Next Article in Journal
Blockchain Technologies: Smart Contracts for Consumer Electronics Data Sharing and Secure Payment
Next Article in Special Issue
A Wide-Band Modeling Research of Voltage Transformer in EMU
Previous Article in Journal
End-to-End Light License Plate Detection and Recognition Method Based on Deep Learning
Previous Article in Special Issue
Improved Algorithms for Calculating the Space-Charge Field in Vacuum Devices
 
 
Font Type:
Arial Georgia Verdana
Font Size:
Aa Aa Aa
Line Spacing:
Column Width:
Background:
Communication

Electronic System of Remote Optical Control of LiNbO3 Mach-Zehnder Modulator Operating Point

Department for Quantum Electronics, Ioffe Institute, St. Petersburg 194021, Russia
*
Author to whom correspondence should be addressed.
Electronics 2023, 12(1), 206; https://doi.org/10.3390/electronics12010206
Submission received: 30 November 2022 / Revised: 23 December 2022 / Accepted: 29 December 2022 / Published: 31 December 2022
(This article belongs to the Special Issue Microwave, Millimeter and Terahertz Wave Power Electronic Devices)

Abstract

A system for integrated optical LiNbO3 Mach–Zehnder modulator operating point remote control and stabilization was developed. It consisted of a conventional telecom photodiode and a passive electronic circuit at the bias input of the modulator. Light from an amplitude-modulated laser was used to remotely set the output voltage of the electronic circuit at the bias input of the Mach–Zehnder modulator. Information regarding the current operating point that had been provided with feedback system implementation was taken from DC values of high frequency photodetector currents. Efficient remote control of the modulator operating point over 1 km of a single-mode optical fiber, which multiplexes an optical carrier at 1550 nm and a low frequency control signal with a peak power of 2 mW at 1310 nm, was demonstrated. The results could be of interest for antenna remoting, radio-over-fiber (RoF) technology, and other applications with broadband optical transmission from remote sources in a distributed network.

1. Introduction

Radio-over-fiber (RoF) is an analog optical transmission technology, in which optically carried radio-frequency signals are transmitted between the central station (CS) and remote antenna units (RAUs) [1,2]. The main advantages of RoF are undeniable: remote units are greatly simplified, since, currently, the expensive, heavy, and energy-intensive equipment is generally centrally located. For this reason, RoF is widely used in systems with distributed antennas, especially for wireless networks [3].
The key component of RoF systems is a broadband optical modulator, which is placed on the RAU, and transfers radio signal to an optical carrier for transmission to the CS over the optical fiber. A lithium niobate Mach-Zhender modulator (LNMZM) [4,5] is a good choice for RoF technology based on intensity modulation and direct detection (IMDD) analog microwave transmission [6,7], as it is characterized by low additional noise, and it can operate at a high enough optical power to provide high transmission (gain) coefficient. An example of a microwave photonic link between CS and RAU is shown in Figure 1a. An optical carrier from a distributed feedback laser diode (DFB LD) at 1550 nm is delivered to the remote LNMZM over a single mode optical fiber (SMF), and the modulated optical signal is fed back over another SMF. To properly operate in an IMDD microwave photonic link, the LNMZM must be supplied with bias voltage to be set in a quadrature operating point. This voltage should be continuously controlled during system operation to