The Same Name Is Not Always the Same: Correlating and Tracing Forgery Methods across Various Deepfake Datasets
Abstract
1. Introduction
- We point out that the forgery category labels in the deepfake dataset lack objectivity. Our experiments prove that some forgery category labels of the same name differ significantly across different datasets.
- We establish the KCE-System. It is a deepfake dataset similarity evaluation index system that provides a measure of the similarity between different datasets and lays the foundation for subsequent researchers to use these datasets comprehensively.
- Our experiments confirm that when the forgery method of the deepfake dataset is unknown, the model can achieve better generalization performance by training on datasets that are merged based on closer feature distances.
2. Related Works
2.1. Deepfake Datasets
| Dataset | Real | Fake | Forgery Method |
|---|---|---|---|
| CelebDFv1 [22] | 409 | 795 | FaceswapPro |
| CelebDFv2 [22] | 590 | 5639 | FaceswapPro |
| DeeperForensics1.0 [17] | 50,000 | 10,000 | DeepFake Variational Auto-Encoder (DF-VAE) [24] |
| FakeAVCeleb [16] | 178 | 11,833 | Faceswap [25], Faceswap GAN (FSGAN) [26], Wav2Lip [27] |
| DeepFakeMnist+ [15] | 10,000 | 10,000 | First Order Motion Model for Image Animation (FOMM) [28] |
| DeepfakeTIMIT [1] | 320 | 640 | faceswap-GAN [29] |
| FaceForensics++ [21] | 1000 | 5000 | Faceswap [30], Deepfakes [31], Face2Face [32], FaceShifter [33], NeuralTextures [34] |
| DeepFakeDetection [35] | 363 | 3068 | Faceswap |
| ForgeryNet [14] | 99,630 | 121,617 | ATVG-Net [36], BlendFace, DeepFakes, DeepFakes-StarGAN-Stack, DiscoFaceGAN [37], FaceShifter [33], FOMM [28], FS-GAN [26], MaskGAN [38], MMReplacement, SC-FEGAN [39], StarGAN-BlendFace-Stack, StarGAN2 [40], StyleGAN2 [41], Talking Head Video [42] |
| Patch-wise Face Image Forensics [23] | * 25,000 | * 25,000 | PROGAN [43], StyleGAN2 [41] |
