Enhancing Photovoltaic Efficiency with the Optimized Steepest Gradient Method and Serial Multi-Cellular Converters
Abstract
1. Introduction
2. Presentation and Modeling of the Proposed System
2.1. Mathematical Model of the Photovoltaic System
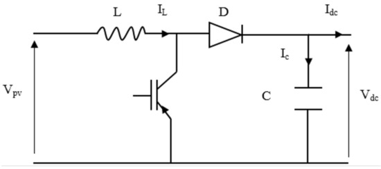
2.2. Mathematical Model of Boost Converter
- Switch On (u = 1)
- Switch Off (u = 0)
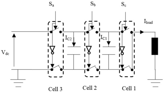
2.3. Multi-Cell Converter
3. MPPT-Optimized Steepest Gradient Method
- 1.
- Solar panel model:The solar panel model can be represented by the following equivalent circuit equation:where is the output current of the solar panel at point k; is the current photo-generated by the solar panel; is the reverse saturation current of the diode; is the solar panel output voltage at point k; R is the load resistor connected to the solar panel; a is the voltage temperature coefficient; and is the thermal voltage.The output power of the solar panel can be calculated as follows:
- 2.
- Calculation of the power function: The power function can be represented by the following expression:where is the solar panel reference voltage at point k.
- 3.
- Calculation of the first and second derivatives of the power function: The first derivative of the power function with respect to the reference voltage can be calculated as follows:
- Initialize the reference voltage to a known value;
- Calculate the quantities of the algorithm.
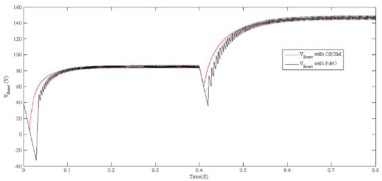
4. Results and Discussion
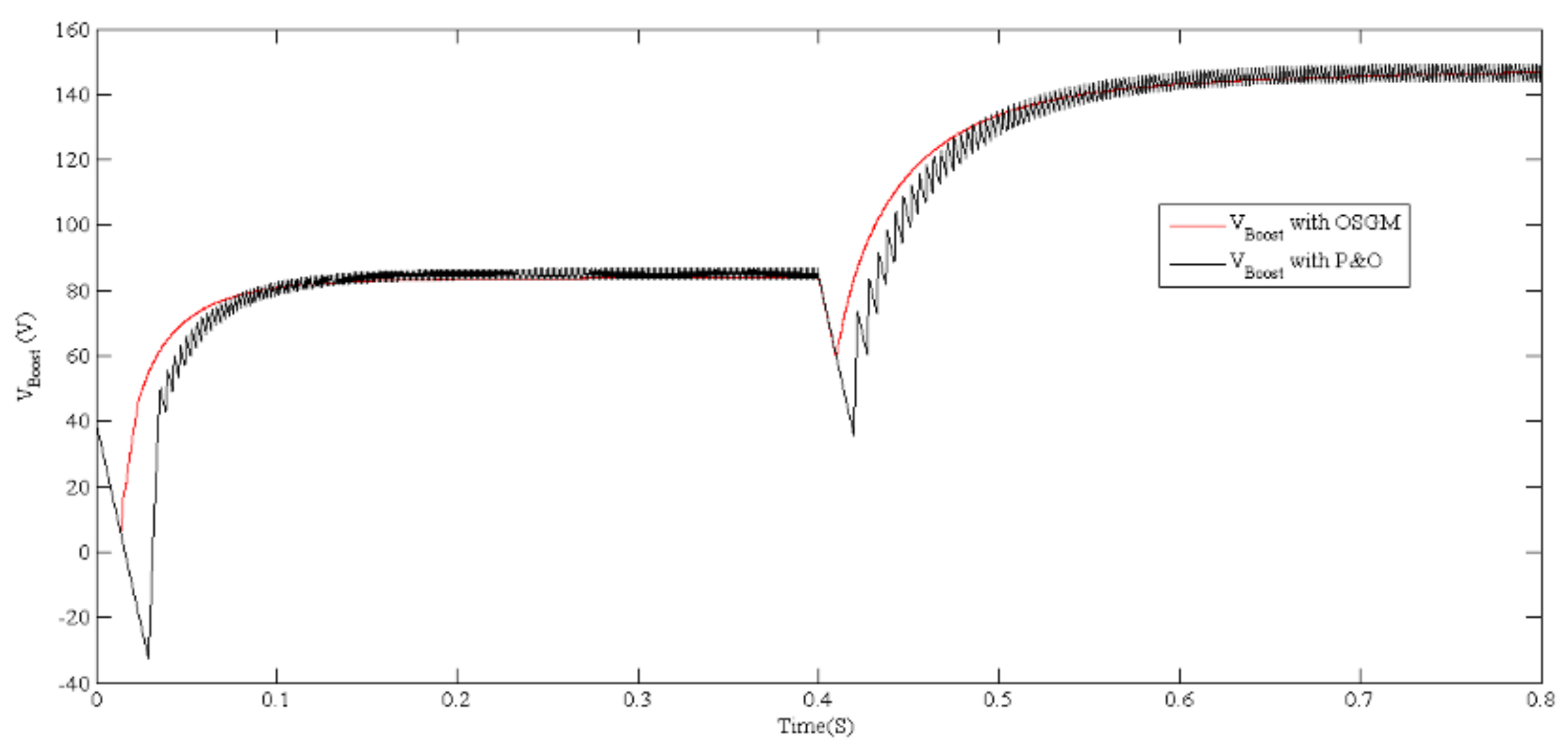
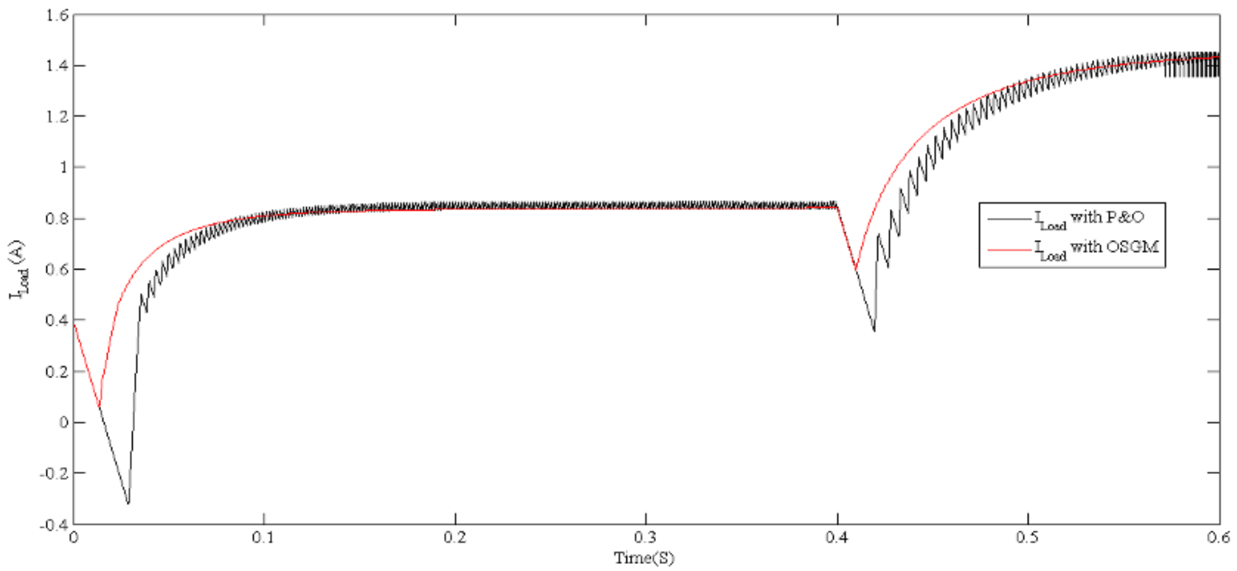
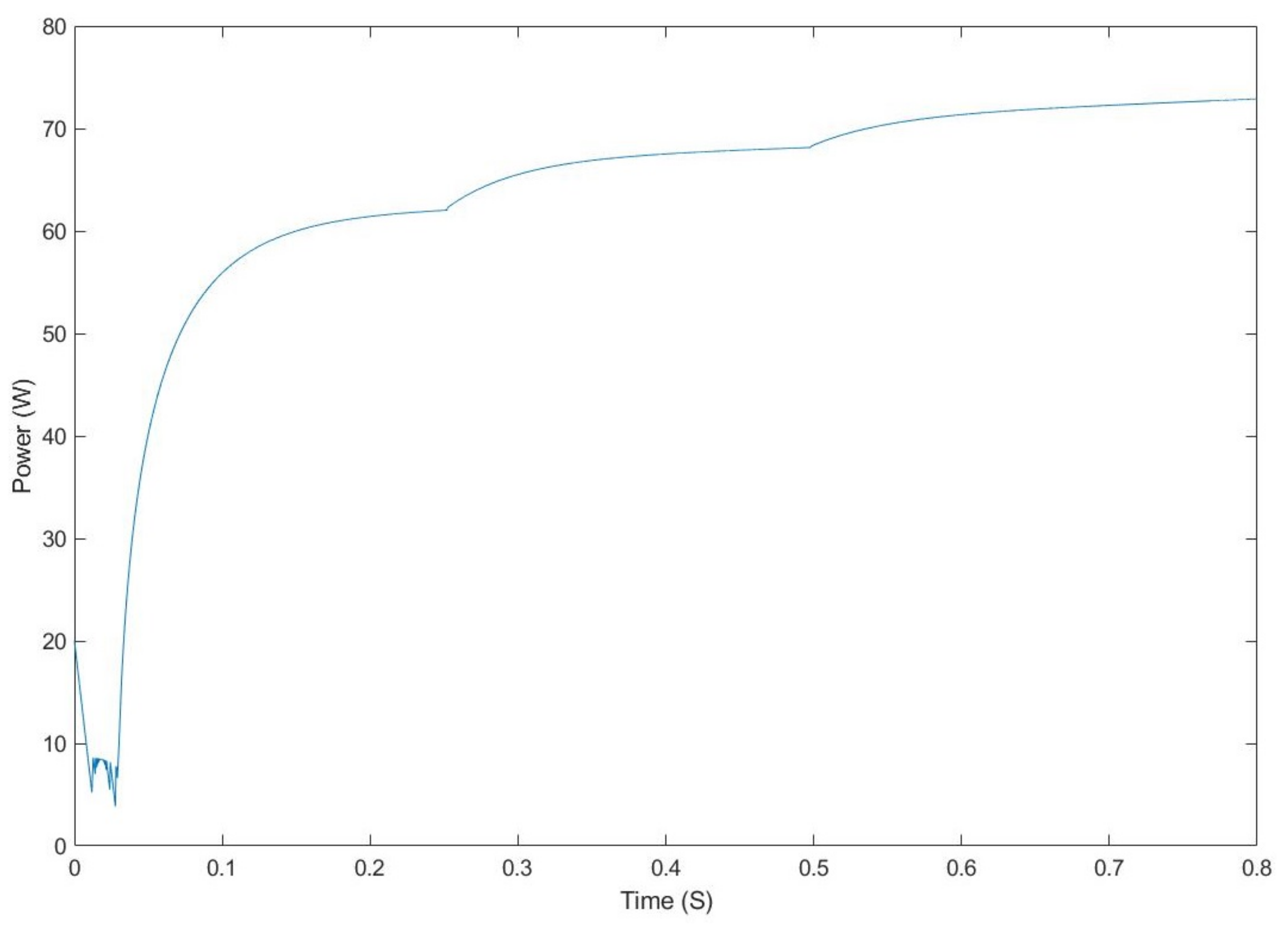
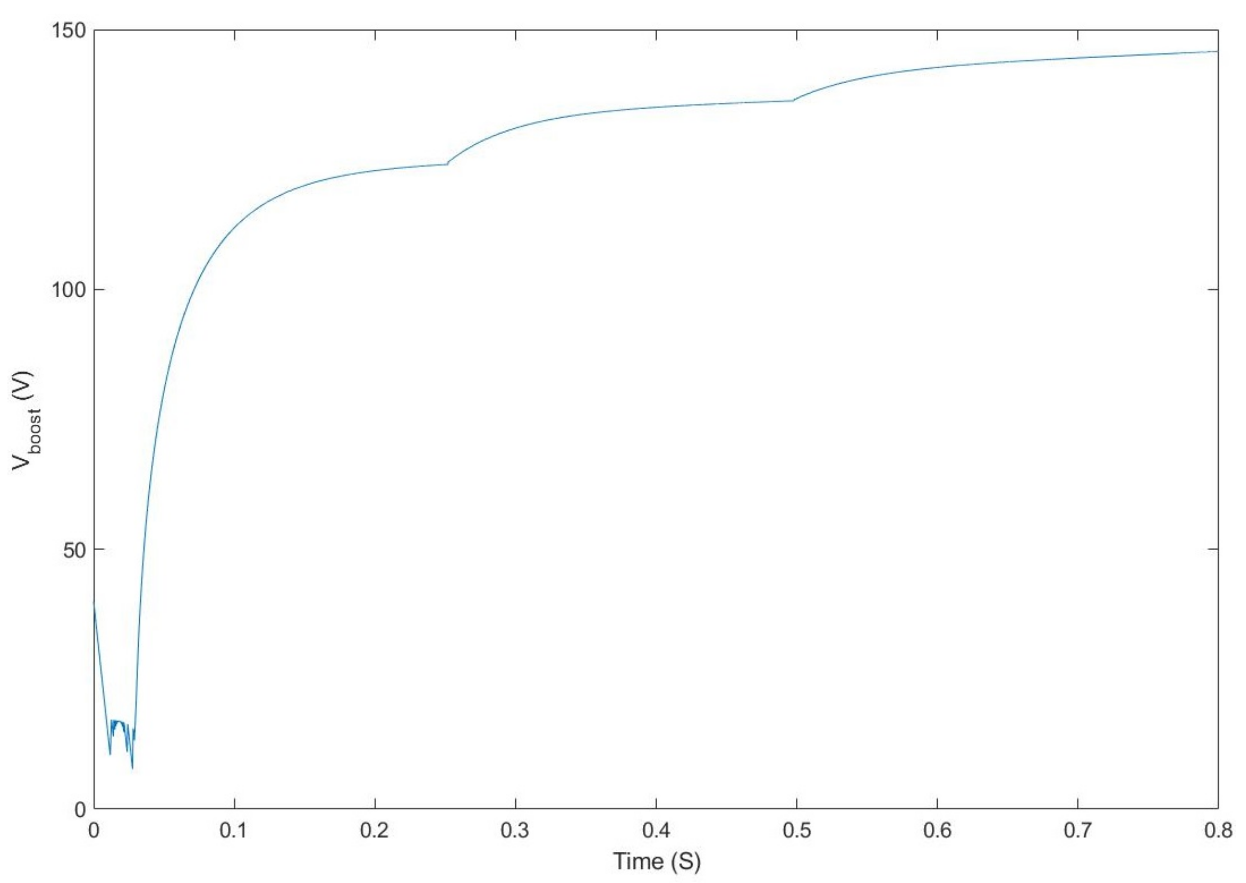
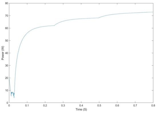
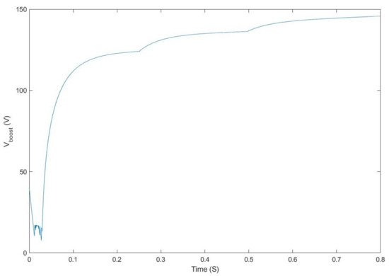
4.1. Test 1
4.2. Test 2
4.3. Test 3
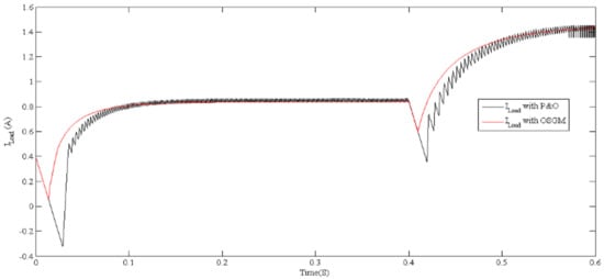
4.4. Comparative Study