mitigate long-term DC drift. A control system with a feedback loop that monitors the LNMZM operating point and supplies required bias voltage is usually used to do this. The fiber optic coupler diverts a small fraction of the light from the LNMZM output, which is fed to the input of the control system to control the current operating point. This control circuit requires a power supply, which is often inconvenient for placing on a RAU. The power-over-fiber (PoF) technique has been proposed to solve this problem [1,8], which requires a specialized high-power laser, a multi-element photovoltaic converter, and a separate optical fiber path. The power consumption of the operating point control system could be lower than 5 mW [9], but this would still require a rather high optical power due to the low efficiency of the photovoltaic power converter, which is usually about 20%. At the same time, the LNMZM bias electrode is essentially capacitive (typical impedance > 1 MOhm), thus a very low power is consumed by the LNMZM (typically, the current is significantly less than 1 μA at 6 V), and most consumption is related to the control electronics.
In this paper, we propose a system that makes it possible to control and stabilize the operating point of a remote LNMZM. The system consists of a laser diode with control electronics at the CS and a conventional telecom photodiode in a photovoltaic flyback variable voltage source (PFVVS) without active electronic components at the remote modulator side. The same single mode optical fiber was used for operating point control and optical carrier transmission in the RoF system. The use of a dual output LNMZM (DOLNMZM), which is a special type of LNMZM with two optical outputs [4,5] for balanced detection, provides very high accuracy in setting the operating point without using a conventional pilot tone [10].
The proposed scheme for the remote control of the DOLNMZM operating point is shown in Figure 1b. A low-power (average power ~1 mW) laser diode (LD) at a wavelength of 1310 nm was directly modulated by an alternating current at a frequency f of several kilohertz. Light at 1310 nm was launched into the same SMF as the optical carrier of the 1550 nm RoF signal by a 1310/1550 fiber optic wavelength division multiplexer (WDM) and transmitted to the RAU. Any other wavelength from the SMF transparency bands could potentially be used with a spectral spacing that ensures no crosstalk. Our choice was based on commercial availability and the cost of fiber optic components. In addition, such widely spaced wavelength multiplexing provides transparency for various modulation formats, flexibility, and extended functionality. At the modulator end, 1310 laser light was extracted by a complementary 1310/1550 WDM and sent to a photodiode that was operating in photovoltaic mode. Then, the voltage from the output of the photodiode was fed to the flyback transformer. A rectified DC voltage from the transformer was supplied to the bias electrode of DOLNMZM. Thus, the change in the intensity modulation index of 1310-nm LD resulted in a change in the bias voltage, which varied from 0 to 15.2 V. Optically carried RoF signals at the wavelength of 1550 nm were transmitted from DOLNMZM outputs to CS and detected by balanced photodetector. The DC components of the photocurrents of the two photodiodes of the balanced detector were processed to calculate the current operating point of the modulator and close a feedback loop by adjusting the amplitude of the 1310 nm LD modulation current. For example, the system aimed for equal DC current components in order to set the modulator to the quadrature operating point.

