Millimeter-Wave Conformal Directional Leaky-Wave Antenna Based on Substrate-Integrated Waveguide
Abstract
:1. Introduction
2. Theoretical Modeling
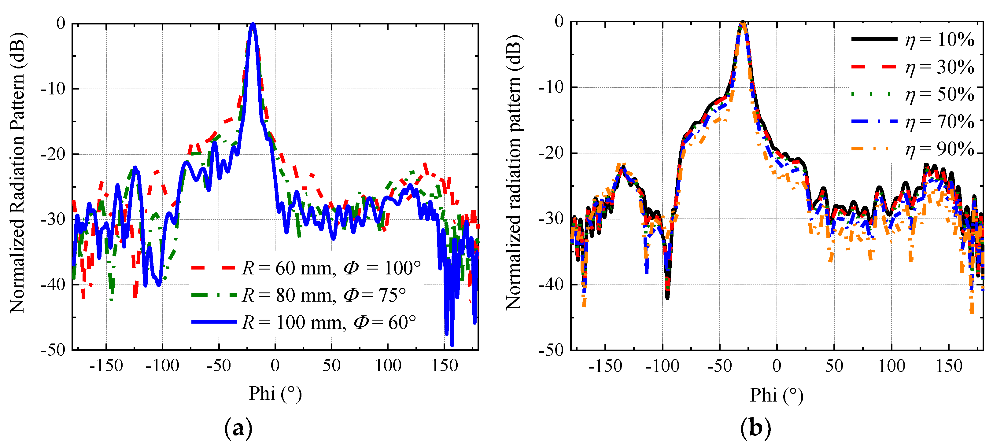
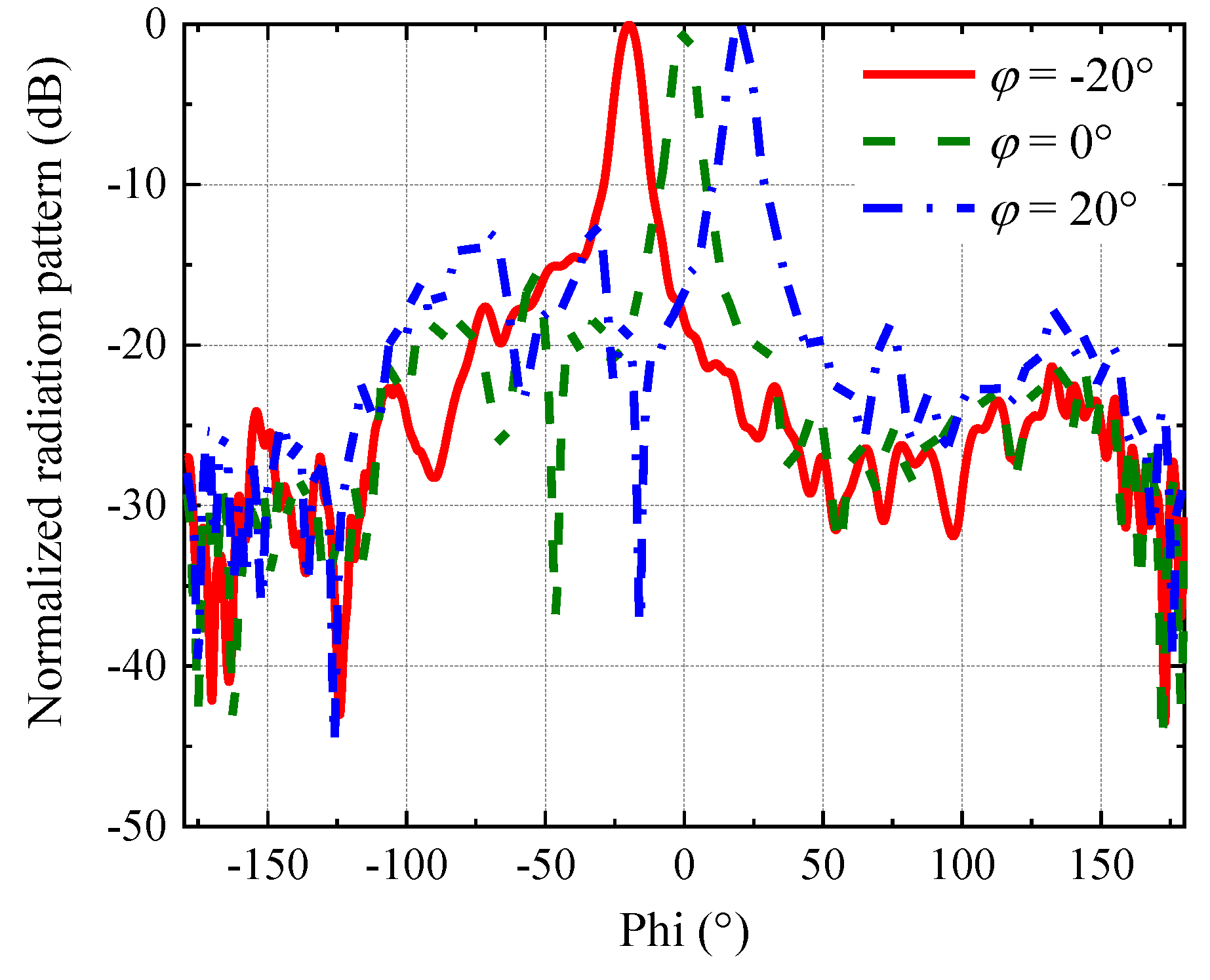
3. Radiation Property Analysis
4. Antenna Design
4.1. Design Procedure
- (1)
- Declare φd, R, Φ, f0 and input them into the model.