5. Conclusions
Author Contributions
Funding
Data Availability Statement
Acknowledgments
Conflicts of Interest
References
- Meghni, B.; Dib, D.; Azar, A.T.; Ghoudelbourk, S.; Saadoun, A. Robust Adaptive Supervisory Fractional Order Controller for Optimal Energy Management in Wind Turbine with Battery Storage. In Studies in Computational Intelligence; Springer: Cham, Switzerland, 2017; Volume 688, pp. 165–202. [Google Scholar]
- Meghni, B.; Dib, D.; Azar, A.T.; Saadoun, A. Effective supervisory controller to extend optimal energy management in hybrid wind turbine under energy and reliability constraints. Int. J. Dyn. Control 2018, 6, 369–383. [Google Scholar] [CrossRef]
- Gorripotu, T.S.; Samalla, H.; Jagan Mohana Rao, C.; Azar, A.T.; Pelusi, D. TLBO Algorithm Optimized Fractional-Order PID Controller for AGC of Interconnected Power System. Adv. Intell. Syst. Comput. 2019, 758, 847–855. [Google Scholar]
- Lior, N. Sustainable energy development: The present (2009) situation and possible paths to the future. Energy 2010, 35, 39763994. [Google Scholar] [CrossRef]
- Antonopoulos, I.; Robu, V.; Couraud, B. Artificial intelligence and machine learning approaches to energy demand-side response: A systematic review. Renew. Sustain. Energy Rev. 2020, 130, 109899. [Google Scholar] [CrossRef]
- Bharany, S.; Sharma, S.; Khalaf, O.I.; Abdulsahib, G.M.; Al Humaimeedy, A.S.; Aldhyani, T.H.H.; Maashi, M.; Alkahtani, H. A Systematic Survey on Energy-Efficient Techniques in Sustainable Cloud Computing. Sustainability 2022, 14, 6256. [Google Scholar] [CrossRef]
- Liming, H.; Haque, E.; Barg, S. Public policy discourse, planning and measures toward sustainable energy strategies in Canada. Renew. Sustain. Energy Rev. 2008, 12, 91115. [Google Scholar] [CrossRef]