2.2. Deepfake Identification and Traceability
2.2.1. Methods Based on Spectral Features
2.2.2. Methods Based on Generative Adversarial Network Inherent Traces
2.3. Troubles with Current Deepfake Traceability
3. Research Methods
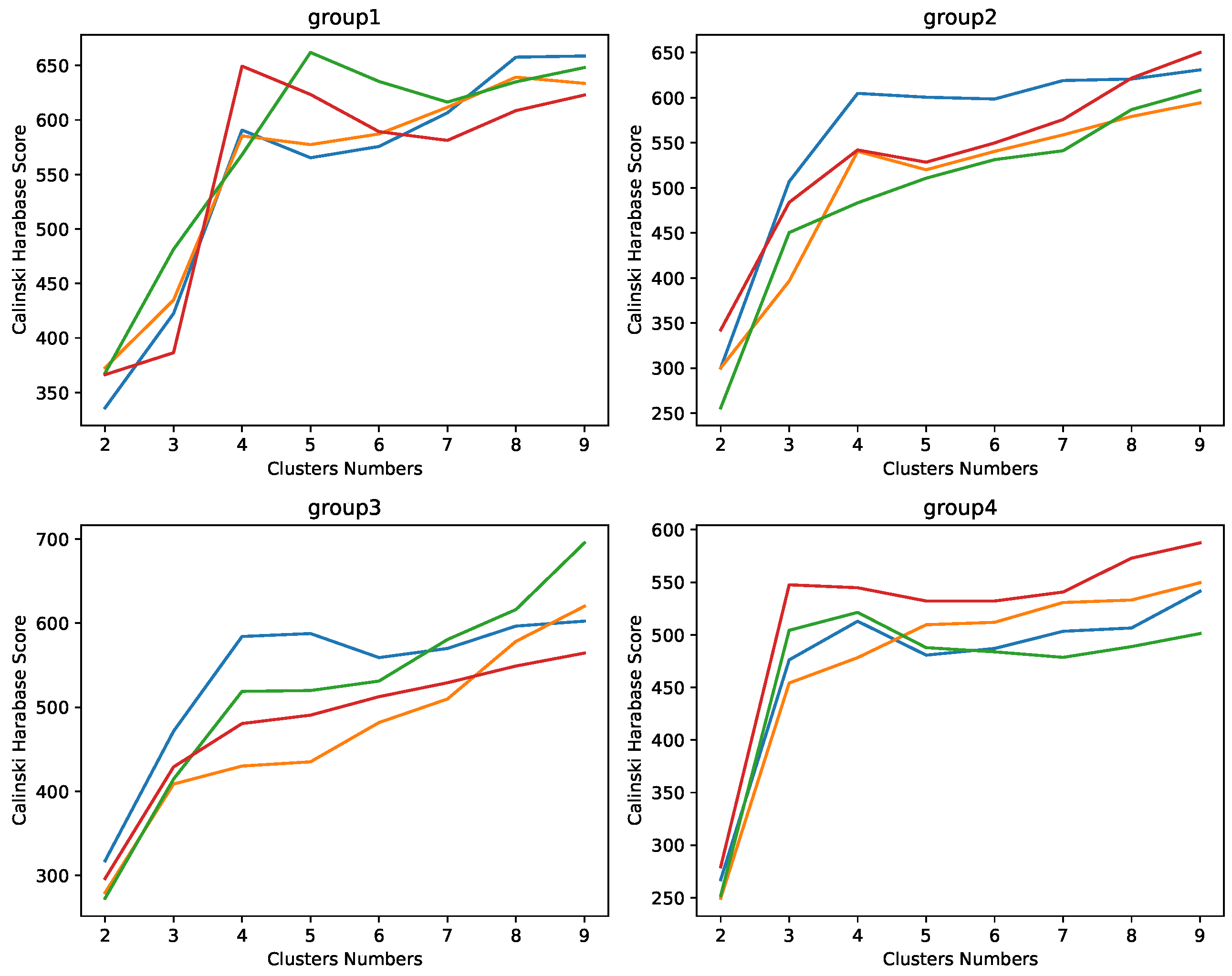
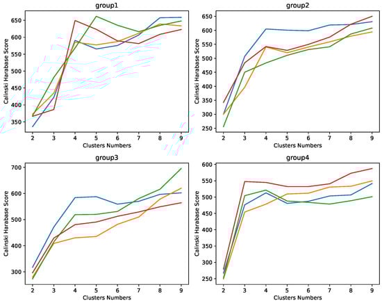
3.1. K-Means and Calinski Harabasz Evaluation System
3.2. Feature Extractor
3.3. Dimensionality Reduction and Clustering
3.4. Selection of Evaluation Algorithms
4. Experiment
4.1. Data Dividing and Preprocessing
4.2. Merge Training Data Based on the Category Name
- (a)
- Merge the FaceSwapPRO category in the CelebDFv1 dataset and the FaceSwapPRO category in the CelebDFv2 dataset.
- (b)
- Merge the FOMM category in the DeepFakeMnist+ dataset and the FOMM category in the ForgeryNet dataset.
- (c)
- Merge the FaceSwap-GAN category in the DeepfakeTIMIT dataset, the DeepFakeDetection FaceSwap category and the FaceSwap category in the FaceForensics++ dataset, and the faceswap category in the FakeAVCeleb dataset.
- (d)
- Merge the DeepFakes category in the Faceforensics++ dataset and the DeepFakes category in the ForgeryNet dataset.
- (e)
- Merge the FSGAN category in the FakeAVCeleb dataset and the FS-GAN category in the ForgeryNet dataset.
- (f)
- Merge DeepFakes-StarGAN-Stack category, StarGAN-BlendFace-Stack category and StarGAN2 category in ForgeryNet dataset.
- (g)
- Merge the StyleGAN2 category in the ForgeryNet dataset and the STYLEGAN2 category in the Patch-wise Face Image Forensics dataset.
4.3. Merge Training Data Based on the Results of K-Means Clustering
4.4. Experimental Results
5. Conclusions
- We prove the labels of various deepfake datasets contain many randomnesses. If researchers use more than two deepfake datasets, combining these datasets only based on forgery labels will hurt the performance of the model.