- (2)
- Based on the model, calculate and determine the position of the reference element (the first element).
- (3)
- According to a given Δs, search for the in-phase element distributions in which the elements meet the in-phase condition corresponding to different reference elements.
- (4)
- Extract the proper set of the distribution with enough element quantity and record parameters like λg from the model.
- (5)
- Implement structural design of the arced LWA according to the parameters produced from the model.
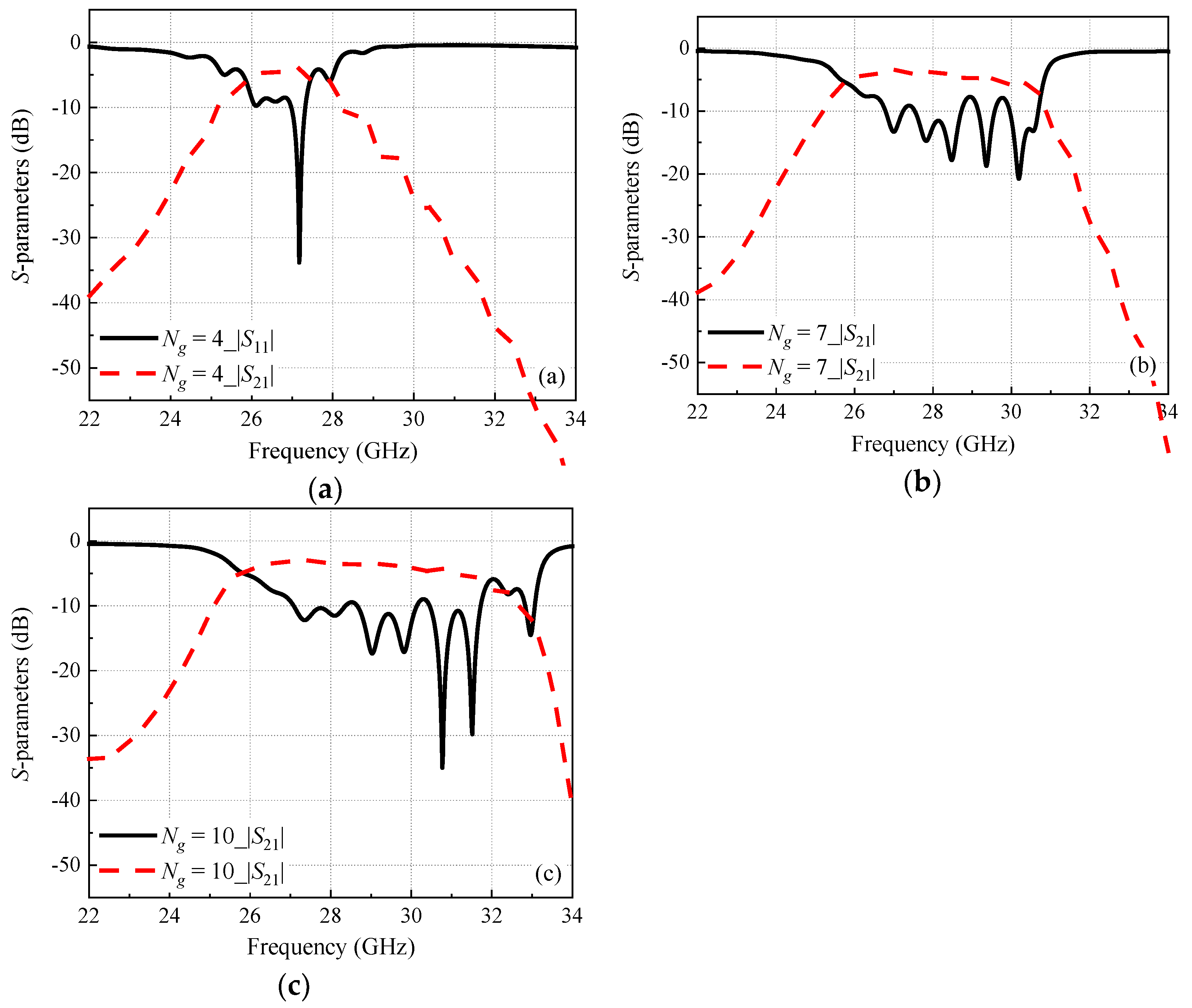
4.2. Structural Design and Analysis
5. Experimental Verification
6. Conclusions
Author Contributions
Funding
Data Availability Statement
Conflicts of Interest
References
- Josefsson, L.; Persson, P. Conformal Array Antenna Theory and Design; IEEE Press Series on Electromagnetic Wave Theory; John Wiley & Sons: Piscataway, NJ, USA, 2006. [Google Scholar]
- Khaleel, H.R.; Al-Rizzo, H.M.; Rucker, D.G.; Mohan, S. A compact polyimide-based UWB antenna for flexible electronics. IEEE Antennas Wirel. Propag. Lett. 2012, 11, 564–567. [Google Scholar] [CrossRef]
- Abou-Jaoude, R.; Walton, E.K. Numerical modeling of on-glass conformal automobile antennas. IEEE Trans. Antennas Propag. 1998, 46, 845–852. [Google Scholar] [CrossRef]
- Knott, P. Design of a triple patch antenna element for double curved conformal antenna ar-rays. In Proceedings of the 2006 First European Conference on Antennas and Propagation, Nice, France, 6–10 November 2006; IEEE: Piscataway, NJ, USA, 2006. [Google Scholar]
- Ayaz, M.; Iftikhar, A.; Braaten, B.D.; Khalil, W.; Ullah, I. A Composite Right/Left-Handed Phase Shifter-Based Cylindrical Phased Array with Reinforced Particles Responsive to Magneto-Static Fields. Electronics 2023, 12, 306. [Google Scholar] [CrossRef]
- Zhang, N.; Xue, Z.; Zheng, P.; Gao, L.; Liu, J.Q. Design of a Dual-Polarization Dipole Antenna for a Cylindrical Phased Array in Ku-Band. Electronics 2022, 11, 3796. [Google Scholar] [CrossRef]
- Han, L.; Wang, G.; Zhang, L.; Jiang, W.; Zhao, P.; Tang, W.; Zheng, H. Tightly Coupled Ultra-Wideband Phased-Array Implemented by Three-Dimensional Inkjet Printing Technique. Electronics 2022, 11, 3320. [Google Scholar] [CrossRef]
- Li, Z.; Wang, K.; Lv, Y.; Qian, S.; Zhang, X.; Cui, X. Wing Conformal Load-Bearing Endfire Phased Array Antenna Skin Technology. IEEE Trans. Antennas Propag. 2023, 71, 2064–2069. [Google Scholar] [CrossRef]