- Mahi, M.; Ismail, I.; Phoong, S.W. Mapping trends and knowledge structure of energy efficiency research: What we know and where we are going. Environ. Sci. Pollut. Res. 2021, 28, 35327–35345. [Google Scholar] [CrossRef]
- Fan, S.; Wang, Y.; Cao, S. A novel method for analyzing the effect of dust accumulation on energy efficiency loss in photovoltaic (PV) system. Energy 2021, 234, 121112. [Google Scholar] [CrossRef]
- Ridha, H.M.; Gomes, C.; Hizam, H. Multi-objective optimization and multi-criteria decision-making methods for optimal design of standalone photovoltaic system: A comprehensive review. Renew. Sustain. Energy Rev. 2021, 135, 110202. [Google Scholar] [CrossRef]
- Nassef, A.M.; Houssein, E.H.; Helmy, B.E. Modified honey badger algorithm based global MPPT for triple-junction solar photovoltaic system under partial shading condition and global optimization. Energy 2021, 254, 124363. [Google Scholar] [CrossRef]
- El Hammoumi, A.; Chtita, S.; Motahhir, S. Solar PV energy: From material to use, and the most commonly used techniques to maximize the power output of PV systems: A focus on solar trackers and floating solar panels. Energy Rep. 2022, 8, 11992–12010. [Google Scholar] [CrossRef]
- Zhu, F.; Zhong, P.; Sun, Y. A coordinated optimization framework for long-term complementary operation of a large-scale hydro-photovoltaic hybrid system: Nonlinear modeling, multi-objective optimization and robust decision-making. Energy Convers. Manag. 2020, 226, 113543. [Google Scholar] [CrossRef]
- Bhukya, L.; Kedika, N.R.; Salkuti, S.R. Enhanced Maximum Power Point Techniques for Solar Photovoltaic System under Uniform Insolation and Partial Shading Conditions: A Review. Algorithms 2022, 15, 365. [Google Scholar] [CrossRef]
