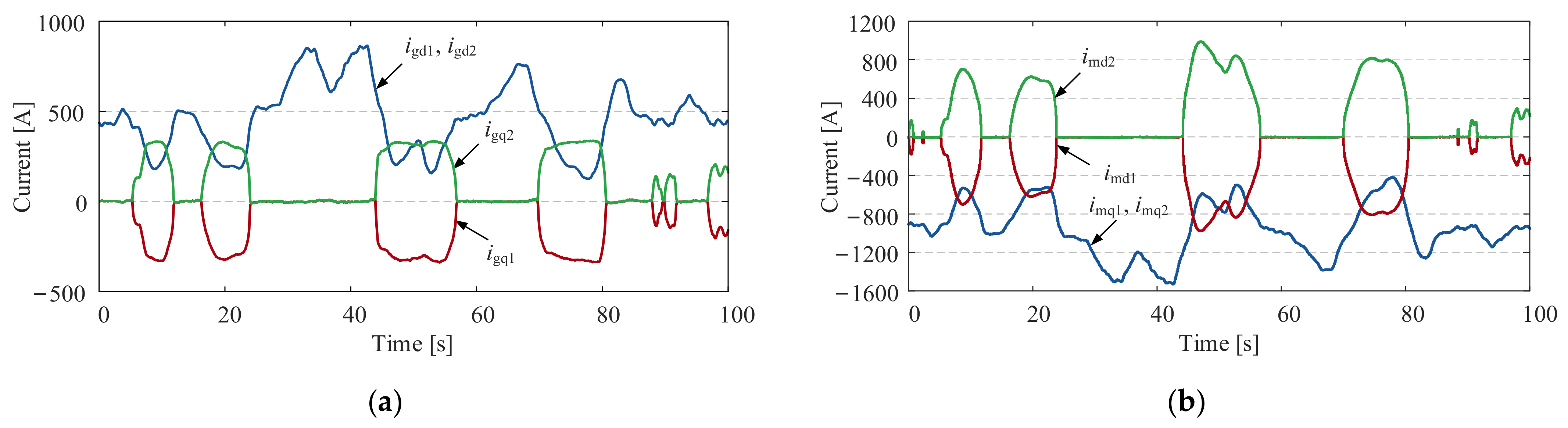
5.2. Analysis of the Limitation Effect of Overexcited Operation Converter Modulation Index
5.3. Analysis of the Reduction Effect of Accumulation Damage in Long Term
6. Conclusions
Author Contributions
Funding
Data Availability Statement
Conflicts of Interest
References
- Blaabjerg, F.; Liserre, M.; Ma, K. Power Electronics Converters for Wind Turbine Systems. IEEE Trans. Ind. Appl. 2011, 48, 708–719. [Google Scholar] [CrossRef]
- Chen, Y.; Wang, L.; Liu, S.; Wang, G. A Health-Oriented Power Control Strategy of Direct Drive Wind Turbine. IEEE Trans. Power Deliv. 2021, 37, 1324–1335. [Google Scholar] [CrossRef]
- Wang, H.; Blaabjerg, F.; Ma, K.; Wu, R. Design for reliability in power electronics in renewable energy systems—status and future. In Proceedings of the 4th International conference on Power Engineering, Energy and Electrical Drives, Istanbul, Turkey, 13–17 May 2013; pp. 1846–1851. [Google Scholar] [CrossRef]
- Andresen, M.; Ma, K.; Buticchi, G.; Falck, J.; Blaabjerg, F.; Liserre, M. Junction Temperature Control for More Reliable Power Electronics. IEEE Trans. Power Electron. 2017, 33, 765–776. [Google Scholar] [CrossRef]
- Kuprat, J.; van der Broeck, C.H.; Andresen, M.; Kalker, S.; Liserre, M.; De Doncker, R.W. Research on Active Thermal Control: Actual Status and Future Trends. IEEE J. Emerg. Sel. Top. Power Electron. 2021, 9, 6494–6506. [Google Scholar] [CrossRef]
- Van der Broeck, C.H.; Ruppert, L.A.; Lorenz, R.D.; De Doncker, R.W. Methodology for Active Thermal Cycle Reduction of Power Electronic Modules. IEEE Trans. Power Electron. 2018, 34, 8213–8229. [Google Scholar] [CrossRef]
- Van der Broeck, C.H.; Ruppert, L.A.; Lorenz, R.D.; De Doncker, R.W. Active thermal cycle reduction of power modules via gate resistance manipulation. In Proceedings of the 2018 IEEE Applied Power Electronics Conference and Exposition (APEC), San Antonio, TX, USA, 4–8 March 2018. [Google Scholar]
- Kaczorowski, D.; Michalak, B.; Mertens, A. A novel thermal management algorithm for improved lifetime and overload capabilities of traction converters. In Proceedings of the 2015 17th European Conference on Power Electronics and Applications (EPE’15 ECCE-Europe), Geneva, Switzerland, 8–10 September 2015. [Google Scholar]
- Zhang, J.; Du, X.; Qian, C. Lifetime improvement for wind power generation system based on optimal effectiveness of thermal management. Appl. Energ. 2021, 286, 116476. [Google Scholar] [CrossRef]
- Korompili, A.; Wu, Q.; Zhao, H. Review of VSC HVDC connection for offshore wind power integration. Renew. Sust. Energ. Rev. 2016, 59, 1405–1414. [Google Scholar] [CrossRef]
- Ko, Y.; Andresen, M.; Buticchi, G.; Liserre, M. Discontinuous-Modulation-Based Active Thermal Control of Power Electronic Modules in Wind Farms. IEEE Trans. Power Electron. 2018, 34, 301–310. [Google Scholar] [CrossRef]
