Sparse Tiled Planar Array: The Shared Multibeam Aperture for Millimeter-Wave Joint Communication and Sensing
Abstract
1. Introduction
1.1. State-of-the-Art of Large Antenna Array for Communication or Sensing
1.1.1. Array Tiling
1.1.2. Sparse Modular Subarray
1.2. The Contributions of This Paper
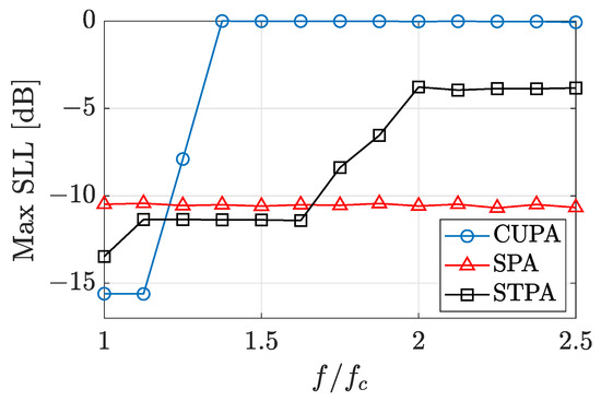
- Array configuration: In the literature, a JCAS array is communication-centric, as a CUPA is employed in the TDD-downlink [23] or TDD-uplink [25] JCAS. Knowing that a CUPA has a larger beamwidth and is not optimal for sensing, in this paper, an STPA is proposed for JCAS at the BS since a narrow beamwidth of the transmit beam (in TDD-downlink) or receive beam (in TDD-uplink) is required for proper AoA estimation in sensing. This narrow beamwidth is profitable for increasing the number of beams for multi-user communication as well. The numerical results are provided for the duration of TDD-downlink, however, STPA can be adopted for TDD-uplink and monostatic sensing at the BS by the method in Ref. [26]. Considering the large bandwidth in JCAS at, e.g., 5G NR FR2, the irregularity introduced by tiling and sparse subarray geometries, compared to the conventional uniform arrays, results in a low SLL in the radiation pattern over a larger frequency band [27]. The numerical results show that STPA has a proper SLL when the frequency is scaled up to 1.625 times the desired frequency of operation, which results in a 42% increase in the operational frequency of the array compared to the CUPA. A comparison of STPA to SPA shows that SPA is applicable for a wider band, although with slightly higher SLL and more irregularity in the aperture. However, the STPA is uniform array at the subarray level, making it easier to maunfacture compared to SPA.
- Sensing performance: The angular resolution of the JCAS aperture is improved by suitable adjustment of tiling and sparse design. As stated in Ref. [11], the tiled array has the benefits of modular design and lower SLL in wider scanning angles compared to a solely sparse design. The narrow beamwidth of the proposed STPA compared to CUPA ensures illuminating and receiving from only the desired angle during TDD-downlink and TDD-uplink monostatic sensing at the BS, respectively. The narrow beamwidth is achieved at the cost of a higher SLL compared to a CUPA, and the effect of this drawback is observed in the resulting error in the detection accuracy of targets.
- JCAS performance: The narrow beamwidth of STPA is beneficial for decreasing the blockage time in a JCAS scenario, since the spectral efficiency is dropped when the blocker reaches the narrower communication beam, i.e., we show in a JCAS scenario that if a tracked target moves towards the boresight of aperture and blocks the communication link, the designed STPA can have a shorter blockage time than a CUPA.
2. Proposed STPA Configuration for JCAS, Its Design Pipeline, and Performance
2.1. Intro: JCAS Architecture and Protocol
2.2. Proposed STPA and Its Design Pipeline
2.2.1. Design Objective for JCAS and the Proposed STPA
2.2.2. Design Pipeline
- Step 1: Global scale tiling. Initially, a large CUPA is tiled for the minimum SLLs in the radiation pattern. The tiling problem is formulated based on maximum entropy in the distribution of the phase centers of the tiles in the array. In the schematic aperture shown in Figure 2, assume that antennas of JCAS aperture are grouped in tiles and fed by power dividers. The center of mass of such a tile could be considered as the center of phase for radiation from the whole tile. The irregularity in the distributions of these phase centers is measured with an information-theoretic entropy-based objective function, i.e., if the entropy of the phase centers at each row and column of the aperture is maximized, then the resulting phased array aperture has a desired SLL while scanning. To obtain more mathematical insight into tiling based on the maximum entropy, refer to Ref. [28].