- Li, A.; Qu, S.W.; Yang, S. Conformal Array Antenna for Applications in Wide-Scanning Phased Array Antenna Systems. IEEE Antennas Wirel. Propag. Lett. 2022, 21, 1762–1766. [Google Scholar] [CrossRef]
- Sadananda, K.G.; Elfergani, I.; Zebiri, C.; Rodriguez, J.; Koul, S.K.; Abd-Alhameed, R.A. A Wide-Angle Pattern Diversity Antenna System for mmWave 5G Mobile Terminals. Electronics 2022, 11, 571. [Google Scholar] [CrossRef]
- Liu, Y.; Yang, H.; Jin, Z.; Zhu, J. Circumferentially conformal slot array antenna and its Ka-band multibeam applications. IET Microw. Antennas Propag. 2018, 12, 2307–2312. [Google Scholar] [CrossRef]
- Song, L.Z.; Wang, X.; Qin, P.Y. Single-Feed Multibeam Conformal Transmitarrays with Phase and Amplitude Modulations. IEEE Antennas Wirel. Propag. Lett. 2022, 21, 1669–1673. [Google Scholar] [CrossRef]
- Wu, Y.F.; Zhang, H.R.; Cheng, Y.J.; Fan, Y. Proactive Conformal Waveguide Slot Array Antenna to Synthesize Cosecant Squared Pattern Based on 3-D Printing Manufacturing Process. IEEE Trans. Antennas Propag. 2022, 70, 6627–6634. [Google Scholar] [CrossRef]
- Ding, Z.; Chen, J.; Zhou, H.; Liang, X.; Jin, R. High Aperture Efficiency Arced Conformal Array with Phasor Beam Steering Antenna. IEEE Trans. Antennas Propag. 2022, 71, 596–605. [Google Scholar] [CrossRef]
- Yang, H.; Liu, X.; Fan, Y. Design of broadband circularly polarized all-textile antenna and its conformal array for wearable devices. IEEE Trans. Antennas Propag. 2021, 70, 209–220. [Google Scholar] [CrossRef]
- Stoumpos, C.; Le Gouguec, T.; Allanic, R.; García-Vigueras, M.; Amiaud, A.C. Compact Additively Manufactured Conformal Slotted Waveguide Antenna Array. IEEE Antennas Wirel. Propag. Lett. 2023. [Google Scholar] [CrossRef]
- Wu, Y.F.; Cheng, Y.J. Proactive conformal antenna array for near-field beam focusing and steering based on curved substrate integrated waveguide. IEEE Trans. Antennas Propag. 2019, 67, 2354–2363. [Google Scholar] [CrossRef]
- Gao, Y.; Jiang, W.; Hu, W.; Wang, Q.; Zhang, W.; Gong, S. A dual-polarized 2-D monopulse antenna array for conical conformal applications. IEEE Trans. Antennas Propag. 2021, 69, 5479–5488. [Google Scholar] [CrossRef]