- We propose K-means and Calinski Harabasz evaluation systems to evaluate the similarity of various deepfake datasets, laying the foundation for future researchers to use them comprehensively.
- We prove that the generalization ability of the deepfake recognition model in the face of new samples can be improved by merging datasets with high forgery feature similarity.
Author Contributions
Funding
Institutional Review Board Statement
Informed Consent Statement
Data Availability Statement
Conflicts of Interest
References
- Korshunov, P.; Marcel, S. Deepfakes: A new threat to face recognition? assessment and detection. arXiv 2018, arXiv:1812.08685. [Google Scholar]
- Chesney, B.; Citron, D. Deep fakes: A looming challenge for privacy, democracy, and national security. Calif. L. Rev. 2019, 107, 1753. [Google Scholar] [CrossRef]
- Dixon, H.B., Jr. Deepfakes: More Frightening Than Photoshop on Steroids. Judges’ J. 2019, 58, 35–37. [Google Scholar]
- Feldstein, S. How Artificial Intelligence Systems Could Threaten Democracy. Available online: https://scholarworks.boisestate.edu/pubadmin_facpubs/102/ (accessed on 20 December 2022).
- Verdoliva, L. Media forensics and deepfakes: An overview. IEEE J. Sel. Top. Signal Process. 2020, 14, 910–932. [Google Scholar] [CrossRef]
- Xiang, Z.; Horváth, J.; Baireddy, S.; Bestagini, P.; Tubaro, S.; Delp, E.J. Forensic analysis of video files using metadata. In Proceedings of the IEEE/CVF Conference on Computer Vision and Pattern Recognition, Virtual, 19–25 June 2021; pp. 1042–1051. [Google Scholar]
- Qureshi, A.; Megías, D.; Kuribayashi, M. Detecting deepfake videos using digital watermarking. In Proceedings of the 2021 Asia-Pacific Signal and Information Processing Association Annual Summit and Conference (APSIPA ASC), Tokyo, Japan, 14–17 December 2021; IEEE: Piscataway, NJ, USA, 2021; pp. 1786–1793. [Google Scholar]
- Goodfellow, I.; Pouget-Abadie, J.; Mirza, M.; Xu, B.; Warde-Farley, D.; Ozair, S.; Courville, A.; Bengio, Y. Generative adversarial networks. Commun. ACM 2020, 63, 139–144. [Google Scholar] [CrossRef]
- Qian, Y.; Yin, G.; Sheng, L.; Chen, Z.; Shao, J. Thinking in frequency: Face forgery detection by mining frequency-aware clues. In Proceedings of the European Conference on Computer Vision; Springer: Berlin/Heidelberg, Germany, 2020; pp. 86–103. [Google Scholar] [CrossRef]
- Torralba, A.; Fergus, R.; Freeman, W.T. 80 million tiny images: A large data set for nonparametric object and scene recognition. IEEE Trans. Pattern Anal. Mach. Intell. 2008, 30, 1958–1970. [Google Scholar] [CrossRef] [PubMed]
- Deng, J.; Dong, W.; Socher, R.; Li, L.J.; Li, K.; Fei-Fei, L. Imagenet: A large-scale hierarchical image database. In Proceedings of the 2009 IEEE Conference on Computer Vision and Pattern Recognition, Institute of Electrical and Electronics Engineers. Miami, FL, USA, 20–25 June 2009; pp. 248–255. [Google Scholar] [CrossRef]
- Griffin, G.; Holub, A.; Perona, P. Caltech-256 Object Category Dataset. Available online: https://authors.library.caltech.edu/7694/ (accessed on 12 January 2023).
