Magnetic Localization of Wireless Ingestible Capsules Using a Belt-Shaped Array Transmitter
Abstract
1. Introduction
2. State of the Art
3. Materials and Methods
3.1. Wearable Transmitter Concepts and Simulations
3.2. System Architecture
3.2.1. Coil Driving and Demultiplexing Stage
3.2.2. Transmitter Arrays
3.2.3. Receiver Coil and Signal Acquisition
3.3. System Evaluation
4. Results
4.1. Simulation of Wearable Transmitter Concepts
4.2. Simulation Results for the Addition of a Second Receiver Coil
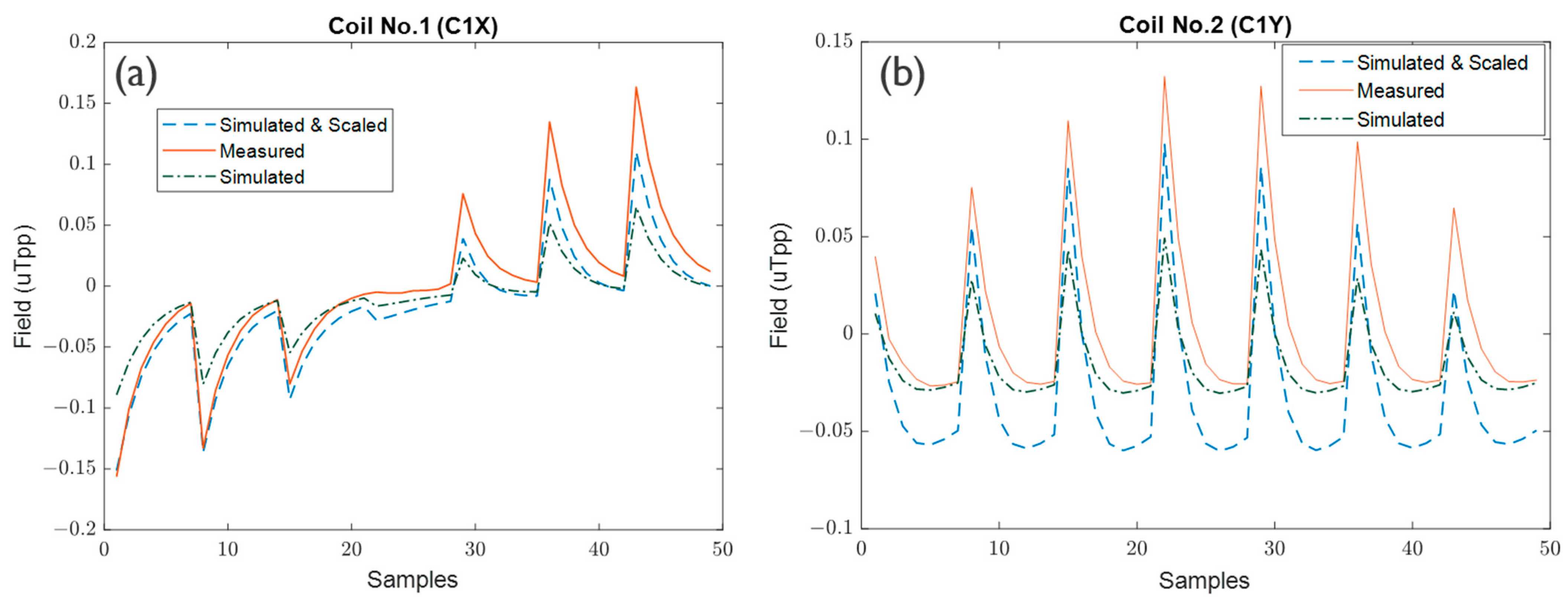
4.3. Measurement Results in Air Medium
4.4. Measurement Results in Simplified Body Phantom
5. Discussion
6. Conclusions
Author Contributions
Funding
Data Availability Statement
Acknowledgments
Conflicts of Interest
References
- Medtronic. PillCam SB 3 Capsule Endoscopy System. Available online: https://www.medtronic.com/covidien/en-us/products/capsule-endoscopy/pillcam-sb3-system.html (accessed on 28 March 2023).