- Step 2: Local scale subarray irregularity. The resultant tiled array can still be thinned by grouping some tiles in subarrays and removing others. A subarray is determined by a circle circumventing its tiles. The centers of these circles (subarrays) are obtained by the geometry of the sunflower array since the positions of elements are controllable, although it is an aperiodic sparse array (see Appendix A). Essentially, other deterministic sparse arrays, e.g., the circular array, could be utilized since this only performs as an initialization for the next convex optimization [29]. The radius of a circle is a thinning parameter for the aperture, which can be tuned to reach the desired SLL with a minimum number of tiles. It is assumed that the phase centers of tiles are still distributed with a maximum entropy after thinning of the aperture, but the inter-distances among subarrays increases the SLL, however, the resultant empty space between subarrays can be exploited to optimize the location of subarrays efficiently to decrease the SLL (see Appendix B).
2.2.3. Expanded Beam Pattern
2.3. JCAS Scenarios and Performance Metrics
2.3.1. JCAS Scenario 1: Non-Overlapping Communication and Sensing Beam Directions
- Range-Doppler Estimates. To estimate the range-Doppler of targets, first is removed from the received signal and then the inverse fast Fourier transform (IFFT) and fast Fourier transform (FFT) are applied [23] as:where is the range-Doppler profile when scanning the angle indexed by .
- Angular estimates. The angle estimation is based on beamforming through weighting vector . As the sensing is in the scanning mode, the Cramér–Rao lower bound (CRLB) for the angle estimation of is [10]:where is the 3 dB-beamwidth of the radiation pattern of the array, which is assumed to be constant for all the angles s in FoV, and is the signal-to-noise ratio defined by (10) according to (9).
2.3.2. JCAS Scenario 2: Overlapping Communication and Sensing Beams When the UE Blocks the Sensing Target
2.3.3. JCAS Scenario 3: Overlapping Communication and Sensing Beams When the Sensing Target Blocks the UE
3. Numerical Analysis
3.1. JCAS STPA—A Design Example
3.1.1. Robustness of STPA to Wideband Operation
3.1.2. Practical STPA Design
3.2. STPA Performances in JCAS Scenarios and Benchmarking
3.2.1. Communication Performance in Scenario 1: Non-Overlapping Communication and Sensing Beams
3.2.2. Sensing Performance in Scenario 1: Non-Overlapping Communication and Sensing Beams
3.2.3. Communication Performance in Scenario 2: Overlapping Communication and Sensing Beams When UE Blocks the Sensing Target
3.2.4. Communication Performance in Scenario 3: Overlapping Communication and Sensing Beams When the Sensing Target Blocks the UE
3.3. Findings from Benchmarking
4. Conclusions
- The array configuration of STPA is based on a modular design, narrow beamwidth, and decreased number of phase shifters. The design is based on maximum entropy in the phase centers of the tiles in the array and sparse subarrays. The results show that an STPA with 125 domino tiles has stable radiation up to times the center frequency of operation, whereas this number is for CUPA. A realistic radiation pattern of an STPA, including antenna imperfections, is shown by full-wave simulation.
- The results show improvement in sensing performance, namely, when the sensing and communication beams are not overlapping, CUPA, SPA, and STPA guarantee the same spectral efficiency in the communication link, whereas a better angular resolution is achieved by SPA and STPA in sensing, e.g., the simulations show that the detection loss rate for STPA and SPA are less than for CUPA. The side lobes in SPA and STPA also result in the same average error in detection as CUPA. The percentages of improvement in detection loss and accuracy depend on the number of targets and false-alarm probability, which were the parameters of study.