- Schwarz, H.; Marpe, D.; Wiegand, T. Overview of the scalable video coding extension of the H. 264/AVC standard. IEEE Trans. Circuits Syst. Video Technol. 2007, 17, 1103–1120. [Google Scholar] [CrossRef]
- He, Y.; Gan, B.; Chen, S.; Zhou, Y.; Yin, G.; Song, L.; Sheng, L.; Shao, J.; Liu, Z. Forgerynet: A versatile benchmark for comprehensive forgery analysis. In Proceedings of the IEEE/CVF Conference on Computer Vision and Pattern Recognition. Institute of Electrical and Electronics Engineers, Virtual, 19–25 June 2021; pp. 4360–4369. [Google Scholar] [CrossRef]
- Huang, J.; Wang, X.; Du, B.; Du, P.; Xu, C. DeepFake MNIST+: A DeepFake Facial Animation Dataset. In Proceedings of the IEEE/CVF International Conference on Computer Vision, Nashville, TN, USA, 20–25 June 2021; IEEE: Piscataway, NJ, USA, 2021; pp. 1973–1982. [Google Scholar] [CrossRef]
- Khalid, H.; Tariq, S.; Kim, M.; Woo, S.S. FakeAVCeleb: A novel audio-video multimodal deepfake dataset. arXiv 2021, arXiv:2108.05080. [Google Scholar]
- Jiang, L.; Li, R.; Wu, W.; Qian, C.; Loy, C.C. Deeperforensics-1.0: A large-scale dataset for real-world face forgery detection. In Proceedings of the IEEE/CVF Conference on Computer Vision and Pattern Recognition, Seattle, WA, USA, 13–19 June 2020; IEEE: Piscataway, NJ, USA, 2020; pp. 2889–2898. [Google Scholar] [CrossRef]
- Chollet, F. Xception: Deep learning with depthwise separable convolutions. In Proceedings of the IEEE Conference on Computer Vision and Pattern Recognition (CVPR), Honolulu, HI, USA, 21–26 July 2017; IEEE: Piscataway, NJ, USA, 2017; pp. 1800–1807. [Google Scholar] [CrossRef]
- Caliński, T.; Harabasz, J. A dendrite method for cluster analysis. Commun. Stat. -Theory Methods 1974, 3, 1–27. [Google Scholar] [CrossRef]
- He, K.; Zhang, X.; Ren, S.; Sun, J. Deep residual learning for image recognition. In Proceedings of the IEEE Conference on Computer Vision and Pattern Recognition, Las Vegas, NV, USA, 27–30 June 2016; IEEE: Piscataway, NJ, USA, 2016; pp. 770–778. [Google Scholar] [CrossRef]
- Rossler, A.; Cozzolino, D.; Verdoliva, L.; Riess, C.; Thies, J.; Nießner, M. Faceforensics++: Learning to detect manipulated facial images. In Proceedings of the IEEE/CVF International Conference on Computer Vision, Seoul, Republic of Korea, 27 October–2 November 2019; IEEE: Piscataway, NJ, USA, 2019; pp. 1–11. [Google Scholar] [CrossRef]
- Li, Y.; Yang, X.; Sun, P.; Qi, H.; Lyu, S. Celeb-df: A large-scale challenging dataset for deepfake forensics. In Proceedings of the IEEE/CVF Conference on Computer Vision and Pattern Recognition, Seattle, WA, USA, 13–19 June 2020; IEEE: Piscataway, NJ, USA, 2020; pp. 3207–3216. [Google Scholar] [CrossRef]
- Lee, J. This Dataset Is a Summary of the Datasets Used in the “A Study on Patch-Wise Deepfake Image Detection” Experiment Presented at the Winter Conference of the Korean Society of Telecommunications. Available online: https://github.com/Jeonghan57/A-Study-on-Patch-Wise-Deepfake-Image-Detection (accessed on 20 December 2022).
- Kingma, D.P.; Welling, M. Auto-encoding variational bayes. arXiv 2013, arXiv:1312.6114. [Google Scholar]
- Korshunova, I.; Shi, W.; Dambre, J.; Theis, L. Fast face-swap using convolutional neural networks. In Proceedings of the IEEE International Conference on Computer Vision, Venice, Italy, 22–29 October 2017; IEEE: Piscataway, NJ, USA, 2017; pp. 3677–3685. [Google Scholar] [CrossRef]
- Nirkin, Y.; Keller, Y.; Hassner, T. Fsgan: Subject agnostic face swapping and reenactment. In Proceedings of the IEEE/CVF International Conference on Computer Vision, Seoul, Republic of Korea, 27 October–2 November 2019; IEEE: Piscataway, NJ, USA, 2019; pp. 7184–7193. [Google Scholar] [CrossRef]
- Prajwal, K.; Mukhopadhyay, R.; Namboodiri, V.P.; Jawahar, C. A lip sync expert is all you need for speech to lip generation in the wild. In Proceedings of the 28th ACM International Conference on Multimedia, New York, NY, USA, 12–16 October 2020; pp. 484–492. [Google Scholar] [CrossRef]
- Siarohin, A.; Lathuilière, S.; Tulyakov, S.; Ricci, E.; Sebe, N. First order motion model for image animation. In Proceedings of the Advances in Neural Information Processing Systems; Curran Associates, Inc: Red Hook, NY, USA, 2019; Volume 32. [Google Scholar]
- Bshaoanlu. Faceswap-GAN. Available online: https://github.com/shaoanlu/faceswap-GAN (accessed on 12 January 2023).