- Olympus. Endocapsule 10 System. Available online: https://www.olympus-europa.com/medical/en/Products-and%20Solutions/Products/Product/ENDOCAPSULE-10-System.html#:~:text=The%20ENDOCAPSULE%2010%20System%20is,accurate%20observations%20and%20reliable%20diagnoses (accessed on 28 March 2023).
- CapsoVision. CapsoCam System. Available online: https://capsovision.com/capsocam-system/ (accessed on 28 March 2023).
- IntroMedic. MiroCam Capsule Endoscope System. Available online: http://www.intromedic.com/eng/item/item_010100_view.asp?search_kind=&gotopage=1&no=3 (accessed on 28 March 2023).
- Jinshan Group. OMOM HD Capsule Endoscopy Platform. Available online: https://www.jinshangroup.com/solutions/omom-hd-capsule-endoscopy-camera/ (accessed on 28 March 2023).
- Medtronic. SmartPill Motility Testing System. Available online: https://www.medtronic.com/covidien/en-gb/products/motility-testing/smartpill-motility-testing-system.html# (accessed on 2 April 2023).
- Atmo Biosciences. Introducing the Atmo Gas-Sensing Capsule. Available online: https://atmobiosciences.com/ (accessed on 28 March 2023).
- Caffrey, C.M.; Twomey, K.; Ogurtsov, V.I. Development of a wireless swallowable capsule with potentiostatic electrochemical sensor for gastrointestinal track investigation. Sens. Actuators B Chem. 2015, 218, 8–15. [Google Scholar] [CrossRef]
- Kimura, T.; Muguruma, N.; Ito, S.; Okamura, S.; Imoto, Y.; Miyamoto, H.; Kaji, M.; Kudo, E. Infrared fluorescence endoscopy for the diagnosis of superficial gastric tumors. Gastrointest. Endosc. 2007, 66, 37–43. [Google Scholar] [CrossRef]
- Biora Therapeutics. Targeted & Systemic Therapeutics. Available online: https://www.bioratherapeutics.com/?utm_source=pr&utm_medium=referral&utm_campaign=precision_med&utm_term=progenity-inc&utm_content=102919 (accessed on 28 March 2023).
- Mimee, M.; Nadeau, P.; Hayward, A.; Carim, S.; Flanagan, S.; Jerger, L.; Collins, J.; McDonnell, S.; Swartwout, R.; Citorik, R.J.; et al. An ingestible bacterial-electronic system to monitor gastrointestinal health. Science 2018, 360, 915–918. [Google Scholar] [CrossRef] [PubMed]
- Rezaei Nejad, H.; Oliveira, B.C.M.; Sadeqi, A.; Dehkharghani, A.; Kondova, I.; Langermans, J.A.M.; Guasto, J.S.; Tzipori, S.; Widmer, G.; Sonkusale, S.R. Ingestible Osmotic Pill for In Vivo Sampling of Gut Microbiomes. Adv. Intell. Syst. 2019, 1, 1900053. [Google Scholar] [CrossRef]
- Van Helleputte, N.; Even, A.J.G.; Leonardi, F.; Stanzione, S.; Song, M.; Garripoli, C.; Sijbers, W.; Liu, Y.-H.; Van Hoof, C. Miniaturized Electronic Circuit Design Challenges for Ingestible Devices. J. Microelectromech. Syst. 2020, 29, 645–652. [Google Scholar] [CrossRef]
- McCaffrey, C.; Chevalerias, O.; O’Mathuna, C.; Twomey, K. Swallowable-Capsule Technology. IEEE Pervasive Comput. 2008, 7, 23–29. [Google Scholar] [CrossRef]
- Basar, M.R.; Malek, F.; Juni, K.M.; Idris, M.S.; Saleh, M.I.M. Ingestible wireless capsule technology: A review of development and future indication. Int. J. Antennas Propag. 2012, 2012, 807165. [Google Scholar] [CrossRef]
- Zeising, S.; Thalmayer, A.S.; Lubke, M.; Fischer, G.; Kirchner, J. Localization of Passively Guided Capsule Endoscopes—A Review. IEEE Sens. J. 2022, 22, 20138–20155. [Google Scholar] [CrossRef]