- JCAS performance is analyzed through blockage time when the sensing beam is tracking a target and overlapping with the communication beam. As SPA and STPA have a narrower beamwidth than the CUPA, the blockage time is 40% shorter while the target moves towards the boresight of the apertures. Finally, we conclude that STPA can be utilized when a smaller beamwith with a modular design is desired, otherwise SPA still outperforms STPA in sensing performance.
Author Contributions
Funding
Data Availability Statement
Conflicts of Interest
Appendix A. Sunflower Array
Appendix B. Position Optimization
References
- De Lima, C.; Belot, D.; Berkvens, R.; Bourdoux, A.; Dardari, D.; Guillaud, M.; Isomursu, M.; Lohan, E.S.; Miao, Y.; Barreto, A.N.; et al. Convergent communication, sensing and localization in 6G systems: An overview of technologies, opportunities and challenges. IEEE Access 2021, 9, 26902–26925. [Google Scholar] [CrossRef]
- Alidoustaghdam, H.; Miao, Y.; Kokkeler, A. Integrating TDD Communication and Radar Sensing in Co-Located Planar Array: A Genetic Algorithm Enabled Aperture Design. In Proceedings of the 2022 2nd IEEE International Symposium on Joint Communications & Sensing (JC&S), Seefeld, Austria, 9–10 March 2022; pp. 1–6. [Google Scholar] [CrossRef]
- Alidoustaghdam, H.; Miao, Y.; Kokkeler, A. Widely Linear Beamforming for Full-Duplex Joint Communications and Sensing: An Investigation on Virtual Displacement of Array Elements during Local Optimization. In Proceedings of the 2022 16th European Conference on Antennas and Propagation (EuCAP), Madrid, Spain, 27 March–1 April 2022; pp. 1–5. [Google Scholar] [CrossRef]
- Zhang, J.A.; Liu, F.; Masouros, C.; Heath, R.W.; Feng, Z.; Zheng, L.; Petropulu, A. An overview of signal processing techniques for joint communication and radar sensing. IEEE J. Sel. Top. Signal Process. 2021, 15, 1295–1315. [Google Scholar] [CrossRef]
- Xue, Q.; Liu, Y.J.; Sun, Y.; Wang, J.; Yan, L.; Feng, G.; Ma, S. Beam management in ultra-dense mmwave network via federated reinforcement learning: An intelligent and secure approach. IEEE Trans. Cogn. Commun. Netw. 2022, 9, 185–197. [Google Scholar] [CrossRef]
- Oliveri, G.; Gottardi, G.; Massa, A. A new meta-paradigm for the synthesis of antenna arrays for future wireless communications. IEEE Trans. Antennas Propag. 2019, 67, 3774–3788. [Google Scholar] [CrossRef]
- Ma, Y.; Yang, F.; Chen, K.; Yang, S.; Chen, Y.; Qu, S.w.; Hu, J. An Irregular Tiled Array Technique for Massive MIMO Systems. IEEE Trans. Wirel. Commun. 2021, 21, 4509–4521. [Google Scholar] [CrossRef]
- Athley, F.; Engdahl, C.; Sunnergren, P. On radar detection and direction finding using sparse arrays. IEEE Trans. Aerosp. Electron. Syst. 2007, 43, 1319–1333. [Google Scholar] [CrossRef]
- Meng, X.; Liu, F.; Masouros, C.; Yuan, W.; Zhang, Q.; Feng, Z. Vehicular Connectivity on Complex Trajectories: Roadway-Geometry Aware ISAC Beam-tracking. IEEE Trans. Wirel. Commun. 2023, 1. [Google Scholar] [CrossRef]
- Gupta, A.; Madhow, U.; Arbabian, A.; Sadri, A. Design of large effective apertures for millimeter wave systems using a sparse array of subarrays. IEEE Trans. Signal Process. 2019, 67, 6483–6497. [Google Scholar] [CrossRef]