- Aguila-Leon, J.; Vargas-Salgado, C.; CHIÑAS-PALACIOS, C. Solar photovoltaic Maximum Power Point Tracking controller optimization using Grey Wolf Optimizer: A performance comparison between bio-inspired and traditional algorithms. Expert Syst. Appl. 2023, 211, 118700. [Google Scholar] [CrossRef]
- Ndiaye, A.; Tankari, M.A.; Lefebvre, G. Adaptive neuro-fuzzy inference system application for the identification of a photovoltaic system and the forecasting of its maximum power point. In Proceedings of the 7th International Conference on Renewable Energy Research and Applications (ICRERA), Paris, France, 14–17 October 2018; pp. 1061–1067. [Google Scholar]
- Kuate, N.; Pascal, N.; Kenmeugne, B. Artificial neural network (ANN) and adaptive neuro-fuzzy inference system (ANFIS): Application for a photovoltaic system under unstable environmental conditions. Int. J. Energy Environ. Eng. 2022, 13, 821–829. [Google Scholar] [CrossRef]
- Belhachat, F.; Larbes, C. Global maximum power point tracking based on ANFIS approach for PV array configurations under partial shading conditions. Renew. Sustain. Energy Rev. 2017, 77, 875–889. [Google Scholar] [CrossRef]
- Walia, N.; Singh, H.; Sharma, A. ANFIS: Adaptive neuro-fuzzy inference system—A survey. Int. J. Comput. Appl. 2015, 123, 32–38. [Google Scholar] [CrossRef]
- Bataineh, K.; Eid, N. A Hybrid Maximum Power Point Tracking Method for Photovoltaic Systems for Dynamic Weather Conditions. Resources 2018, 7, 68. [Google Scholar] [CrossRef]
- Alabedin, A.Z.; El-Saadany, E.F.; Salama, M. Maximum power point tracking for Photovoltaic systems using fuzzy logic and artificial neural networks. In Proceedings of the IEEE Power and Energy Society General Meeting, Detroit, MI, USA, 24–28 July 2011; pp. 1–9. [Google Scholar]
- Kulaksiz, A. ANFIS-based estimation of PV module equivalent parameters: Application to a stand-alone PV system with MPPT controller. Turk. J. Electr. Eng. Comput. Sci. 2013, 21, 2127–2140. [Google Scholar] [CrossRef]