- Ye, Y.; Pahlavan, K.; Bao, G.; Swar, P.; Ghaboosi, K. Comparative performance evaluation of RF localization for wireless capsule endoscopy applications. Int. J. Wirel. Inf. Netw. 2014, 21, 208–222. [Google Scholar] [CrossRef]
- Wang, Y.; Fu, R.; Ye, Y.; Khan, U.; Pahlavan, K. Performance bounds for RF positioning of endoscopy camera capsules. In Proceedings of the 2011 IEEE Topical Conference on Biomedical Wireless Technologies, Networks, and Sensing Systems, Phoenix, AZ, USA, 16–19 January 2011; pp. 71–74. [Google Scholar] [CrossRef]
- Li, S.; Geng, Y.; He, J.; Pahlavan, K. Analysis of three-dimensional maximum likelihood algorithm for capsule endoscopy localization. In Proceedings of the 2012 5th International Conference on Biomedical Engineering and Informatics, Chongqing, China, 16–18 October 2012; pp. 721–725. [Google Scholar]
- Bianchi, F.; Masaracchia, A.; Shojaei Barjuei, E.; Menciassi, A.; Arezzo, A.; Koulaouzidis, A.; Stoyanov, D.; Dario, P.; Ciuti, G. Localization strategies for robotic endoscopic capsules: A review. Expert Rev. Med. Devices 2019, 16, 381–403. [Google Scholar] [CrossRef]
- Wang, L.; Hu, C.; Tian, L.; Li, M.; Meng, M.Q.-H. A novel radio propagation radiation model for location of the capsule in GI tract. In Proceedings of the 2009 IEEE International Conference on Robotics and Biomimetics (ROBIO), Guilin, China, 19–23 December 2009; pp. 2332–2337. [Google Scholar]
- Makarov, S.N.; Khan, U.I.; Islam, M.M.; Ludwig, R.; Pahlavan, K. On accuracy of simple FDTD models for the simulation of human body path loss. In Proceedings of the 2011 IEEE Sensors Applications Symposium, San Antonio, TX, USA, 22–24 February 2011; pp. 18–23. [Google Scholar]
- Van De Steene, T.; Tanghe, E.; Vermeeren, G.; Torfs, T.; Castro, I.; de Wit, J.W.; Martens, L.; Joseph, W. Robust Radiofrequency Localization in highly heterogeneous environments during Wireless Capsule Endoscopy. In Proceedings of the 44th Annual International Conference of the IEEE Engineering in Meedicine and Biology Society (EMBS), Glasgow, UK, 11–15 July 2022. [Google Scholar]
- Anzai, D.; Kato, T.; Wang, J. Theoretical and experimental analyses on location/channel parameters estimation for implantable medical devices. Electron. Lett. 2017, 53, 1350–1352. [Google Scholar] [CrossRef]
- Barbi, M.; Garcia-Pardo, C.; Nevarez, A.; Pons Beltran, V.; Cardona, N. UWB RSS-Based Localization for Capsule Endoscopy Using a Multilayer Phantom and In Vivo Measurements. IEEE Trans. Antennas Propag. 2019, 67, 5035–5043. [Google Scholar] [CrossRef]
- Fischer, D.; Schreiber, R.; Levi, D.; Eliakim, R. Capsule endoscopy: The localization system. Gastrointest. Endosc. Clin. N. Am. 2004, 14, 25–31. [Google Scholar] [CrossRef]
- Marya, N.; Karellas, A.; Foley, A.; Roychowdhury, A.; Cave, D. Computerized 3-dimensional localization of a video capsule in the abdominal cavity: Validation by digital radiography. Gastrointest. Endosc. 2014, 79, 669–674. [Google Scholar] [CrossRef]
- Pourhomayoun, M.; Jin, Z.; Fowler, M.L. Accurate localization of in-body medical implants based on spatial sparsity. IEEE Trans. Biomed. Eng. 2014, 61, 590–597. [Google Scholar] [CrossRef]