- Ma, Y.; Yang, S.; Chen, Y.; Qu, S.W.; Hu, J. Pattern synthesis of 4-D irregular antenna arrays based on maximum-entropy model. IEEE Trans. Antennas Propag. 2019, 67, 3048–3057. [Google Scholar] [CrossRef]
- Anselmi, N.; Rocca, P.; Salucci, M.; Massa, A. Irregular phased array tiling by means of analytic schemata-driven optimization. IEEE Trans. Antennas Propag. 2017, 65, 4495–4510. [Google Scholar] [CrossRef]
- Dong, W.; Xu, Z.H.; Li, X.X.; Xiao, S.P. Low-cost subarrayed sensor array design strategy for IoT and future 6G applications. IEEE Internet Things J. 2020, 7, 4816–4826. [Google Scholar] [CrossRef]
- Ma, Y.; Yang, F.; Huang, M.; Sun, C.; Chen, Y.; Qu, S.W.; Yang, S. A Thinned Irregular Array Synthesis Approach Based on Benders Decomposition. IEEE Trans. Antennas Propag. 2020, 69, 3875–3885. [Google Scholar] [CrossRef]
- Viganó, M.C. Sunflower Array Antenna for Multi-Beam Satellite Applications. 2011, pp. 71–79. Available online: https://repository.tudelft.nl/islandora/object/uuid%3A33e95433-514f-4367-8385-ae3cc9ddc6f5 (accessed on 11 July 2023).
- Anjos, E.V.; SalarRahimi, M.; Bressner, T.A.; Takhighani, P.; Lahuerta-Lavieja, A.; Elsakka, A.; Siebenga, J.S.; Volski, V.; Fager, C.; Schreurs, D.; et al. FORMAT: A reconfigurable tile-based antenna array system for 5G and 6G millimeter-wave testbeds. IEEE Syst. J. 2022, 16, 4489–4500. [Google Scholar] [CrossRef]
- Shen, K.; Safapourhajari, S.; De Pessemier, T.; Martens, L.; Joseph, W.; Miao, Y. Optimizing the Focusing Performance of Non-Ideal Cell-Free mMIMO Using Genetic Algorithm for Indoor Scenario. IEEE Trans. Wirel. Commun. 2022, 21, 8832–8845. [Google Scholar] [CrossRef]
- Shen, K.; De Pessemier, T.; Martens, L.; Joseph, W.; Miao, Y. Genetic Algorithm Combined with Ray Tracer for Optimizing Cell-Free mMIMO Topology in a Confined Environment. In Proceedings of the 2021 15th European Conference on Antennas and Propagation (EuCAP), Dusseldorf, Germany, 22–26 March 2021; pp. 1–5. [Google Scholar] [CrossRef]
- Aslan, Y.; Puskely, J.; Roederer, A.; Yarovoy, A. Synthesis of quasi-modular circularly polarized 5G base station antenna arrays based on irregular clustering and sequential rotation. Microw. Opt. Technol. Lett. 2021, 63, 1278–1285. [Google Scholar] [CrossRef]
- Aslan, Y.; Roederer, A.; Yarovoy, A. System advantages of using large-scale aperiodic array topologies in future mm-wave 5G/6G base stations: An interdisciplinary look. IEEE Syst. J. 2021, 16, 1239–1248. [Google Scholar] [CrossRef]
- Lin, Z.; Lin, M.; Champagne, B.; Zhu, W.P.; Al-Dhahir, N. Secrecy-energy efficient hybrid beamforming for satellite-terrestrial integrated networks. IEEE Trans. Commun. 2021, 69, 6345–6360. [Google Scholar] [CrossRef]
- Vigano, M.; Toso, G.; Caille, G.; Mangenot, C.; Lager, I. Spatial density tapered sunflower antenna array. In Proceedings of the 2009 3rd European Conference on Antennas and Propagation, Berlin, Germany, 23–27 March 2009; pp. 778–782. [Google Scholar]
- Temiz, M.; Alsusa, E.; Baidas, M.W. A Dual-Functional Massive MIMO OFDM Communication and Radar Transmitter Architecture. IEEE Trans. Veh. Technol. 2020, 69, 14974–14988. [Google Scholar] [CrossRef]
