Decentralized Energy Management System in Microgrid Considering Uncertainty and Demand Response
Abstract
1. Introduction
- The time-series forecasting ARMA model is introduced to predict wind and PV generations as well as load demand for the proposed decentralized energy management system, which can reduce the computational burden.
- The particle swarm optimization (PSO) technique is applied to implement the optimal generation scheduling based on the forecast data of wind, PV, and load demand to reduce the operation costs of the microgrid system.
- The proposed method incorporates the demand response (DR) which does not require probability constraint parameters to tackle the deviation from the forecasting data.
2. Methodology
2.1. Forecasting Technique
2.2. Optimal Generation Scheduling
2.3. Proposed Objective Function
3. Results and Discussion
3.1. Test System
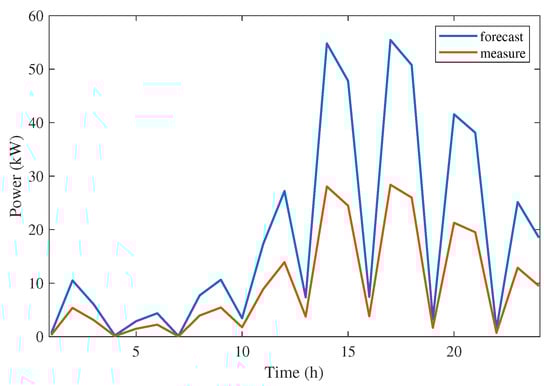
3.2. Forecasting Output Powers of Average Hourly Wind, PV and Load
3.3. Generation Scheduling and Demand Response Program
- Case I: Cost minimization of the microgrid system with forecast PV, wind, and load demand data without considering uncertainty.
- Case II: Cost minimization of the microgrid system considering uncertainty, the uncertainty of PV 10.45%, the wind of 11.43%, and the load demand of 17.71%.
- Case III: Cost minimization of the microgrid system for the day-ahead forecast PV and wind uncertainty (PV of 10.45% and wind of 11.43%) as well as the actual load demand requirement.
4. Conclusions
Author Contributions
Funding
Institutional Review Board Statement
Informed Consent Statement
Data Availability Statement
Acknowledgments
Conflicts of Interest
Abbreviations
| ARMA | Autoregressive Moving Average |
| DNO | Distribution Network Operator |
| EMS | Energy Management System |
| LC | Local Controller |
| MAE | Mean Absolute Error |
| MGCC | Microgrid Central Controller |
| MO | Market Operator |
| Probability Density Function | |
| RES | Renewable Energy Resource |
| TOU | Time of Use |
| The i-th AR coefficient | |
| Time-series values | |
| The j-th MA coefficient | |
| White noise | |
| Standardized hourly average value | |
| Average hourly value | |
| Sample mean and standard deviation of all transformed values in 24 h | |
| Sample standard deviation of all transformed values in 24 h | |
| d | Number of days for considering month and year |
| Y | Number of considering years |
| Local best update solution of the j-th and i-th component with iteration k | |
| Global best update solution of the j-th and i-th component with iteration k | |
| Total operation cost of the system ($) | |
| Output power of PV at time t (kW) | |
| Output power of wind at time t (kW) | |
| Power delivered from the main grid at time t (kW) | |
| Output power of fuel-based generation at time t (kW) | |
| Total power of demand at time t (kW) | |
| Total distribution line losses (kW) | |
| Total available generated power from system’s resource (kW) | |
| The coefficient of operation and maintenance cost ($/kWh) | |
| Prices of operation ($/kWh) |
References
- Pinthurat, W.; Hredzak, B. Distributed control strategy of single-phase battery systems for compensation of unbalanced active powers in a three-phase four-wire microgrid. Energies 2021, 14, 8287. [Google Scholar] [CrossRef]
- Sobri, S.; Koohi-Kamali, S.; Rahim, N.A. Solar photovoltaic generation forecasting methods: A review. Energy Convers. Manag. 2018, 156, 459–497. [Google Scholar] [CrossRef]
- Nfaoui, H.; Buret, J.; Sayigh, A. Stochastic simulation of hourly average wind speed sequences in Tangiers (Morocco). Sol. Energy 1996, 56, 301–314. [Google Scholar] [CrossRef]