- Kowalski, M. FaceSwap. Available online: https://github.com/MarekKowalski/FaceSwap/ (accessed on 12 January 2023).
- Deepfakes. Available online: https://github.com/deepfakes/faceswap (accessed on 9 January 2023).
- Thies, J.; Zollhofer, M.; Stamminger, M.; Theobalt, C.; Nießner, M. Face2face: Real-time face capture and reenactment of rgb videos. In Proceedings of the IEEE Conference on Computer Vision and Pattern Recognition, Las Vegas, NV, USA, 27–30 June 2016; IEEE: Piscataway, NJ, USA, 2016; pp. 2387–2395. [Google Scholar] [CrossRef]
- Li, L.; Bao, J.; Yang, H.; Chen, D.; Wen, F. Faceshifter: Towards high fidelity and occlusion aware face swapping. arXiv 2019, arXiv:1912.13457. [Google Scholar]
- Thies, J.; Zollhöfer, M.; Nießner, M. Deferred neural rendering: Image synthesis using neural textures. ACM Trans. Graph. (TOG) 2019, 38, 1–12. [Google Scholar] [CrossRef]
- Dufour, N.; Andrew Gully, J. Contributing Data to Deepfake Detection Research. Available online: https://ai.googleblog.com/2019/09/contributing-data-to-deepfake-detection.html (accessed on 25 December 2022).
- Chen, L.; Maddox, R.K.; Duan, Z.; Xu, C. Hierarchical cross-modal talking face generation with dynamic pixel-wise loss. In Proceedings of the IEEE/CVF Conference on Computer Vision and Pattern Recognition, Long Beach, CA, USA, 15–20 June 2019; IEEE: Piscataway, NJ, USA, 2019; pp. 7832–7841. [Google Scholar] [CrossRef]
- Deng, Y.; Yang, J.; Chen, D.; Wen, F.; Tong, X. Disentangled and controllable face image generation via 3d imitative-contrastive learning. In Proceedings of the IEEE/CVF Conference on Computer Vision and Pattern Recognition, Seattle, WA, USA, 13–19 June 2020; IEEE: Piscataway, NJ, USA, 2020; pp. 5154–5163. [Google Scholar] [CrossRef]
- Lee, C.H.; Liu, Z.; Wu, L.; Luo, P. Maskgan: Towards diverse and interactive facial image manipulation. In Proceedings of the IEEE/CVF Conference on Computer Vision and Pattern Recognition, Seattle, WA, USA, 13–19 June 2020; IEEE: Piscataway, NJ, USA, 2020; pp. 5549–5558. [Google Scholar] [CrossRef]
- Jo, Y.; Park, J. Sc-fegan: Face editing generative adversarial network with user’s sketch and color. In Proceedings of the IEEE/CVF International Conference on Computer Vision, Seoul, Republic of Korea, 27 October–2 November 2019; IEEE: Piscataway, NJ, USA, 2019; pp. 1745–1753. [Google Scholar] [CrossRef]
- Choi, Y.; Uh, Y.; Yoo, J.; Ha, J.W. Stargan v2: Diverse image synthesis for multiple domains. In Proceedings of the IEEE/CVF Conference on Computer Vision and Pattern Recognition, Seattle, WA, USA, 13–19 June 2020; IEEE: Piscataway, NJ, USA, 2020; pp. 8188–8197. [Google Scholar] [CrossRef]
- Viazovetskyi, Y.; Ivashkin, V.; Kashin, E. Stylegan2 distillation for feed-forward image manipulation. In Proceedings of the European Conference on Computer Vision, Glasgow, UK, 23–28 August 2020; Springer: Berlin/Heidelberg, Germany, 2020; pp. 170–186. [Google Scholar] [CrossRef]
- Fried, O.; Tewari, A.; Zollhöfer, M.; Finkelstein, A.; Shechtman, E.; Goldman, D.B.; Genova, K.; Jin, Z.; Theobalt, C.; Agrawala, M. Text-based editing of talking-head video. ACM Trans. Graph. (TOG) 2019, 38, 1–14. [Google Scholar] [CrossRef]