- Zhang, J.A.; Huang, X.; Guo, Y.J.; Yuan, J.; Heath, R.W. Multibeam for joint communication and radar sensing using steerable analog antenna arrays. IEEE Trans. Veh. Technol. 2018, 68, 671–685. [Google Scholar] [CrossRef]
- Ni, Z.; Zhang, J.A.; Huang, X.; Yang, K.; Yuan, J. Uplink sensing in perceptive mobile networks with asynchronous transceivers. IEEE Trans. Signal Process. 2021, 69, 1287–1300. [Google Scholar] [CrossRef]
- Temiz, M.; Alsusa, E.; Baidas, M.W. A Dual-Function Massive MIMO Uplink OFDM Communication and Radar Architecture. IEEE Trans. Cogn. Commun. Netw. 2021, 8, 750–762. [Google Scholar] [CrossRef]
- Spence, T.G.; Werner, D.H. Design of broadband planar arrays based on the optimization of aperiodic tilings. IEEE Trans. Antennas Propag. 2008, 56, 76–86. [Google Scholar] [CrossRef]
- Ma, Y.; Yang, S.; Chen, Y.; Qu, S.W.; Hu, J. High-Directivity Optimization Technique for Irregular Arrays Combined With Maximum Entropy Model. IEEE Trans. Antennas Propag. 2020, 69, 3913–3923. [Google Scholar] [CrossRef]
- Echeveste, J.I.; de Aza, M.Á.G.; Rubio, J.; Craeye, C. Gradient-based aperiodic array synthesis of real arrays with uniform amplitude excitation including mutual coupling. IEEE Trans. Antennas Propag. 2016, 65, 541–551. [Google Scholar] [CrossRef]
- Molisch, A.F. Wireless Communications; John Wiley & Sons: Hoboken, NJ, USA, 2012; Volume 34. [Google Scholar]
- Richards, M.A.; Melvin, W. Principles of Modern Radar: Basic Principles; Institution of Engineering & Technology: London, UK, 2023; Volume 1. [Google Scholar]
- Lu, S.; Liu, F.; Hanzo, L. The Degrees-of-Freedom in Monostatic ISAC Channels: NLoS Exploitation vs. Reduction. IEEE Trans. Veh. Technol. 2022, 72, 2643–2648. [Google Scholar] [CrossRef]
- Cai, X.; Miao, Y.; Li, J.; Tufvesson, F.; Pedersen, G.F.; Fan, W. Dynamic mmWave Channel Emulation in a Cost-Effective MPAC With Dominant-Cluster Concept. IEEE Trans. Antennas Propag. 2022, 70, 4691–4704. [Google Scholar] [CrossRef]
- El Ayach, O.; Rajagopal, S.; Abu-Surra, S.; Pi, Z.; Heath, R.W. Spatially sparse precoding in millimeter wave MIMO systems. IEEE Trans. Wirel. Commun. 2014, 13, 1499–1513. [Google Scholar] [CrossRef]
- Nuss, B.; Sit, L.; Fennel, M.; Mayer, J.; Mahler, T.; Zwick, T. MIMO OFDM radar system for drone detection. In Proceedings of the 2017 18th International Radar Symposium (IRS), Prague, Czech Republic, 28–30 June 2017; pp. 1–9. [Google Scholar]
- Barneto, C.B.; Riihonen, T.; Turunen, M.; Anttila, L.; Fleischer, M.; Stadius, K.; Ryynänen, J.; Valkama, M. Full-duplex OFDM radar with LTE and 5G NR waveforms: Challenges, solutions, and measurements. IEEE Trans. Microw. Theory Tech. 2019, 67, 4042–4054. [Google Scholar] [CrossRef]
- Schubert, E.; Kunert, M.; Menzel, W.; Fortuny-Guasch, J.; Chareau, J.M. Human RCS measurements and dummy requirements for the assessment of radar based active pedestrian safety systems. In Proceedings of the 2013 14th International Radar Symposium (IRS), Dresden, Germany, 19–21 June 2013; Volume 2, pp. 752–757. [Google Scholar]
- Bhardwaj, A.; Caudill, D.; Gentile, C.; Chuang, J.; Senic, J.; Michelson, D.G. Geometrical-empirical channel propagation model for human presence at 60 GHz. IEEE Access 2021, 9, 38467–38478. [Google Scholar] [CrossRef]