- Khan, U.; Ye, Y.; Aisha, A.-U.; Swar, P.; Pahlavan, K. Precision of EM Simulation Based Wireless Location Estimation in Multi-Sensor Capsule Endoscopy. IEEE J. Transl. Eng. Health Med. 2018, 6, 1800411. [Google Scholar] [CrossRef]
- Nafchi, A.R.; Goh, S.T.; Zekavat, S.A.R. Circular arrays and inertial measurement unit for DOA/TOA/TDOA-based endoscopy capsule localization: Performance and complexity investigation. IEEE Sens. J. 2014, 14, 3791–3799. [Google Scholar] [CrossRef]
- Goh, S.T.; Reza Zekavat, S.A.; Pahlavan, K. DOA-Based Endoscopy Capsule Localization and Orientation Estimation via Unscented Kalman Filter. IEEE Sens. J. 2014, 14, 3819–3829. [Google Scholar] [CrossRef]
- Ito, T.; Anzai, D.; Wang, J. Novel joint TOA/RSSI-based WCE location tracking method without prior knowledge of biological human body tissues. In Proceedings of the 2014 36th Annual International Conference of the IEEE Engineering in Medicine and Biology Society, Chicago, IL, USA, 26–30 August 2014; pp. 6993–6996. [Google Scholar]
- Sorriento, A.; Porfido, M.B.; Mazzoleni, S.; Calvosa, G.; Tenucci, M.; Ciuti, G.; Dario, P. Optical and Electromagnetic Tracking Systems for Biomedical Applications: A Critical Review on Potentialities and Limitations. IEEE Rev. Biomed. Eng. 2020, 13, 212–232. [Google Scholar] [CrossRef]
- Wille, A.; Broll, M.; Winter, S. Phase difference based RFID navigation for medical applications. In Proceedings of the 2011 IEEE International Conference on RFID, Orlando, FL, USA, 12–14 April 2011; pp. 98–105. [Google Scholar]
- Varian Medical Systems Inc. Improving the Accuracy of Raiotherapy Using the Calypso System. Available online: https://www.varian.com/why-varian/improving-accuracy-radiotherapy-using-calypso-system#:~:text=Varian’s-Calypso®-systemand,efficient%20patient%20setup%20during%20radiotherapy (accessed on 28 March 2023).
- Ye, J.; Cao, D.; Wong, T.; Shepard, D. Real-time Target Tracking with Calypso 4D Tracking System. Available online: https://www.aapm.org/meetings/amos2/pdf/34-8075-83849-634.pdf (accessed on 28 March 2023).
- Hashi, S.; Yabukami, S.; Kanetaka, H.; Ishiyama, K.; Arai, K.I. Wireless magnetic position-sensing system using optimized pickup coils for higher accuracy. IEEE Trans. Magn. 2011, 47, 3542–3545. [Google Scholar] [CrossRef]
- Hashi, S.; Toyoda, M.; Yabukami, S.; Ishiyama, K.; Okazaki, Y.; Arai, K.I.; Kanetaka, H. Wireless magnetic motion capture system using multiple LC resonant magnetic markers with high accuracy. Sens. Actuators A Phys. 2008, 142, 520–527. [Google Scholar] [CrossRef]
- Dey, N.; Ashour, A.S.; Shi, F.; Sherratt, R.S. Wireless Capsule Gastrointestinal Endoscopy: Direction-of-Arrival Estimation Based Localization Survey. IEEE Rev. Biomed. Eng. 2017, 10, 2–11. [Google Scholar] [CrossRef] [PubMed]
- Dimas, G.; Spyrou, E.; Iakovidis, D.K.; Koulaouzidis, A. Intelligent visual localization of wireless capsule endoscopes enhanced by color information. Comput. Biol. Med. 2017, 89, 429–440. [Google Scholar] [CrossRef] [PubMed]
- Figueiredo, I.N.; Leal, C.; Pinto, L.; Figueiredo, P.N.; Tsai, R. Hybrid multiscale affine and elastic image registration approach towards wireless capsule endoscope localization. Biomed. Signal Process. Control 2018, 39, 486–502. [Google Scholar] [CrossRef]