- Ndiaye, A.; Faye, M. Experimental Validation of PSO and Neuro-Fuzzy Soft-Computing Methods for Power Optimization of PV installations. In Proceedings of the 8th International Conference on Smart Grid (icSmartGrid), Paris, France, 17–19 June 2020; pp. 189–197. [Google Scholar]
- Manoharan, P.; Subramaniam, U.; Babu, T.S.; Padmanaban, S.; Holm-Nielsen, J.B.; Mitolo, M.; Ravichandran, S. Improved Perturb and Observation Maximum Power Point Tracking Technique for Solar Photovoltaic Power Generation Systems. IEEE Syst. J. 2021, 15, 3024–3035. [Google Scholar] [CrossRef]
- Patel, A.; Gnana Swathika, O.V.; Subramaniam, U.; Babu, T.S.; Tripathi, A.; Nag, S.; Karthick, A.; Muhibbullah, M. A Practical Approach for Predicting Power in a Small-Scale Off-Grid Photovoltaic System Using Machine Learning Algorithms. Int. J. Photoenergy 2022, 2022, 9194537. [Google Scholar] [CrossRef]
- Hmidet, A.; Subramaniam, U.; Elavarasan, R.M.; Raju, K.; Diaz, M.; Das, N.; Mehmood, K.; Karthick, A.; Muhibbullah, M.; Boubaker, O. Design of Efficient Off-Grid Solar Photovoltaic Water Pumping System Based on Improved Fractional Open Circuit Voltage MPPT Technique Available. Int. J. Photoenergy 2021, 2021, 4925433. [Google Scholar] [CrossRef]
- Inthamoussou, F.; Valenciaga, F. A fast and robust closed-loop photovoltaic MPPT approach based on sliding mode techniques. Sustain. Energy Technol. Assess. 2021, 47, 101499. [Google Scholar] [CrossRef]
- Eltawil, M.; Zhao, Z. MPPT techniques for photovoltaic applications. Renew. Sustain. Energy Rev. 2013, 25, 793–813. [Google Scholar] [CrossRef]
- Hassan, A.; Bass, O.; Masoum, M. An improved genetic algorithm based fractional open circuit voltage MPPT for solar PV systems. Energy Rep. 2023, 9, 1535–1548. [Google Scholar] [CrossRef]