2. Principles of Photovoltaic Flyback Variable Voltage Source

A typical half-wave voltage at the bias electrodes of commercially available broadband MZMs is around 6 V, thus the system should be able to provide at least this maximum voltage. However, considering the long-term drift of the modulator, at least a twofold increase of the maximum voltage is required [11]. Since the voltage of a single InGaAs photodiode forward voltage drop is below 0.6 V [12], more than 20 photodiodes should be connected in series to provide a sufficient maximum voltage in photovoltaic mode with a resistive load. We solved this problem with an ingenious circuit that performed step-up functions when converting DC-DC voltage and achieved the required voltage range with a single photodiode.
First, we analyzed a circuit comprising of an idealized inductor and a photodiode. We illuminated the photodiode with a laser light, the power of which was modulated with a sine wave. This light induced current and voltage in the photodiode in the photovoltaic mode of operation. We assumed the photocurrent was represented by a raised sine waveform (Figure 2a), whose characteristics were IDC: a DC value of photocurrent, IAC: an amplitude of AC component of photocurrent (see inset of Figure 2b) and f was the frequency of the AC component of the photocurrent that was equal to that of the laser modulation. The photodiode was represented by an intrinsic diode with voltage drop Vf and current sources IDC and IAC. Zero-approximation of operation of such circuits is show in Figure 2a. When the current starts to rise from zero, a constant voltage Vf is applied across the inductor. The inductor current linearly rises, and, at certain time tcross, it accumulates all photocurrent, which corresponds to the intersection of the photocurrent curve and the rising inductor current line at current Icross in Figure 2a. From that time, the current in the inductor is equal to the photocurrent, and, when it starts to fall, it provokes an electromagnetic induction spike. The dependence of the peak value of the induced spike on frequency f is shown in Figure 2b for an 4700 μH inductor, IAC = 0.5 mA and IDC = 0.5 mA. As demonstrated, this model predicts that the peak voltage of the spike can be made arbitrarily high by increasing f. Furthermore, from Figure 2c, one can see that the peak voltage of the spike is monotonically dependent on the photodiode IAC that potentially allows for the realization of a continuously variable DC voltage source after spike smoothing.
To make the model more realistic, parasitic capacitances of the photodiode and inductor coil were added to the circuit, together with a half-wave rectifier and a load resistor. Output voltage, Vout, is a DC voltage at the output of the rectifier. To exclude the influence of voltage-dependent junction capacitance on circuit behavior, both the photodiode and rectifier were considered to have negligible junction capacitance. Photodiode parasitic capacitance was considered to be 1 pF, and parasitic capacitance of the coil was taken from values of self-resonance frequencies for general-purpose SMD coils, as shown in Table 1.
To obtain quantitative results, Microcap 9 SPICE simulator was used. Inset of Figure 3 shows a circuit used in the simulation. Frequency responses of the output voltage for the circuit with coils of different inductance were simulated with IAC = 0.5 mA and IDC = 0.5 mA. As seen in Figure 3, the output voltage exhibits a quasi-resonant behavior, and the maximum output voltage at a quasi-resonance frequency is highly dependent on the coil inductance. It should be noted that the quasi-resonance frequency, fqr, is far less than the frequency of a true LC resonance for each coil, ffree, as can be seen from Table 1.
Qualitatively, this quasi-resonant behavior can be explained as follows: at tcross time, when the electromagnetic induction manifests itself, free oscillations of the LC resonant circuit at ffree frequency are excited. As f frequency increases, tcross time is shifted closer to a point where the photodiode current is minimum, that is, to the period of the sine modulation 1/f, so that less LC oscillation periods fall into that time interval between tcross and 1/f. At some frequencies, there is not enough time between tcross and 1/f for a second period of oscillations to develop. In this case, only a single pulse is excited by the electromagnetic induction. This frequency corresponds to the maximum Vout voltage, and we call it quasi-resonance frequency. This can be mathematically expressed as 1/fqr ≈ tcross + 1/ffree. At an even higher frequency, a higher portion of the photocurrent is shorted by the capacitance, which leads to a roll-off.
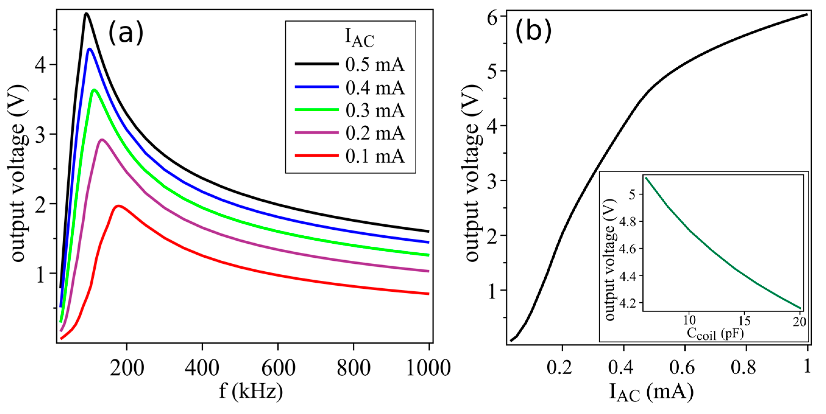
The nonlinear nature of the circuit causes the fqr to be slightly dependent on the amplitude of the AC component of the photocurrent: Figure 4a shows that fqr shifts to higher frequencies as IAC decreases. Parasitic capacitance significantly affects the output voltage at the quasi-resonance frequency with a fixed value of the inductance, as can be seen in the inset in Figure 4b. Moreover, a higher capacitance results in lower fqr. An amplitude response of the output voltage versus IAC is monotonic, as shown in Figure 4b for L = 10,000 μH, f = 92.5 kHz, and IDC = 1 mA. This will make it possible to implement a closed-loop system that can set the bias voltage for the stable operating point of the DOLNMZM by changing the amplitude of the laser power modulation.