- Iakovidis, D.K.; Dimas, G.; Karargyris, A.; Bianchi, F.; Ciuti, G.; Koulaouzidis, A. Deep Endoscopic Visual Measurements. IEEE J. Biomed. Health Inform. 2019, 23, 2211–2219. [Google Scholar] [CrossRef] [PubMed]
- Aghanouri, M.; Ghaffari, A.; Dadashi, N. Image-based localization of the active wireless capsule endoscope inside the stomach. In Proceedings of the 2017 IEEE EMBS International Conference on Biomedical & Health Informatics (BHI), Orlando, FL, USA, 16–19 February 2017; pp. 13–16. [Google Scholar]
- Vagner, I.D.; Lembrikov, B.I.; Wyder, P. Quasi-static Electromagnetic Field. In Electrodynamics of Magnetoactive Media; Springer: Berlin/Heidelberg, Germany, 2004; pp. 68–81. [Google Scholar]
- Schlageter, V.; Drljaca, P.; Popovic, R.S.; Kučera, P. A magnetic tracking system based on highly sensitive integrated hall sensors. JSME Int. J. Ser. C Mech. Syst. Mach. Elem. Manuf. 2002, 45, 967–973. [Google Scholar] [CrossRef]
- Hedsund, C.; Joensson, I.M.; Gregersen, T.; Fynne, L.; Schlageter, V.; Krogh, K. Magnet tracking allows assessment of regional gastrointestinal transit times in children. Clin. Exp. Gastroenterol. 2013, 6, 201–208. [Google Scholar] [CrossRef]
- WorsØe, J.; Fynne, L.; Gregersen, T.; Schlageter, V.; Christensen, L.A.; Dahlerup, J.F.; Rijkhoff, N.J.M.; Laurberg, S.; Krogh, K. Gastric transit and small intestinal transit time and motility assessed by a magnet tracking system. BMC Gastroenterol. 2011, 11, 145. [Google Scholar] [CrossRef] [PubMed]
- Hiroz, P.; Schlageter, V.; Givel, J.C.; Kucera, P. Colonic movements in healthy subjects as monitored by a magnet tracking system. Neurogastroenterol. Motil. 2009, 21, 838-e57. [Google Scholar] [CrossRef]
- Stathopoulos, E.; Schlageter, V.; Meyrat, B.; De Ribaupierre, Y.; Kucera, P. Magnetic pill tracking: A novel non-invasive tool for investigation of human digestive motility. Neurogastroenterol. Motil. 2005, 17, 148–154. [Google Scholar] [CrossRef]
- Haase, A.M.; Gregersen, T.; Schlageter, V.; Scott, M.S.; Demierre, M.; Kucera, P.; Dahlerup, J.F.; Krogh, K. Pilot study trialling a new ambulatory method for the clinical assessment of regional gastrointestinal transit using multiple electromagnetic capsules. Neurogastroenterol. Motil. 2014, 26, 1783–1791. [Google Scholar] [CrossRef]
- Zeising, S.; Anzai, D.; Thalmayer, A.; Fischer, G.; Kirchner, J. Evaluation of the Impact of Static Interference on an Empirical Data Based Static Magnetic Localization Setup for Capsule Endoscopy. Curr. Dir. Biomed. Eng. 2020, 6, 66–69. [Google Scholar] [CrossRef]
- Merino, J.L.; Kazanc, O.; Brunner, N.; Schlageter, V.; Demierre, M.; Dehollain, C. Pediatric Size Swallowable Glass Pill for Digestive Motility Analysis. In Proceedings of the 2018 IEEE International Symposium on Circuits and Systems (ISCAS), Florence, Italy, 27–30 May 2018. [Google Scholar] [CrossRef]
- Merino, J.L.; Kazanc, O.; Brunner, N.; Schlageter, V.; Demierre, M.; Dehollain, C. Low power receiver for magnetic digestive motility tracking pill. In Proceedings of the 2015 IEEE International Symposium on Circuits and Systems (ISCAS), Lisbon, Portugal, 24–27 May 2015; pp. 469–472. [Google Scholar] [CrossRef]
- Pham, D.M.; Aziz, S.M. A real-time localization system for an endoscopic capsule using magnetic sensors. Sensors 2014, 14, 20910–20929. [Google Scholar] [CrossRef]
