An Improved VLSI Algorithm for an Efficient VLSI Implementation of a Type IV DCT That Allows an Efficient Incorporation of Hardware Security with a Low Overhead
Abstract
:1. Introduction
- An efficient reformulation of the DCT IV algorithm that allows a decomposition of the algorithm into only six regular and modular computation structures called quasi-cycle convolutions.
- Using the proposed VLSI algorithm, a significant reduction of the hardware complexity has been attained by using only six matrix-vector products instead of eight, as reported in the literature.
- The proposed VLSI algorithm allows a further reduction of the hardware complexity and also improves the speed performances by replacing the general multipliers with multipliers implemented using a small number of adders or subtractors.
- The proposed solution allows an efficient incorporation of the hardware security techniques with low overheads, which is important for devices produced on a large scale such as common goods.
- It allows designing of an efficient VLSI architecture with a significantly reduced hardware complexity as compared with existing solutions. It also maintains high speed performances using parallel processing and pipelining, and even improves on them.
2. A New VLSI Algorithm for DCT IV
3. The VLSI Architecture for DCT IV Obtained Using the Proposed VLSI Algorithm
3.1. Designing the VLSI Architecture
3.2. The Obfuscation Technique Used in the Proposed Design
3.3. The VLSI Architecture for the Hardware Core of the VLSI Implementation of DCT IV
4. Results
5. Discussion
5.1. Discussion about the Main Futures of the Proposed Solution
5.2. Comparison with Similar Solutions for the VLSI Implementation of DCT IV
6. Conclusions
Funding
Institutional Review Board Statement
Informed Consent Statement
Data Availability Statement
Acknowledgments
Conflicts of Interest
References
- Jain, A.K. A sinosoidal family of unitary transforms. IEEE Trans. Pattern Mach. Intell. 1979, I, 356–365. [Google Scholar] [CrossRef] [PubMed]
- Jing, C.; Tai, H.-M. Fast algorithm for computing modulated lapped transform. Electron. Lett. 2001, 37, 796–797. [Google Scholar] [CrossRef]
- Malvar, H.S. Lapped transforms for efficient transforms/subband coding. IEEE Trans. Acoust. Speech Signal Process. 1990, 38, 969–978. [Google Scholar] [CrossRef]
- Malvar, H.S. Signal Processing with Lapped Transforms; Artech House: Norwood, MA, USA, 1991. [Google Scholar]
- Kung, S.Y. VLSI Array Processors; Prentice Hall: Englewood Cliffs, NJ, USA, 1988. [Google Scholar]
- Koteshwara, S.; Kim, C.H.; Parhi, K.K. Key-Based Dynamic Functional Obfuscation of Integrated Circuits using Sequentially-Triggered Mode-Based Design. IEEE Trans. Inf. Forensics Secur. 2018, 13, 79–93. [Google Scholar] [CrossRef]
- Chakraborty, R.S.; Bhunia, S. Security against hardware Trojan through a novel application of design obfuscation. In Proceedings of the 2009 IEEE/ACM International Conference on Computer-Aided Design-Digest of Technical Papers, San Jose, CA, USA, 2–5 November 2009; pp. 113–116. [Google Scholar]