- Hersyandika, R.; Miao, Y.; Pollin, S. Guard Beam: Protecting mmWave Communication through In-Band Early Blockage Prediction. In Proceedings of the GLOBECOM 2022—2022 IEEE Global Communications Conference, Rio de Janeiro, Brazil, 4–8 December 2022; pp. 4093–4098. [Google Scholar] [CrossRef]
- Virk, U.T.; Haneda, K. Modeling human blockage at 5G millimeter-wave frequencies. IEEE Trans. Antennas Propag. 2019, 68, 2256–2266. [Google Scholar] [CrossRef]
- Zhang, H.; Shi, J.; Zhang, Q.; Zong, B.; Xie, J. Antenna selection for target tracking in collocated MIMO radar. IEEE Trans. Aerosp. Electron. Syst. 2020, 57, 423–436. [Google Scholar] [CrossRef]
- Ramalli, A.; Boni, E.; Savoia, A.S.; Tortoli, P. Density-tapered spiral arrays for ultrasound 3-D imaging. IEEE Trans. Ultrason. Ferroelectr. Freq. Control 2015, 62, 1580–1588. [Google Scholar] [CrossRef]
- Wu, S.; Alrabeiah, M.; Chakrabarti, C.; Alkhateeb, A. Blockage prediction using wireless signatures: Deep learning enables real-world demonstration. IEEE Open J. Commun. Soc. 2022, 3, 776–796. [Google Scholar] [CrossRef]
- Aslan, Y.; Puskely, J.; Roederer, A.; Yarovoy, A. Multiple beam synthesis of passively cooled 5G planar arrays using convex optimization. IEEE Trans. Antennas Propag. 2019, 68, 3557–3566. [Google Scholar] [CrossRef]
- Grant, M.; Boyd, S.; Ye, Y. CVX: Matlab Software for Disciplined Convex Programming, Version 2.0 Beta. 2013. Available online: http://cvxr.com/cvx (accessed on 11 July 2023).

















Disclaimer/Publisher’s Note: The statements, opinions and data contained in all publications are solely those of the individual author(s) and contributor(s) and not of MDPI and/or the editor(s). MDPI and/or the editor(s) disclaim responsibility for any injury to people or property resulting from any ideas, methods, instructions or products referred to in the content. |
© 2023 by the authors. Licensee MDPI, Basel, Switzerland. This article is an open access article distributed under the terms and conditions of the Creative Commons Attribution (CC BY) license (https://creativecommons.org/licenses/by/4.0/).
Share and Cite
Alidoustaghdam, H.; Kokkeler, A.; Miao, Y. Sparse Tiled Planar Array: The Shared Multibeam Aperture for Millimeter-Wave Joint Communication and Sensing. Electronics 2023, 12, 3115. https://doi.org/10.3390/electronics12143115
Alidoustaghdam H, Kokkeler A, Miao Y. Sparse Tiled Planar Array: The Shared Multibeam Aperture for Millimeter-Wave Joint Communication and Sensing. Electronics. 2023; 12(14):3115. https://doi.org/10.3390/electronics12143115
Chicago/Turabian StyleAlidoustaghdam, Hadi, André Kokkeler, and Yang Miao. 2023. "Sparse Tiled Planar Array: The Shared Multibeam Aperture for Millimeter-Wave Joint Communication and Sensing" Electronics 12, no. 14: 3115. https://doi.org/10.3390/electronics12143115
APA StyleAlidoustaghdam, H., Kokkeler, A., & Miao, Y. (2023). Sparse Tiled Planar Array: The Shared Multibeam Aperture for Millimeter-Wave Joint Communication and Sensing. Electronics, 12(14), 3115. https://doi.org/10.3390/electronics12143115