- Gao, H.; Pei, J.; Huang, H. Progan: Network embedding via proximity generative adversarial network. In Proceedings of the 25th ACM SIGKDD International Conference on Knowledge Discovery & Data Mining, New York, NY, USA, 4–8 August 2019; pp. 1308–1316. [Google Scholar] [CrossRef]
- Chen, Z.; Yang, H. Attentive semantic exploring for manipulated face detection. In Proceedings of the ICASSP 2021–2021 IEEE International Conference on Acoustics, Speech and Signal Processing (ICASSP), Toronto, ON, Canada, 6–11 June 2021; IEEE: Piscataway, NJ, USA, 2021; pp. 1985–1989. [Google Scholar] [CrossRef]
- Liu, H.; Li, X.; Zhou, W.; Chen, Y.; He, Y.; Xue, H.; Zhang, W.; Yu, N. Spatial-phase shallow learning: Rethinking face forgery detection in frequency domain. In Proceedings of the IEEE/CVF Conference on Computer Vision and Pattern Recognition, Nashville, TN, USA, 20–25 June 2021; IEEE: Piscataway, NJ, USA, 2021; pp. 772–781. [Google Scholar] [CrossRef]
- Li, J.; Xie, H.; Li, J.; Wang, Z.; Zhang, Y. Frequency-aware discriminative feature learning supervised by single-center loss for face forgery detection. In Proceedings of the IEEE/CVF Conference on Computer Vision and Pattern Recognition, Nashville, TN, USA, 20–25 June 2021; IEEE: Piscataway, NJ, USA, 2021; pp. 6454–6463. [Google Scholar] [CrossRef]
- Guarnera, L.; Giudice, O.; Battiato, S. Deepfake detection by analyzing convolutional traces. In Proceedings of the IEEE/CVF Conference on Computer Vision and Pattern Recognition Workshops (CVPRW), Seattle, WA, USA, 14–19 June 2020; IEEE: Piscataway, NJ, USA, 2020; pp. 2841–2850. [Google Scholar] [CrossRef]
- Liu, Z.; Qi, X.; Torr, P.H. Global texture enhancement for fake face detection in the wild. In Proceedings of the IEEE/CVF Conference on Computer Vision and Pattern Recognition, Seattle, WA, USA, 13–19 June 2020; IEEE: Piscataway, NJ, USA, 2020; pp. 8060–8069. [Google Scholar] [CrossRef]
- Yang, T.; Huang, Z.; Cao, J.; Li, L.; Li, X. Deepfake Network Architecture Attribution. Proc. AAAI Conf. Artif. Intell. 2022, 36, 4662–4670. [Google Scholar] [CrossRef]
- Hartigan, J.A.; Wong, M.A. Algorithm AS 136: A k-means clustering algorithm. J. R. Stat. Soc. Ser. C (Appl. Stat.) 1979, 28, 100–108. [Google Scholar] [CrossRef]
- Ester, M.; Kriegel, H.P.; Sander, J.; Xu, X. Density-based spatial clustering of applications with noise. In Proceedings of the International Conference Knowledge Discovery and Data Mining, Portland, OR, USA, 2–4 August 1996; Volume 240, pp. 11–30. [Google Scholar]
- Hotelling, H. Analysis of a complex of statistical variables into principal components. J. Educ. Psychol. 1933, 24, 417. [Google Scholar] [CrossRef]
- Van der Maaten, L.; Hinton, G. Visualizing data using t-SNE. J. Mach. Learn. Res. 2008, 9, 2579–2605. [Google Scholar]
- Deng, J.; Guo, J.; Ververas, E.; Kotsia, I.; Zafeiriou, S. Retinaface: Single-shot multi-level face localisation in the wild. In Proceedings of the IEEE/CVF Conference on Computer Vision and Pattern Recognition, Seattle, WA, USA, 13–19 June 2020; IEEE: Piscataway, NJ, USA, 2020; pp. 5203–5212. [Google Scholar] [CrossRef]







| Group | Evaluation Datasets |
|---|---|