- Zhang, B.; Jin, C.; Cao, K.; Lv, Q.; Mittra, R. Cognitive conformal antenna array exploiting deep reinforcement learning method. IEEE Trans. Antennas Propag. 2021, 70, 5094–5104. [Google Scholar] [CrossRef]
- Li, M.; Liu, Y.; Chen, S.L.; Hu, J.; Guo, Y.J. Synthesizing shaped-beam cylindrical conformal array considering mutual coupling using refined rotation/phase optimization. IEEE Trans. Antennas Propag. 2022, 70, 10543–10553. [Google Scholar] [CrossRef]
- Zhang, N.; Xue, Z.; Zheng, P.; Gao, L.; Liu, J. Synthesis of Low Sidelobe Pattern with Enhanced Axial Radiation for Sparse Conformal Arrays Based on MCDE Algorithm. Electronics 2022, 11, 3679. [Google Scholar] [CrossRef]
- Ma, Y.; Wang, J.; Li, Z.; Li, Y.; Chen, M.; Zhang, Z. Planar annular leaky-wave antenna array with conical beam. IEEE Trans. Antennas Propag. 2020, 68, 5405–5414. [Google Scholar] [CrossRef]
- Ma, Y.; Wang, J.; Pan, C.; Zhu, Y.; Wu, X. Concentric Annular Leaky Wave Antenna Array and Its Application to Self-Sensing Smart Antenna for Radio Wave Coverage in 2-D Confined Spaces. IEEE Access 2022, 10, 32537–32545. [Google Scholar] [CrossRef]
- Ma, Y.; Wang, J. Theoretical modeling and analysis of circularly polarized annular leaky-wave antenna based on travelling-wave structure. IEEE Access 2021, 9, 29392–29400. [Google Scholar] [CrossRef]
- Gomez-Tornero, J.L. Analysis and design of conformal tapered leaky-wave antennas. IEEE Antennas Wirel. Propag. Lett. 2011, 10, 1068–1071. [Google Scholar] [CrossRef]
- Xu, F.; Wu, K. Guided-wave and leakage characteristics of substrate integrated waveguide. IEEE Trans. Microw. Theory Tech. 2005, 53, 66–73. [Google Scholar]





















| Parameters | L (mm) | R (mm) | α (°) | w (mm) | h (mm) | dvia (mm) | svia (mm) |
|---|---|---|---|---|---|---|---|
| Straight | 55.9 | - | - | 3.88 | 1.524 | 0.6 | 1 |
| Arced | - | 30 | 104 | 3.88 | 1.524 | 0.6 | 1 |
| Straight SIW | Arced SIW | |
|---|---|---|
| Theoretical cutoff frequency | 26.403 GHz | - |
| Simulated cutoff frequency | 26.385 GHz | 26.384 GHz |
| Element Position (°) | Element Position (°) | Element Position (°) | |||
|---|---|---|---|---|---|
| φ1 | 9.54 | φ7 | 50.46 | φ13 | 80.62 |
| φ2 | 17.92 | φ8 | 55.92 | φ14 | 85.22 |
| φ3 | 25.46 | φ9 | 61.16 | φ15 | 89.76 |
| φ4 | 32.34 | φ10 | 66.22 | φ16 | 94.26 |
| φ5 | 38.74 | φ11 | 71.14 | φ17 | 98.7 |
| φ6 | 44.76 | φ12 | 75.92 |