- Hu, C.; Meng, M.Q.; Mandal, M. Efficient magnetic localization and orientation technique for capsule endoscopy. In Proceedings of the 2005 IEEE/RSJ International Conference on Intelligent Robots and Systems, Edmonton, AB, Canada, 2–6 August 2005; pp. 628–633. [Google Scholar] [CrossRef]
- Hu, C.; Li, M.; Song, S.; Yang, W.; Zhang, R.; Meng, M.Q.H. A Cubic 3-Axis Magnetic Sensor Array for Wirelessly Tracking Magnet Position and Orientation. IEEE Sens. J. 2010, 10, 903–913. [Google Scholar] [CrossRef]
- Hu, C.; Ren, Y.; You, X.; Yang, W.; Song, S.; Xiang, S.; He, X.; Zhang, Z.; Meng, M.Q.H. Locating Intra-Body Capsule Object by Three-Magnet Sensing System. IEEE Sens. J. 2016, 16, 5167–5176. [Google Scholar] [CrossRef]
- Shao, G.; Tang, Y.; Tang, L.; Dai, Q.; Guo, Y.X. A Novel Passive Magnetic Localization Wearable System for Wireless Capsule Endoscopy. IEEE Sens. J. 2019, 19, 3462–3472. [Google Scholar] [CrossRef]
- Wu, X.; Hou, W.; Peng, C.; Zheng, X.; Fang, X.; He, J. Wearable magnetic locating and tracking system for MEMS medical capsule. Sens. Actuators A Phys. 2008, 141, 432–439. [Google Scholar] [CrossRef]
- Dai, H.; Hu, C.; Su, S.; Lin, M.; Song, S. Geomagnetic Compensation for the Rotating of Magnetometer Array During Magnetic Tracking. IEEE Trans. Instrum. Meas. 2019, 68, 3379–3386. [Google Scholar] [CrossRef]
- Wang, M.; Song, S.; Liu, J.; Meng, M.Q.-H. Multipoint Simultaneous Tracking of Wireless Capsule Endoscope Using Magnetic Sensor Array. IEEE Trans. Instrum. Meas. 2021, 70, 7502510. [Google Scholar] [CrossRef]
- Song, S.; Wang, S.; Yuan, S.; Wang, J.; Liu, W.; Meng, M.Q.H. Magnetic Tracking of Wireless Capsule Endoscope in Mobile Setup Based on Differential Signals. IEEE Trans. Instrum. Meas. 2021, 70, 4005208. [Google Scholar] [CrossRef]
- Zeising, S.; Chen, L.; Thalmayer, A.; Lübke, M.; Fischer, G.; Kirchner, J. Tracking the Traveled Distance of Capsule Endoscopes along a Gastrointestinal-Tract Model Using Differential Static Magnetic Localization. Diagnostics 2022, 12, 1333. [Google Scholar] [CrossRef] [PubMed]
- Sharma, S.; Ding, G.; Telikicherla, A.; Aghlmand, F.; Talkhooncheh, A.H.; Wang, M.; Shapiro, M.G.; Emami, A. 3D Surgical Alignment with 100 µm Resolution Using Magnetic-Field Gradient-Based Localization. In Proceedings of the 2020 IEEE International Solid-State Circuits Conference-(ISSCC), San Francisco, CA, USA, 16–20 February 2020; pp. 318–320. [Google Scholar]
- Sharma, S.; Ramadi, K.B.; Poole, N.H.; Srinivasan, S.S.; Ishida, K.; Kuosmanen, J.; Jenkins, J.; Aghlmand, F.; Swift, M.B.; Shapiro, M.G.; et al. Location-aware ingestible microdevices for wireless monitoring of gastrointestinal dynamics. Nat. Electron. 2023, 6, 242–256. [Google Scholar] [CrossRef]
- Northern Digital Inc. Aurora: Minimally Invasive Procedures with Electromagnetic Tracking Technology. Available online: https://www.ndigital.com/electromagnetic-tracking-technology/aurora/ (accessed on 2 April 2023).
- Pholemus Tracking. Available online: https://polhemus.com/ (accessed on 29 March 2023).
- Amfitrack. Next Generation Motion Tracking. Available online: https://www.amfitrack.com/ (accessed on 29 March 2023).