- Sera, D.; Mathe, L.; Kerekes, T. On the perturb-and-observe and incremental conductance MPPT methods for PV systems. IEEE J. Photovolt. 2013, 3, 1070–1078. [Google Scholar] [CrossRef]
- Lyden, S.; Haque, E. Maximum Power Point Tracking techniques for photovoltaicsystems: A comprehensive review and comparative analysis. Renew. Sustain. Energy Rev. 2015, 52, 1504–1518. [Google Scholar] [CrossRef]
- Jordehi, A.R. Maximum power point tracking in photovoltaic (PV) systems: A review of different approaches. Renew. Sustain. Energy Rev. 2016, 65, 1127–1138. [Google Scholar] [CrossRef]
- Khan, M.J.; Mathew, L. Artificial neural network-based maximum power point trackingcontroller for real-time hybrid renewable energy system. Soft Comput. 2021, 25, 6557–6575. [Google Scholar] [CrossRef]
- Hai, T.; Wang, D.; Muranaka, T. An improved MPPT control-based ANFIS method to maximize power tracking of PEM fuel cell system. Sustain. Energy Technol. Assess. 2022, 54, 102629. [Google Scholar] [CrossRef]
- Gong, L.; Hou, G.; Huang, C. A two-stage MPPT controller for PV system based on the improved artificial bee colony and simultaneous heat transfer search algorithm. ISA Trans. 2023, 132, 428–443. [Google Scholar] [CrossRef]
- Rahman, M.; Islam, S. Artificial Neural Network Based Maximum Power Point Tracking of a Photovoltaic System. In Proceedings of the 3rd International Conference on Electrical, Computer &Telecommunication Engineering (ICECTE), Rajshahi, Bangladesh, 26–28 December 2019; pp. 117–120. [Google Scholar]
- Priyadarshi, N.; Padmanaban, S.; Mihet-Popa, L.; Blaabjerg, F.; Azam, F. Maximum Power Point Tracking for Brushless DC Motor-Driven Photovoltaic Pumping Systems Using a Hybrid ANFIS-FLOWER Pollination Optimization Algorithm. Energies 2018, 11, 1067. [Google Scholar] [CrossRef]