- David, M.; Ramahatana, F.; Trombe, P.J.; Lauret, P. Probabilistic forecasting of the solar irradiance with recursive ARMA and GARCH models. Sol. Energy 2016, 133, 55–72. [Google Scholar] [CrossRef]
- Voyant, C.; Muselli, M.; Paoli, C.; Nivet, M.L. Numerical weather prediction (NWP) and hybrid ARMA/ANN model to predict global radiation. Energy 2012, 39, 341–355. [Google Scholar] [CrossRef]
- Pappas, S.S.; Ekonomou, L.; Karamousantas, D.C.; Chatzarakis, G.; Katsikas, S.; Liatsis, P. Electricity demand loads modeling using AutoRegressive Moving Average (ARMA) models. Energy 2008, 33, 1353–1360. [Google Scholar] [CrossRef]
- Wynn, S.L.L.; Pinthurat, W.; Marungsri, B. Multi-Objective Optimization for Peak Shaving with Demand Response under Renewable Generation Uncertainty. Energies 2022, 15, 8989. [Google Scholar] [CrossRef]
- Nguyen, D.T.; Negnevitsky, M.; De Groot, M. Pool-based demand response exchange—concept and modeling. IEEE Trans. Power Syst. 2010, 26, 1677–1685. [Google Scholar] [CrossRef]
- Albadi, M.H.; El-Saadany, E.F. A summary of demand response in electricity markets. Electr. Power Syst. Res. 2008, 78, 1989–1996. [Google Scholar] [CrossRef]
- Mahmoudi, N.; Eghbal, M.; Saha, T.K. Employing demand response in energy procurement plans of electricity retailers. Int. J. Electr. Power Energy Syst. 2014, 63, 455–460. [Google Scholar] [CrossRef]
- Zhong, H.; Xie, L.; Xia, Q. Coupon incentive-based demand response: Theory and case study. IEEE Trans. Power Syst. 2012, 28, 1266–1276. [Google Scholar] [CrossRef]
- Yu, M.; Hong, S.H.; Kim, J.B. Incentive-based demand response approach for aggregated demand side participation. In Proceedings of the 2016 IEEE International Conference on Smart Grid Communications (SmartGridComm), Sydney, NSW, Australia, 6–9 November 2016; pp. 51–56. [Google Scholar]
- Conejo, A.; Carrion, M. Risk-constrained electricity procurement for a large consumer. IEE Proc.-Gener. Transm. Distrib. 2006, 153, 407–413. [Google Scholar] [CrossRef]
- Su, W.; Wang, J. Energy management systems in microgrid operations. Electr. J. 2012, 25, 45–60. [Google Scholar] [CrossRef]
- Hajiamoosha, P.; Rastgou, A.; Bahramara, S.; Sadati, S.M.B. Stochastic energy management in a renewable energy-based microgrid considering demand response program. Int. J. Electr. Power Energy Syst. 2021, 129, 106791. [Google Scholar] [CrossRef]
- Gamarra, C.; Guerrero, J.M. Computational optimization techniques applied to microgrids planning: A review. Renew. Sustain. Energy Rev. 2015, 48, 413–424. [Google Scholar] [CrossRef]
- Nguyen, T.H.; Nguyen, L.V.; Jung, J.J.; Agbehadji, I.E.; Frimpong, S.O.; Millham, R.C. Bio-inspired approaches for smart energy management: State of the art and challenges. Sustainability 2020, 12, 8495. [Google Scholar] [CrossRef]
- Liu, J.; Wang, W.; Zhang, Y.; Xu, X. Energy management for households considering uncertainty in solar irradiance with various probability distribution. J. Electr. Eng. Technol. 2019, 14, 1943–1956. [Google Scholar] [CrossRef]
- Srinivasan, T.; Wang, X.; Kim, H.J.; Ra, I.H. Performance enhancement for microgrids under the demand uncertainties with the presence of multiple DGs through stochastic ranking algorithm. J. Electr. Eng. Technol. 2021, 16, 223–238. [Google Scholar] [CrossRef]
- Khalili, T.; Nojavan, S.; Zare, K. Optimal performance of microgrid in the presence of demand response exchange: A stochastic multi-objective model. Comput. Electr. Eng. 2019, 74, 429–450. [Google Scholar] [CrossRef]