- Paperno, E.; Plotkin, A. 3D magnetic tracking of a single subminiature coil with a large 2D-array of uniaxial transmitters. IEEE Trans. Magn. 2003, 39, 3295–3297. [Google Scholar] [CrossRef]
- Plotkin, A.; Paperno, E.; Vasserman, G.; Segev, R. Magnetic tracking of eye motion in small, fast-moving animals. IEEE Trans. Magn. 2008, 44, 4492–4495. [Google Scholar] [CrossRef]
- Plotkin, A.; Shafrir, O.; Paperno, E.; Kaplan, D.M. Magnetic eye tracking: A new approach employing a planar transmitter. IEEE Trans. Biomed. Eng. 2010, 57, 1209–1215. [Google Scholar] [CrossRef] [PubMed]
- Islam, M.N.; Fleming, A.J. A novel and compatible sensing coil for a capsule in wireless capsule endoscopy for real time localization. Proc. IEEE Sens. 2014, 2014, 1607–1610. [Google Scholar] [CrossRef]
- Yang, W.; Zhang, C.; Dai, H.; Hu, C.; Xia, X. A Novel Wireless 5-D Electromagnetic Tracking System Based on Nine-Channel Sinusoidal Signals. IEEE/ASME Trans. Mechatron. 2021, 26, 246–254. [Google Scholar] [CrossRef]
- O’Donoghue, K.; Corvo, A.; Nardelli, P.; Shea, C.O.; Khan, K.A.; Kennedy, M.; Cantillon-Murphy, P. Evaluation of a novel tracking system in a breathing lung model. In Proceedings of the 2014 36th Annual International Conference of the IEEE Engineering in Medicine and Biology Society, Chicago, IL, USA, 26–30 August 2014; pp. 4046–4049. [Google Scholar] [CrossRef]
- Islam, M.N.; Fleming, A.J. Resonance-Enhanced Coupling for Range Extension of Electromagnetic Tracking Systems. IEEE Trans. Magn. 2018, 54, 5700109. [Google Scholar] [CrossRef]
- Nagaoka, T.; Uchiyama, A. Development of a small wireless position sensor for medical capsule devices. In Proceedings of the 26th Annual International Conference of the IEEE Engineering in Medicine and Biology Society, San Francisco, CA, USA, 1–5 September 2004; pp. 2137–2140. [Google Scholar] [CrossRef]
- Jaeger, H.A.; Franz, A.M.; O’Donoghue, K.; Seitel, A.; Trauzettel, F.; Maier-Hein, L.; Cantillon-Murphy, P. Anser EMT: The first open-source electromagnetic tracking platform for image-guided interventions. Int. J. Comput. Assist. Radiol. Surg. 2017, 12, 1059–1067. [Google Scholar] [CrossRef]
- O’Donoghue, K.; Eustace, D.; Griffiths, J.; O’Shea, M.; Power, T.; Mansfield, H.; Cantillon-Murphy, P. Catheter Position Tracking System Using Planar Magnetics and Closed Loop Current Control. IEEE Trans. Magn. 2014, 50, 5100209. [Google Scholar] [CrossRef]
- Dai, H.; Song, S.; Zeng, X.; Su, S.; Lin, M.; Meng, M.Q.H. 6-D Electromagnetic Tracking Approach Using Uniaxial Transmitting Coil and Tri-Axial Magneto-Resistive Sensor. IEEE Sens. J. 2018, 18, 1178–1186. [Google Scholar] [CrossRef]
- O’Donoghue, K.; Cantillon-Murphy, P. Planar Magnetic Shielding for Use With Electromagnetic Tracking Systems. IEEE Trans. Magn. 2015, 51, 8500112. [Google Scholar] [CrossRef]
- O’Donoghue, K. Electromagnetic Tracking and Steering for Catheter Navigation; University College Cork: Cork, Ireland, 2014. [Google Scholar]
- Vanden Berghen, F. Levnberg-Marquardt Algorithms vs. Trust Revion Algorithms. Available online: http://www.applied-mathematics.net/LMvsTR/LMvsTR.pdf (accessed on 30 March 2023).