| Parameters | R | α | w | h | ls | ls1 |
|---|---|---|---|---|---|---|
| Value (mm) | 60 | 100° | 8.2 | 0.254 | 3 | 0.375 |
| Parameters | ls2 | ls3 | ls4 | ls5 | ls6 | ls7 |
| Value (mm) | 0.75 | 1.125 | 1.5 | 1.875 | 2.25 | 2.625 |
| Parameters | ws | dvia | svia | wm1 | wm2 | |
| Value (mm) | 0.4 | 0.5 | 0.8 | 0.8 | 3.2 |
| Ref. | Type of Antenna | f0 (GHz) | Bandwidth (%) | Profile Height (λ0) | Cambered Surface Area (λ02) | Peak Realized Gain (dBi) |
|---|---|---|---|---|---|---|
| [5] | phased array | 5.5 | 11 | n.a. | n.a. | 8.93 |
| [7] | phased array | 1.58 | 5 | 0.05 | 8.42 | 20.2 |
| [8] | Transmitarray | 10 | 9 | 0.017 | 75.87 | 18.29 |
| [12] | phased array | 2 | 148 | n.a. | 1.15 | n.a. |
| This work | leaky wave | 28 | 5.5 | 0.0017 | 1.89 | 9.96 |
Disclaimer/Publisher’s Note: The statements, opinions and data contained in all publications are solely those of the individual author(s) and contributor(s) and not of MDPI and/or the editor(s). MDPI and/or the editor(s) disclaim responsibility for any injury to people or property resulting from any ideas, methods, instructions or products referred to in the content. |
© 2023 by the authors. Licensee MDPI, Basel, Switzerland. This article is an open access article distributed under the terms and conditions of the Creative Commons Attribution (CC BY) license (https://creativecommons.org/licenses/by/4.0/).
Share and Cite
Ma, Y.; Shi, X.; Wang, J.; Zhang, Y.; Sun, F.; Wu, F. Millimeter-Wave Conformal Directional Leaky-Wave Antenna Based on Substrate-Integrated Waveguide. Electronics 2023, 12, 3111. https://doi.org/10.3390/electronics12143111
Ma Y, Shi X, Wang J, Zhang Y, Sun F, Wu F. Millimeter-Wave Conformal Directional Leaky-Wave Antenna Based on Substrate-Integrated Waveguide. Electronics. 2023; 12(14):3111. https://doi.org/10.3390/electronics12143111
Chicago/Turabian StyleMa, Yuchen, Xiaoya Shi, Junhong Wang, Yu Zhang, Fanqi Sun, and Fan Wu. 2023. "Millimeter-Wave Conformal Directional Leaky-Wave Antenna Based on Substrate-Integrated Waveguide" Electronics 12, no. 14: 3111. https://doi.org/10.3390/electronics12143111
APA StyleMa, Y., Shi, X., Wang, J., Zhang, Y., Sun, F., & Wu, F. (2023). Millimeter-Wave Conformal Directional Leaky-Wave Antenna Based on Substrate-Integrated Waveguide. Electronics, 12(14), 3111. https://doi.org/10.3390/electronics12143111