- Knechtel, J.; Patnaik, S.; Sinanoglu, O. Protect your chip design intellectual property: An overview. In Proceedings of the International Conference on Omni-Layer Intelligent Systems, Barcelona, Spain, 1–3 August 2019; pp. 211–216. [Google Scholar]
- Pilato, C.; Garg, S.; Wu, K.; Karri, R.; Regazzoni, F. Securing hardware accelerators: A new challenge for high-level synthesis. IEEE Embedded Syst. Lett. 2018, 10, 77–80. [Google Scholar] [CrossRef]
- Zhang, J. A practical logic obfuscation technique for hardware security. IEEE Trans. Very Large Scale Integr. (VLSI) Syst. 2016, 24, 1193–1197. [Google Scholar] [CrossRef]
- Chen, S.; Chen, J.; Wang, L. A chip-level anti-reverse engineering technique. J. Emerg. Technol. Comput. Syst. 2018, 2, 1–20. [Google Scholar] [CrossRef]
- Shamsi, K.; Li, M.; Meade, T.; Zhao, Z.; Pan, D.Z.; Jin, Y. AppSAT: Approximately deobfuscating integrated circuits. In Proceedings of the 2017 IEEE International Symposium on Hardware Oriented Security and Trust (HOST), Mclean, VA, USA, 1–5 May 2017; pp. 95–100. [Google Scholar]
- Sengupta, A.; Roy, D.; Mohanty, S.P.; Corcoran, P. Low-cost obfuscated JPEG CODEC IP core for secure CE hardware. IEEE Trans. Consum. Electron. 2018, 64, 365–374. [Google Scholar] [CrossRef]
- Sengupta, A.; Roy, D.; Mohanty, S.P.; Corcoran, P. DSP design protection in CE through algorithmic transformation based structural obfuscation. IEEE Trans. Consum. Electron. 2017, 63, 467–476. [Google Scholar] [CrossRef]
- Parhi, K.K.; Koteshwara, S. Dynamic Functional Obfuscation. U.S. Patent 15/667 776, 3 August 2017. [Google Scholar]
- Koteshwara, S.; Kim, C.H.; Parhi, K.K. Hierarchical functional obfuscation of integrated circuits using a mode-based approach. In Proceedings of the 2017 IEEE International Symposium on Circuits and Systems (ISCAS), Baltimore, MD, USA, 28–31 May 2017. [Google Scholar]
- Chiper, D.F.; Cotorobai, L. A Unified VLSI architecture for 1D IDCT and IDST based on pseudo-band correlations. In Proceedings of the 10th International Conference on Electronics, Computers and Artificial Intelligence (ECAI), Iasi, Romania, 28–30 June 2018. [Google Scholar]
- Xie, J.; Meher, P.K.; He, J. Hardware-Efficient Realization of Prime-Length DCT Based on Distributed Arithmetic. IEEE Trans. Comput. 2013, 62, 1170–1178. [Google Scholar] [CrossRef]
- Chen, Z.; Han, Q.; Cham, W.-K. Low-Complexity Order-64 Integer Cosine Transform Design and Its Application in HEVC. IEEE Trans. Circuits Syst. Video Technol. 2018, 28, 2407–2412. [Google Scholar] [CrossRef]
- Meher, P.K. Systolic designs for DCT using low-complexity concurrent convolutional formulation. IEEE Trans. Circuits Syst. Video Technol. 2006, 16, 1041–1050. [Google Scholar] [CrossRef]
- Chiper, D.F. A new systolic array algorithm for memory-based VLSI array implementation of DCT. In Proceedings of the Proceedings Second IEEE Symposium on Computer and Communications, Alexandria, Egypt, 1–3 July 1997; pp. 297–301. [Google Scholar]
- Yu, S.; Swartzlander, E.E. DCT Implementation with Distributed Arithmetic. IEEE Trans. Comput. 2001, 50, 985–991. [Google Scholar]
- Kim, D.W.; Kwon, T.W.; Seo, J.M.; Yu, J.K.; Lee, S.K.; Suk, J.H.; Choi, J.R. A compatible DCT/IDCT architecture using hardwired distributed arithmetic. In Proceedings of the ISCAS 2001. The 2001 IEEE International Symposium on Circuits and Systems ISCAS’2001, Sydney, NSW, Australia, 6–9 May 2001; Volume II, pp. 457–460. [Google Scholar]