- Ortner, M.; Coliado Bandeira, L.G. Magpylib: A free Python package for magnetic field computation. SoftwareX 2020, 11, 100466. [Google Scholar] [CrossRef]
- Chen, H.; Shyh-Liang Low, A. A Study of RF Power Attenuation in Bio-tissues. J. Med. Biol. Eng. 2004, 24, 141–146. [Google Scholar]
- Sonntag, C.L.W.; Sprée, M.; Lomonova, E.A.; Duarte, J.L.; Vandenput, A.J.A. Accurate Magnetic Field Intensity Calculations for Contactless Energy Transfer Coils. In Proceedings of the 16th International Conference on the Computation of Electromagnetic Fields, Aachen, Germany, 25–28 June 2007; pp. 1–4. [Google Scholar]
- Camelia, G. Compilation of the Dielectric Properties of Body Tissues at RF and Microwave Frequencies; King’s College London: London, UK, 1996. [Google Scholar]
- McCleskey, R.B. Electrical Conductivity of Electrolytes Found In Natural Waters from (5 to 90) °C. J. Chem. Eng. Data 2011, 56, 317–327. [Google Scholar] [CrossRef]
- Castello-Palacios, S.; Valles-Lluch, A.; Garcia-Pardo, C.; Fornes-Leal, A.; Cardona, N. Formulas for easy-to-prepare tailored phantoms at 2.4 GHz ISM band. In Proceedings of the 2017 11th International Symposium on Medical Information and Communication Technology (ISMICT), Lisbon, Portugal, 6–8 February 2017; pp. 27–31. [Google Scholar]
- Finite Element Method Magnetics. Available online: https://www.femm.info/wiki/HomePage (accessed on 29 March 2023).




















| Instrumentation Amplifier | Size | Quiescent Current | Bandwidth @ Gain ×50 | Available Gain |
|---|---|---|---|---|
| INA350 | 2 mm × 2 mm | 100 µA | 25 kHz | ×30, ×50 * |
| MCP6N11 | 2 mm × 3 mm | 800 µA | 100 kHz (GBP: 5 MHz) | ≥×10 |
| Transmitter Array | Instrumentation Amplifier/ Theoretical Gain | Current through Coil | Low-Pass Filter/Additional Amplification | Characterized Total Gain | Tested Planes above Transmitter |
|---|---|---|---|---|---|
| Planar Transmitter * | INA350/× 50 | 325 mA | 100 kHz, (12 dB/Octave)/× 1 | ×33 | (7–20) cm *** |
| MCP6N11/× 50 | 144 mA | 30 kHz, (12 dB/Octave)/× 1 | ×28 | (5–20) cm | |
| Belt Transmitter ** | INA350/× 50 | 1 A | 100 kHz, (6 dB/Octave)/× 10 | ×359 | (7.5–20) cm |
Disclaimer/Publisher’s Note: The statements, opinions and data contained in all publications are solely those of the individual author(s) and contributor(s) and not of MDPI and/or the editor(s). MDPI and/or the editor(s) disclaim responsibility for any injury to people or property resulting from any ideas, methods, instructions or products referred to in the content. |
© 2023 by the authors. Licensee MDPI, Basel, Switzerland. This article is an open access article distributed under the terms and conditions of the Creative Commons Attribution (CC BY) license (https://creativecommons.org/licenses/by/4.0/).
Share and Cite
Castro, I.; de Wit, J.W.; van Vooren, J.; Van Quaethem, T.; Huang, W.; Torfs, T. Magnetic Localization of Wireless Ingestible Capsules Using a Belt-Shaped Array Transmitter. Electronics 2023, 12, 2217. https://doi.org/10.3390/electronics12102217
Castro I, de Wit JW, van Vooren J, Van Quaethem T, Huang W, Torfs T. Magnetic Localization of Wireless Ingestible Capsules Using a Belt-Shaped Array Transmitter. Electronics. 2023; 12(10):2217. https://doi.org/10.3390/electronics12102217
Chicago/Turabian StyleCastro, Ivan, Jan Willem de Wit, Jasper van Vooren, Tom Van Quaethem, Weixi Huang, and Tom Torfs. 2023. "Magnetic Localization of Wireless Ingestible Capsules Using a Belt-Shaped Array Transmitter" Electronics 12, no. 10: 2217. https://doi.org/10.3390/electronics12102217
APA StyleCastro, I., de Wit, J. W., van Vooren, J., Van Quaethem, T., Huang, W., & Torfs, T. (2023). Magnetic Localization of Wireless Ingestible Capsules Using a Belt-Shaped Array Transmitter. Electronics, 12(10), 2217. https://doi.org/10.3390/electronics12102217