- Azar, A.T.; Abed, A.M.; Abdulmajeed, F.A.; Hameed, I.A.; Kamal, N.A.; Jawad, A.J.M.; Abbas, A.H.; Rashed, Z.A.; Hashim, Z.S.; Sahib, M.A.; et al. A New Nonlinear Controller for the Maximum Power Point Tracking of Photovoltaic Systems in Micro Grid Applications Based on Modified Anti-Disturbance Compensation. Sustainability 2022, 14, 10511. [Google Scholar] [CrossRef]
- Xiao, D.; Chen, H.; Wei, C.; Bai, X. Statistical Measure for Risk-Seeking Stochastic Wind Power Offering Strategies in Electricity Markets. J. Mod. Power Syst. Clean Energy 2021, 10, 1437–1442. [Google Scholar] [CrossRef]
- Jordehi, A.R.; Tabar, V.S.; Mansouri, S.; Nasir, M.; Hakimi, S.; Pirouzi, S. A risk-averse two-stage stochastic model for planning retailers including self-generation and storage system. J. Energy Storage 2022, 51, 104380. [Google Scholar] [CrossRef]
- Karimi, H.; Jadid, S. Optimal energy management for multi-microgrid considering demand response programs: A stochastic multi-objective framework. Energy 2020, 195, 116992. [Google Scholar] [CrossRef]
- Firouzmakan, P.; Hooshmand, R.A.; Bornapour, M.; Khodabakhshian, A. A comprehensive stochastic energy management system of micro-CHP units, renewable energy sources and storage systems in microgrids considering demand response programs. Renew. Sustain. Energy Rev. 2019, 108, 355–368. [Google Scholar] [CrossRef]
- Mohseni-Bonab, S.M.; Rabiee, A.; Mohammadi-Ivatloo, B. Voltage stability constrained multi-objective optimal reactive power dispatch under load and wind power uncertainties: A stochastic approach. Renew. Energy 2016, 85, 598–609. [Google Scholar] [CrossRef]
- Yang, Z.; Ghadamyari, M.; Khorramdel, H.; Alizadeh, S.M.S.; Pirouzi, S.; Milani, M.; Banihashemi, F.; Ghadimi, N. Robust multi-objective optimal design of islanded hybrid system with renewable and diesel sources/stationary and mobile energy storage systems. Renew. Sustain. Energy Rev. 2021, 148, 111295. [Google Scholar] [CrossRef]
- Alhasnawi, B.N.; Jasim, B.H.; Rahman, Z.A.S.; Guerrero, J.M.; Esteban, M.D. A novel internet of energy based optimal multi-agent control scheme for microgrid including renewable energy resources. Int. J. Environ. Res. Public Health 2021, 18, 8146. [Google Scholar] [CrossRef]
- Ma, Z.; Yang, M.; Jia, W.; Ding, T. Decentralized Robust Optimal Dispatch of User-level Integrated Electricity-Gas-Heat Systems Considering Two-level Integrated Demand Response. Front. Energy Res. 2022, 1751. [Google Scholar] [CrossRef]
- Alobaidi, A.H.; Khodayar, M.E.; Shahidehpour, M. Decentralized energy management for unbalanced networked microgrids with uncertainty. IET Gener. Transm. Distrib. 2021, 15, 1922–1938. [Google Scholar] [CrossRef]
- Nwulu, N.I.; Xia, X. Optimal dispatch for a microgrid incorporating renewables and demand response. Renew. Energy 2017, 101, 16–28. [Google Scholar] [CrossRef]
- Shahryari, E.; Shayeghi, H.; Mohammadi-Ivatloo, B.; Moradzadeh, M. A copula-based method to consider uncertainties for multi-objective energy management of microgrid in presence of demand response. Energy 2019, 175, 879–890. [Google Scholar] [CrossRef]
- Wang, Z.; Chen, B.; Wang, J. Decentralized energy management system for networked microgrids in grid-connected and islanded modes. IEEE Trans. Smart Grid 2015, 7, 1097–1105. [Google Scholar] [CrossRef]
- Patterson, K. An Introduction to ARMA Models. In Unit Root Tests in Time Series; Springer: Berlin/Heidelberg, Germany, 2011; pp. 68–122. [Google Scholar]
- Weather History Dashboard for Any Location. Available online: https://www.visualcrossing.com/weather-history/ (accessed on 10 December 2022).