- Sanghavi, B.M.; Tejaswini, C.; Venkareshappa, V. DC/DC boost converter using DSP controller for fuel cell. Perspect. Commun. Embed. Syst. Signal-Process. Pices 2019, 2, 248–251. [Google Scholar]
- Hamida, M.L.; Denoun, H.; Fekik, A.; Benyahia, N.; Benamrouche, N. Cyclic reports modulation control strategy for a five cells inverter. In Proceedings of the International Conference on Electrical Sciences and Technologies in Maghreb (CISTEM), Algiers, Algeria, 28–31 October 2018; pp. 1–5. [Google Scholar]
- Amara, K.; Bakir, T.; Malek, A.; Hocine, D.; Bourennane, E.B.; Fekik, A.; Zaouia, M. An optimized steepest gradient based maximum power point tracking for PV control systems. Int. J. Electr. Eng. Inform. 2019, 11, 662–683. [Google Scholar] [CrossRef]
- Amara, K.; Fekik, A.; Hocine, D. Improved performance of a PV solar panel with adaptive neuro fuzzy inference system ANFIS based MPPT. In Proceedings of the 7th International Conference on Renewable Energy Research and Applications (ICRERA), Paris, France, 14–17 October 2018; pp. 1098–1101. [Google Scholar]
- Amara, K.; Malek, A.; Bakir, T.; Fekik, A.; Azar, A.T.; Almustafa, K.M.; Bourennane, E.B.; Hocine, D. Adaptive neuro-fuzzy inference system based maximum power point tracking for stand-alone photovoltaic system. Int. J. Model. Identif. Control 2019, 33, 311–321. [Google Scholar] [CrossRef]




















| Module Parameters | Values |
|---|---|
| Power at MPP: | = 75 W |
| Open circuit voltage: | = 21.7 V |
| Short current circuit: | = 4.8 A |
| Voltage at MPP: | = 17 V |
| Current at MPP: | = 4.4 A |
| Parameters | Values (Unit) |
|---|---|
| Boost Capacitor | 2200 µF |
| Floating Capacitor (multicell converter) | 33 µF |
| Inductance (Multicell converter) | 15 mH |
| Inductance boost | 100 mH |
| DC Voltage reference (Multicell converter) | 145 V |
| Commutation frequency | 1.5 KHz |
| PI Gains (Multi cell voltage regulation) | = 40; & = 0.001 |