| 1 | Faceforensics++_FaceShifter, FakeAVCeleb_FaceSwap, ForgeryNet_ATVG-Net, ForgeryNet_FOMM |
| 2 | DeeperForensics_DF-VAE, Faceforensics++_Face2Face, FakeAVCeleb_Wav2Lip, ForgeryNet_DiscoFaceGAN |
| 3 | DeepfakeTIMIT_FaceSwap-GAN, ForgeryNet_BlendFace, ForgeryNet_StarGAN2, Patch-wise-Face-Image-Forensics _PROGAN |
| 4 | CelebDFv2_FaceSwapPRO, Faceforensics++_ NeuralTextures, ForgeryNet_FS-GAN, ForgeryNet_Talking Head Video |
| Model | Train Data Merge by | Group 1 CH | Group 2 CH | Group 3 CH | Group 4 CH | Avg CH |
|---|---|---|---|---|---|---|
| Xception | Without merging | 128.02825 | 117.448499 | 68.6994684 | 93.5723306 | 101.937137 |
| Xception | Name | 84.0837009 | 73.8172086 | 74.579957 | 61.2651927 | 73.4365148 |
| Xception | K-means on 2048D | 124.241305 | 105.070655 | 76.2218761 | 84.212058 | 97.4364735 |
| Xception | K-means on t-SNE 2D | 103.627829 | 87.1461055 | 66.6143003 | 76.5264273 | 83.4786656 |
| Xception | K-means on PCA 64D | 137.241584 | 101.192327 | 85.2535376 | 94.2137508 | 104.4753 |
| Xception | K-means on PCA 128D | 101.197038 | 101.502163 | 74.8441997 | 86.6358341 | 91.0448087 |
| Xception | K-means on PCA 32D | 114.247635 | 89.1934801 | 62.3932779 | 75.9596147 | 85.4485019 |
| F3-net | Name | 62.6592813 | 65.6510862 | 64.1551837 | ||
| F3-net | K-means on PCA 64D | 85.361067 | 72.018708 | 78.6898875 | ||
| ResNet | Name | 42.895651 | 47.9716533 | 45.4336522 | ||
| ResNet | K-means on PCA 64D | 49.7529116 | 54.0786263 | 51.915769 |
Disclaimer/Publisher’s Note: The statements, opinions and data contained in all publications are solely those of the individual author(s) and contributor(s) and not of MDPI and/or the editor(s). MDPI and/or the editor(s) disclaim responsibility for any injury to people or property resulting from any ideas, methods, instructions or products referred to in the content. |
© 2023 by the authors. Licensee MDPI, Basel, Switzerland. This article is an open access article distributed under the terms and conditions of the Creative Commons Attribution (CC BY) license (https://creativecommons.org/licenses/by/4.0/).
Share and Cite
Sun, Y.; Zheng, J.; Lyn, L.; Zhao, H.; Li, J.; Tan, Y.; Liu, X.; Li, Y. The Same Name Is Not Always the Same: Correlating and Tracing Forgery Methods across Various Deepfake Datasets. Electronics 2023, 12, 2353. https://doi.org/10.3390/electronics12112353
Sun Y, Zheng J, Lyn L, Zhao H, Li J, Tan Y, Liu X, Li Y. The Same Name Is Not Always the Same: Correlating and Tracing Forgery Methods across Various Deepfake Datasets. Electronics. 2023; 12(11):2353. https://doi.org/10.3390/electronics12112353
Chicago/Turabian StyleSun, Yi, Jun Zheng, Lingjuan Lyn, Hanyu Zhao, Jiaxing Li, Yunteng Tan, Xinyu Liu, and Yuanzhang Li. 2023. "The Same Name Is Not Always the Same: Correlating and Tracing Forgery Methods across Various Deepfake Datasets" Electronics 12, no. 11: 2353. https://doi.org/10.3390/electronics12112353
APA StyleSun, Y., Zheng, J., Lyn, L., Zhao, H., Li, J., Tan, Y., Liu, X., & Li, Y. (2023). The Same Name Is Not Always the Same: Correlating and Tracing Forgery Methods across Various Deepfake Datasets. Electronics, 12(11), 2353. https://doi.org/10.3390/electronics12112353