- Ma, K.; Liserre, M.; Blaabjerg, F. Reactive power influence on the thermal cycling of multi-MW wind power inverter. In Proceedings of the 2012 Twenty-Seventh Annual IEEE Applied Power Electronics Conference and Exposition (APEC), Orlando, FL, USA, 5–9 February 2012. [Google Scholar]
- Zhang, J.; Li, Y.; Wang, H.; Cai, X.; Igarashi, S.; Wang, Z. Thermal smooth control based on orthogonal circulating current for multi-MW parallel wind power converter. In Proceedings of the 2014 International Power Electronics and Application Conference and Exposition, Shanghai, China, 5–8 November 2014; pp. 146–151. [Google Scholar] [CrossRef]
- Zhang, J.; Wang, J.; Cai, X. Active Thermal Control-Based Anticondensation Strategy in Paralleled Wind Power Converters by Adjusting Reactive Circulating Current. IEEE J. Emerg. Sel. Top. Power Electron. 2017, 6, 277–291. [Google Scholar] [CrossRef]
- Bakhshizadeh, M.K.; Ma, K.; Loh, P.C.; Blaabjerg, F. Indirect thermal control for improved reliability of Modular Multilevel Converter by utilizing circulating current. In Proceedings of the 2015 IEEE Applied Power Electronics Conference and Exposition (APEC), Charlotte, NC, USA, 15–19 March 2015; pp. 2167–2173. [Google Scholar] [CrossRef]
- Niu, H.; Lorenz, R.D. Evaluating Different Implementations of Online Junction Temperature Sensing for Switching Power Semiconductors. IEEE Trans. Ind. Appl. 2016, 53, 391–401. [Google Scholar] [CrossRef]
- Wang, B.; Cai, J.; Du, X.; Zhou, L. Review of power semiconductor device reliability for power converters. CPSS TPEA 2017, 2, 101–117. [Google Scholar] [CrossRef]
- Wang, H.; Khambadkone, A.M.; Yu, X. Control of Parallel Connected Power Converters for Low Voltage Microgrid—Part II: Dynamic Electrothermal Modeling. IEEE Trans. Power Electron. 2010, 25, 2971–2980. [Google Scholar] [CrossRef]
- Li, G.; Du, X.; Sun, P.; Zhou, L.; Tai, H.M. Numerical IGBT junction temperature calculation method for lifetime estimation of power semiconductors in the wind power converters. In Proceedings of the 2014 International Power Electronics and Application Conference and Exposition, Shanghai, China, 5–8 November 2014. [Google Scholar]
- Ma, K.; Bahman, A.S.; Beczkowski, S.; Blaabjerg, F. Complete Loss and Thermal Model of Power Semiconductors Including Device Rating Information. IEEE Trans. Power Electron. 2014, 30, 2556–2569. [Google Scholar] [CrossRef]
- Alhmoud, L. Reliability Improvement for a High-Power IGBT in Wind Energy Applications. IEEE Trans. Ind. Electron. 2018, 65, 7129–7137. [Google Scholar] [CrossRef]
- Website of Infineon, Infineon IGBT Module Datasheet (FF900R12IE4). Available online: http://www.infineon.com (accessed on 12 June 2023).
- Website of Infineon, Infineon Power Module Selector and Simulator (IPOSIM). Available online: http://iposim.infineon.com (accessed on 12 June 2023).