- Madisetti, A.; Wilson, A.N., Jr. A 100 Mhz 2-D 8x8 DCT/IDCT processor for HDTV applications. IEEE Trans. Circuits Syst. Video Technol. 1995, 5, 158–165. [Google Scholar] [CrossRef]
- Chiper, D.F.; Swamy, M.N.S.; Ahmad, M.O. An Efficient Unified Framework for the VLSI Implementation of a Prime-Length DCT/IDCT with High Throughput. IEEE Trans. Signal Process. 2007, 54, 2925–2936. [Google Scholar] [CrossRef]
- Hsiao, S.F.; Shiue, W.R.; Tseng, J.M. Design and implementation of a novel linear array DCT/IDCT processor with complexity of order. IEEE Proc. Vis. Image Signal Process. 2000, 147, 400–408. [Google Scholar] [CrossRef]
- Chiper, D.F.; Ungureanu, P. Novel VLSI Algorithm and Architecture with Good Quantization Properties for a High-Throughput Area Efficient Systolic Array Implementation of DCT. EURASIP J. Adv. Signal Process. 2011, 2011, 1–14. [Google Scholar] [CrossRef]
- Chiper, D.F. New VLSI Algortihm for a High-Throughput Implementation of Type IV DCT. In Proceedings of the International Conference on Communications (COMM), Bucharest, Romania, 9–11 June 2016. [Google Scholar]
- Luo, C.; Ma, W.; Juang, W.; Kuo, S.; Chen, C.; Tai, P.; Lai, S. An ECG Acquisition System Prototype Design with Flexible PDMS Dry Electrodes and Variable Transform Length DCT-IV Based Compression Algorithm. IEEE Sens. J. 2016, 16, 8244–8254. [Google Scholar] [CrossRef]
- Lai, S.-C.; Chien, W.-C.; Lan, C.-S.; Lee, M.-K.; Luo, C.-H.; Lei, S.-F. An efficient DCT-IV-based ECG compression algorithm and its hardware accelerator design. In Proceedings of the International Symposium on Circuits and Systems (ISCAS), Daegu, Republic of Korea, 19–23 March 2013; pp. 1296–1299. [Google Scholar]
- Chiper, D.F.; Cotorobai, L. A New VLSI Algorithm for type IV DCT for an Efficient Implementation of Obfuscation Technique. In Proceedings of the 43rd International Conference on Telecommunications and Signal Processing (TSP), Milan, Italy, 7–9 July 2020. [Google Scholar]
- Chiper, D.F.; Cotorobai, L.T. A New Approach for a Unified Architecture for Type IV DCT/DST with an Efficient Incorporation of Obfuscation Technique. Electronics 2021, 10, 1656. [Google Scholar] [CrossRef]
- Chiper, D.F. A parallel VLSI algorithm for a high throughput systolic, array VLSI implementation of type IV DCT. In Proceedings of the 2009 International Symposium on Signals, Circuits and Systems, Iasi, Romania, 9–10 July 2009; Volume 1, pp. 257–260. [Google Scholar]
- Chiper, D.F. An Efficient Algorithm for a Memory-Based Systolic Array VLSI Implementation of Type IV DCT. In Proceedings of the 2015 International Symposium on Signals, Circuits and Systems (ISSCS), Iasi, Romania, 9–10 July 2015; pp. 1–4. [Google Scholar]
- Kidamni, S.S. Recursive Implementation of the DCT-IV and DST-IV. In Proceedings of the IEEE Symposium on Advances in Digital Filtering and Signal Processing. Symposium Proceedings(Cat. No.98EX185), Victoria, BC, Canada, 5–6 June 1998. [Google Scholar]