- Climate Data Online: Dataset Discovery. Available online: https://www.ncdc.noaa.gov/cdo-web/datasets/ (accessed on 10 December 2022).
- The Study of the Characteristics of Electricity Consumption. Available online: http://peaoc.pea.co.th/loadprofile/ (accessed on 10 December 2022).
- Bahrami, S.; Amini, M.H.; Shafie-khah, M.; Catalao, J.P. A decentralized electricity market scheme enabling demand response deployment. IEEE Trans. Power Syst. 2017, 33, 4218–4227. [Google Scholar] [CrossRef]
- Singh, B.; Pozo, D. A guide to solar power forecasting using ARMA models. In Proceedings of the 2019 IEEE PES Innovative Smart Grid Technologies Europe (ISGT-Europe), Bucharest, Romania, 29 September–2 October 2019; pp. 1–4. [Google Scholar]
- Brown, B.G.; Katz, R.W.; Murphy, A.H. Time series models to simulate and forecast wind speed and wind power. J. Appl. Meteorol. Climatol. 1984, 23, 1184–1195. [Google Scholar] [CrossRef]
- Mortaji, H.; Ow, S.H.; Moghavvemi, M.; Almurib, H.A.F. Load shedding and smart-direct load control using internet of things in smart grid demand response management. IEEE Trans. Ind. Appl. 2017, 53, 5155–5163. [Google Scholar] [CrossRef]
- Khan, A.; Hizam, H.; bin Abdul Wahab, N.I.; Lutfi Othman, M. Optimal power flow using hybrid firefly and particle swarm optimization algorithm. PLoS ONE 2020, 15, e0235668. [Google Scholar] [CrossRef] [PubMed]
- Alam, M.N. Particle swarm optimization: Algorithm and its codes in matlab. ResearchGate 2016, 8, 10. [Google Scholar]
- Electricity Tariffs. Available online: https://www.pea.co.th (accessed on 10 December 2022).
- Nikmehr, N.; Najafi Ravadanegh, S. A study on optimal power sharing in interconnected microgrids under uncertainty. Int. Trans. Electr. Energy Syst. 2016, 26, 208–232. [Google Scholar] [CrossRef]
- IEEE PES Test Feeder. Available online: https://cmte.ieee.org/pes-testfeeders/ (accessed on 20 November 2022).
- Ela, E.; O’Malley, M. Studying the variability and uncertainty impacts of variable generation at multiple timescales. IEEE Trans. Power Syst. 2012, 27, 1324–1333. [Google Scholar] [CrossRef]
- Huang, C.; Zhang, H.; Song, Y.; Wang, L.; Ahmad, T.; Luo, X. Demand response for industrial micro-grid considering photovoltaic power uncertainty and battery operational cost. IEEE Trans. Smart Grid 2021, 12, 3043–3055. [Google Scholar] [CrossRef]
- Ela, E.; Diakov, V.; Ibanez, E.; Heaney, M. Impacts of Variability and Uncertainty in Solar Photovoltaic Generation at Multiple Timescales; Technical Report; National Renewable Energy Lab. (NREL): Golden, CO, USA, 2013. [Google Scholar]
- Logenthiran, T.; Srinivasan, D.; Khambadkone, A.M.; Aung, H.N. Multiagent system for real-time operation of a microgrid in real-time digital simulator. IEEE Trans. Smart Grid 2012, 3, 925–933. [Google Scholar] [CrossRef]
- Dietrich, K.; Latorre, J.M.; Olmos, L.; Ramos, A. Demand response in an isolated system with high wind integration. IEEE Trans. Power Syst. 2011, 27, 20–29. [Google Scholar] [CrossRef]