- Li, H.; Liu, S.; Li, Y.; Hu, Y.; Qin, X.; Ran, L. Power cycling capabilities assessment of IGBT modules in wind power converter considering the wind turbulence effects. In Proceedings of the 2014 International Power Electronics and Application Conference and Exposition, Shanghai, China, 5–8 November 2014; pp. 30–34. [Google Scholar] [CrossRef]
- Huang, H.; Mawby, P.A. A Lifetime Estimation Technique for Voltage Source Inverters. IEEE Trans. Power Electron. 2012, 28, 4113–4119. [Google Scholar] [CrossRef]
- Porkia, H.A.; Adabi, J.; Zare, F. Reduction of Zero-Sequence and Differential-Mode Circulating Currents and Common-Mode Voltage in Parallel PWM Converters. IEEE Trans. Ind. Electron. 2022, 70, 4038–4047. [Google Scholar] [CrossRef]
- Altın, M.; Göksu, Ö.; Teodorescu, R.; Rodriguez, P.; Jensen, B.B.; Helle, L. Overview of recent grid codes for wind power integration. In Proceedings of the 2010 12th International Conference on Optimization of Electrical and Electronic Equipment, Brasov, Romania, 20–22 May 2010. [Google Scholar]
- Baygildina, E.; Peltoniemi, P.; Pyrhönen, O.; Ma, K.; Blaabjerg, F. Thermal loading of wind power converter considering dynamics of wind speed. In Proceedings of the IECON 2013—39th Annual Conference of the IEEE Industrial Electronics Society, Vienna, Austria, 10–13 November 2013. [Google Scholar]
- Liserre, M.; Buticchi, G.; Leon, J.I.; Alcaide, A.M.; Raveendran, V.; Ko, Y.; Andresen, M.; Monopoli, V.G.; Franquelo, L. Power Routing: A New Paradigm for Maintenance Scheduling. IEEE Ind. Electron. Mag. 2020, 14, 33–45. [Google Scholar] [CrossRef]
















| Category | IGBT | Category | Diode |
|---|---|---|---|
| aTc | −1.4971 × 10−3 | aDc | −2.1134 × 10−3 |
| bTc | 1.0267 | bDc | 1.2328 |
| cTc | 4.3304 × 10−6 | cDc | 1.2326 × 10−6 |
| dTc | 7.3411 × 10−4 | dDc | 7.0473 × 10−4 |
| aTs | 2.4367 × 10−8 | aDs | 1.4228 × 10−8 |
| bTs | −1.0826 × 10−5 | bDs | −6.4718 × 10−5 |
| cTs | 0.1905 | cDs | 0.1218 |
| dTs | 14.3531 | dDs | 12.0828 |
| TCTsw | 0.00315 | TCDsw | 0.0044 |
| Category | IGBT | Diode | Category | IGBT | Diode |
|---|---|---|---|---|---|
| Rjci(K/kW) | 1.2 | 4.5 | τjci(s) | 0.0008 | |
| 6 | 12.7 | 0.013 | |||
| 20 | 35.4 | 0.05 | |||
| 2.3 | 0.9 | 0.6 | |||
| Rch(K/kW) | 14 | 25.5 | τch(s) | 1 | |
| Rha(K/W) | 0.078 | τha(s) | 30 | ||
| Parameter | Value |
|---|---|
| Rated output active power | 2 MW |
| Switching frequency, fsw | 2 kHz |
| DC bus voltage, Udc | 1100 V |
| Grid voltage, line-to-line | 690 V |
| Grid-side filter equivalent inductance, Lg | 0.55 mH |
| Grid-side filter equivalent resistance, Rg | 5 mOhm |
| Stator resistance, Rs | 15 mOhm |
| Stator q-axis equivalent inductance, Lq | 0.35 mH |
| Rotor permanent magnet flux linkage, ψf | 3.33 Wb |
| Machine-side filter equivalent inductance, Lm | 0.96 mH |
| Machine-side filter equivalent resistance, Rm | 8 mOhm |
| Category | without ATC | with ATC | |
|---|---|---|---|
| GSC IGBT | Number of cycles | 13,984 | 7768 |
| Accumulation damage | 1.2304 × 10−6 | 1.9779 × 10−7 | |
| MSC diode | Number of cycles | 23,735 | 14,750 |
| Accumulation damage | 7.2315 × 10−6 | 6.096 × 10−6 |
Disclaimer/Publisher’s Note: The statements, opinions and data contained in all publications are solely those of the individual author(s) and contributor(s) and not of MDPI and/or the editor(s). MDPI and/or the editor(s) disclaim responsibility for any injury to people or property resulting from any ideas, methods, instructions or products referred to in the content. |
© 2023 by the authors. Licensee MDPI, Basel, Switzerland. This article is an open access article distributed under the terms and conditions of the Creative Commons Attribution (CC BY) license (https://creativecommons.org/licenses/by/4.0/).
Share and Cite
Wang, Q.; Liu, J.; Wu, P.; Qin, X. A Lifetime Improvement Active Thermal Control Strategy for Wind Turbine Parallel Converters Based on Reactive Circulating Current. Electronics 2023, 12, 3125. https://doi.org/10.3390/electronics12143125
Wang Q, Liu J, Wu P, Qin X. A Lifetime Improvement Active Thermal Control Strategy for Wind Turbine Parallel Converters Based on Reactive Circulating Current. Electronics. 2023; 12(14):3125. https://doi.org/10.3390/electronics12143125
Chicago/Turabian StyleWang, Qichao, Jun Liu, Peidong Wu, and Xiaoying Qin. 2023. "A Lifetime Improvement Active Thermal Control Strategy for Wind Turbine Parallel Converters Based on Reactive Circulating Current" Electronics 12, no. 14: 3125. https://doi.org/10.3390/electronics12143125
APA StyleWang, Q., Liu, J., Wu, P., & Qin, X. (2023). A Lifetime Improvement Active Thermal Control Strategy for Wind Turbine Parallel Converters Based on Reactive Circulating Current. Electronics, 12(14), 3125. https://doi.org/10.3390/electronics12143125