- Chiper, D.F.; Cotorobai, L. A New VLSI Algorithm for an Efficient VLSI Implementation of Type IV DST based on Short Band-Correlation Structures. In Proceedings of the 2020 13th International Conference on Communications (COMM), Bucharest, Romania, 18–20 June 2020. [Google Scholar]
- Murphy, N.R.; Swamy, M.N.S. On the On-Line Computation of DCT-IV and DST-IV Transforms. IEEE Trans. Signal Process. 1995, 43, 1249–1251. [Google Scholar] [CrossRef]
- Chiper, D.F.; Ahmad, M.O.; Swamy, M.N. A Unified VLSI Algorithm for a High Performance Systolic Array Implementation of Type IV DCT/DST. In Proceedings of the International Symposium on Signals, Circuits and Systems ISSCS, Iasi, Romania, 11–12 July 2013. [Google Scholar]
- Jen, C.W.; Hsu, H.Y. The design of a systolic array with tags input. In Proceedings of the 1988 IEEE International Symposium on Circuits and Systems (ISCAS), Espoo, Finland, 7–9 June 1988; pp. 2263–2266. [Google Scholar]














| Representation | Number of Adders/Subtractors | |
|---|---|---|
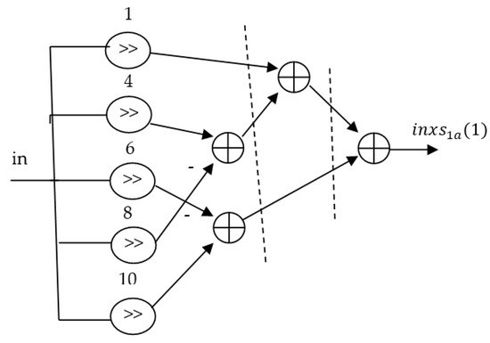
| s1a(1) | 4 | |
| s1a(2) | 3 | |
| s1a(3) | 4 | |
| s(4) | 3 | |
| s(3) | 2 | |
| s(1) | 2 | |
| s1c(1) | 4 | |
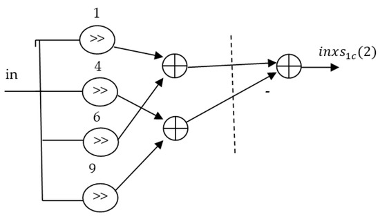
| s1c(2) | 3 | |
| s1c(3) | 3 |
| Architectures | Multipliers | Adders | Throughput | Critical Path |
|---|---|---|---|---|
| [34] | (N + 3)/2 | 3(N + 1)/2 + 1 | 2/(N − 1) | Max (Tmem,Ta) |
| [28] | (N + 1)/2 | N | 4/(N − 1) | Tmul |
| [31] | (N + 1)/2 | N | 4/(N − 1) | Tmul + Ta |
| [32] | (N − 1)/2 | N | 4/(N − 1) | Tmul + Ta |
| Proposed | 3(N − 1)/4 | 3(N − 1)/4 | 4/(N − 1) | Ta |
Disclaimer/Publisher’s Note: The statements, opinions and data contained in all publications are solely those of the individual author(s) and contributor(s) and not of MDPI and/or the editor(s). MDPI and/or the editor(s) disclaim responsibility for any injury to people or property resulting from any ideas, methods, instructions or products referred to in the content. |
© 2023 by the author. Licensee MDPI, Basel, Switzerland. This article is an open access article distributed under the terms and conditions of the Creative Commons Attribution (CC BY) license (https://creativecommons.org/licenses/by/4.0/).
Share and Cite
Chiper, D.F. An Improved VLSI Algorithm for an Efficient VLSI Implementation of a Type IV DCT That Allows an Efficient Incorporation of Hardware Security with a Low Overhead. Electronics 2023, 12, 243. https://doi.org/10.3390/electronics12010243
Chiper DF. An Improved VLSI Algorithm for an Efficient VLSI Implementation of a Type IV DCT That Allows an Efficient Incorporation of Hardware Security with a Low Overhead. Electronics. 2023; 12(1):243. https://doi.org/10.3390/electronics12010243
Chicago/Turabian StyleChiper, Doru Florin. 2023. "An Improved VLSI Algorithm for an Efficient VLSI Implementation of a Type IV DCT That Allows an Efficient Incorporation of Hardware Security with a Low Overhead" Electronics 12, no. 1: 243. https://doi.org/10.3390/electronics12010243
APA StyleChiper, D. F. (2023). An Improved VLSI Algorithm for an Efficient VLSI Implementation of a Type IV DCT That Allows an Efficient Incorporation of Hardware Security with a Low Overhead. Electronics, 12(1), 243. https://doi.org/10.3390/electronics12010243