- Wu, H.; Dong, P.; Liu, M. Optimization of network-load interaction with multi-time period flexible random fuzzy uncertain demand response. IEEE Access 2019, 7, 161630–161640. [Google Scholar] [CrossRef]











| DGs | a | b | , (kW) | , (kW) |
|---|---|---|---|---|
| 1 | 0.000430 | 21.60 | 30 | 33 |
| 2 | 0.000394 | 20.81 | 125 | 143 |
| Time (h) | w/o Optimization, ($/h) | Case I, ($/h) | Case II, ($/h) | Case III, ($/h) |
|---|---|---|---|---|
| 1 | 6834 | 4429 | 5421 | 3355 |
| 2 | 7615 | 5545 | 7042 | 6471 |
| 3 | 6100 | 3618 | 5993 | 4433 |
| 4 | 6941 | 6507 | 6319 | 4995 |
| 5 | 7090 | 6714 | 7075 | 6537 |
| 6 | 5775 | 2361 | 6640 | 5687 |
| 7 | 5451 | 2076 | 6650 | 5545 |
| 8 | 6288 | 2050 | 6496 | 5750 |
| 9 | 5322 | 2002 | 5528 | 4947 |
| 10 | 4858 | 1854 | 4915 | 4457 |
| 11 | 4746 | 1733 | 4586 | 4570 |
| 12 | 3209 | 1500 | 3764 | 3824 |
| 13 | 3543 | 1553 | 3867 | 3631 |
| 14 | 4524 | 1734 | 4520 | 4312 |
| 15 | 3831 | 1537 | 4210 | 3317 |
| 16 | 3596 | 1355 | 4227 | 2727 |
| 17 | 5891 | 2162 | 5790 | 4797 |
| 18 | 2305 | 1362 | 4427 | 2174 |
| 19 | 4871 | 1593 | 5000 | 2558 |
| 20 | 8806 | 6717 | 6775 | 5950 |
| 21 | 7318 | 6463 | 4675 | 2269 |
| 22 | 7319 | 5639 | 4874 | 2362 |
| 23 | 8983 | 6715 | 6960 | 6326 |
| 24 | 5804 | 3069 | 5270 | 3069 |
| Total | 137,020 | 80,287 | 131,020 | 104,060 |
| Case Studies | , (kW) | Local Generation, (kW) | Grid Power, (kW) |
|---|---|---|---|
| Case I | 248 | 3009 | 3174 |
| Case II | 2678 | 4453 | 7200 |
| Case III | 3697 | 3767 | 4733 |
Disclaimer/Publisher’s Note: The statements, opinions and data contained in all publications are solely those of the individual author(s) and contributor(s) and not of MDPI and/or the editor(s). MDPI and/or the editor(s) disclaim responsibility for any injury to people or property resulting from any ideas, methods, instructions or products referred to in the content. |
© 2023 by the authors. Licensee MDPI, Basel, Switzerland. This article is an open access article distributed under the terms and conditions of the Creative Commons Attribution (CC BY) license (https://creativecommons.org/licenses/by/4.0/).
Share and Cite
Wynn, S.L.L.; Boonraksa, T.; Boonraksa, P.; Pinthurat, W.; Marungsri, B. Decentralized Energy Management System in Microgrid Considering Uncertainty and Demand Response. Electronics 2023, 12, 237. https://doi.org/10.3390/electronics12010237
Wynn SLL, Boonraksa T, Boonraksa P, Pinthurat W, Marungsri B. Decentralized Energy Management System in Microgrid Considering Uncertainty and Demand Response. Electronics. 2023; 12(1):237. https://doi.org/10.3390/electronics12010237
Chicago/Turabian StyleWynn, Sane Lei Lei, Terapong Boonraksa, Promphak Boonraksa, Watcharakorn Pinthurat, and Boonruang Marungsri. 2023. "Decentralized Energy Management System in Microgrid Considering Uncertainty and Demand Response" Electronics 12, no. 1: 237. https://doi.org/10.3390/electronics12010237
APA StyleWynn, S. L. L., Boonraksa, T., Boonraksa, P., Pinthurat, W., & Marungsri, B. (2023). Decentralized Energy Management System in Microgrid Considering Uncertainty and Demand Response. Electronics, 12(1), 237. https://doi.org/10.3390/electronics12010237