Disclaimer/Publisher’s Note: The statements, opinions and data contained in all publications are solely those of the individual author(s) and contributor(s) and not of MDPI and/or the editor(s). MDPI and/or the editor(s) disclaim responsibility for any injury to people or property resulting from any ideas, methods, instructions or products referred to in the content. |
© 2023 by the authors. Licensee MDPI, Basel, Switzerland. This article is an open access article distributed under the terms and conditions of the Creative Commons Attribution (CC BY) license (https://creativecommons.org/licenses/by/4.0/).
Share and Cite
Fekik, A.; Azar, A.T.; Hameed, I.A.; Hamida, M.L.; Amara, K.; Denoun, H.; Kamal, N.A. Enhancing Photovoltaic Efficiency with the Optimized Steepest Gradient Method and Serial Multi-Cellular Converters. Electronics 2023, 12, 2283. https://doi.org/10.3390/electronics12102283
Fekik A, Azar AT, Hameed IA, Hamida ML, Amara K, Denoun H, Kamal NA. Enhancing Photovoltaic Efficiency with the Optimized Steepest Gradient Method and Serial Multi-Cellular Converters. Electronics. 2023; 12(10):2283. https://doi.org/10.3390/electronics12102283
Chicago/Turabian StyleFekik, Arezki, Ahmad Taher Azar, Ibrahim A. Hameed, Mohamed Lamine Hamida, Karima Amara, Hakim Denoun, and Nashwa Ahmad Kamal. 2023. "Enhancing Photovoltaic Efficiency with the Optimized Steepest Gradient Method and Serial Multi-Cellular Converters" Electronics 12, no. 10: 2283. https://doi.org/10.3390/electronics12102283
APA StyleFekik, A., Azar, A. T., Hameed, I. A., Hamida, M. L., Amara, K., Denoun, H., & Kamal, N. A. (2023). Enhancing Photovoltaic Efficiency with the Optimized Steepest Gradient Method and Serial Multi-Cellular Converters. Electronics, 12(10), 2283. https://doi.org/10.3390/electronics12102283