3. Implementation of Laser-Fed Variable DC Voltage Source

It is possible to extract a few conclusions from the results of the previous section that will help us to implement a circuit that will produce variable DC voltage in the range of 0 … 12 V from the output light of a 1 mW laser diode at 1310 nm that can be used to feed the bias electrode of a remote DOLNMZM. To establish the DC voltage source with an output range of 0 … 12 V, a step-up transformer is required, because even an 10,000 μH inductor is insufficient for this purpose. Moreover, the maximum allowed reverse voltage of photodiodes is within the range of 10 … 15 V, and straight application of the flyback inductor would likely result in overvoltage. Therefore, the step-up flyback transformer was made using a T35 ferrite toroidal core with a 22.1 mm outer diameter, a 13.7 mm inner diameter, 6.35 mm thickness, and an inductance factor of 3200 nH. The resulting transformer had a 8.05 turn ratio, 1550 μH primary inductance, 101.8 μH secondary inductance, a resonance frequency of 160 kHz, and a parasitic capacitance of 630 pF. Its primary coil active resistance was 0.5 Ohm, and that of its secondary coil was 9.0 Ohm. To construct a circuit as shown in Figure 5a, a pigtailed high-speed PIN photodiode with a responsivity of 0.85 A/W at a 1310 nm wavelength and a parasitic capacitance of 0.2 pF was used. A small signal diode, 1N4148, was used as a rectifier, and a storage capacitor with 68 nF was used; the load resistance was 10 MOhm. An A370-Type 1 mW uncooled laser diode with a wavelength of 1310 nm from Lucent Technologies was employed.
The circuit shown in Figure 5c was used to drive the laser. The value of the current sensing resistor in the transistor emitter was set so that a voltage of ~0.65 V current through the laser produced around 1 mW of optical power. The input of back-to-back diodes prevents overvoltage in an operational amplifier input and laser over-current, and they also compress the sine wave to a voltage level that enables the laser to emit 2 mW of optical power, even for high input voltage. A compensation network was included in the feedback path of the operational amplifier to make the step response aperiodic.
The circuit was studied using the setup shown in Figure 5b. The quasi-resonance frequency was found to be 67 kHz for a maximal average optical power of 1 mW from the laser diode with a Gen1 voltage amplitude of 10 V. This situation corresponded to an almost square-like shape at the input of the operational amplifier and 100% modulation of laser power and attenuation was provided by the variable optical attenuator (VOA). The amplitude response of Vout versus the amplitude of the Gen1 generator at a quasi-resonance frequency of 74 kHz is shown in Figure 6a.
As can be seen, it is possible to achieve an output voltage as high as 15.2 V. The frequency responses of Vout for different amounts of optical attenuation provided by the VOA shows that fqr is shifted towards a higher frequency, as the photodiode provides a smaller current. This agrees with the conclusions of the previous section. The dynamic performance of the circuit was studied using gating of the Gen1 generator. As one might expect, a high nonlinearity of the circuit results in the step response being highly dependent on the Gen1 output voltage: the response is fast and almost exponential for a small Gen1 amplitude of around 0.6 V, and it lasts for more than an order of the magnitude when the Gen1 amplitude is set to at 10 V. Furthermore, the dynamic response of the circuit was tested using a PWM signal with a 42% duty cycle was found to provide a maximum output voltage achieved in experiments, which was 16.7 V. The trailing edge of the response in all cases was just an exponential discharge of the storage capacitor through the load resistor, and it is independent of the Gen1 amplitude or signal type.
As the RAU can be placed outdoors, it is useful to address PFVVS operation in different temperature regimes. A heating test for PFVVS was conducted using the setup shown in Figure 5b. The circuit was placed in an aluminum container and heated using a hot air gun. VOA attenuation was set so that at 25 °C the output voltage was 10.8 V. At 54 °C, the output voltage was found to be 10.3 V, and was 9.3 V at 95 °C. We attributed the drop in output voltage to increased leakage of the rectifier diode. At low temperatures, a main factor will be the decrease of transformer inductance due to the loss of magnetic permeability of the T35 ferrite. This will cause an increase in quasi-resonant frequency. To mitigate this effect, ferrite with more stable permeability in a wide range of temperatures, such as N96, could be used.

4. Experimental Results on Setting the Bias Point of Remote DOLNMZM

Using the circuits described above, a system was implemented that supplied bias voltage to a remote DOLNMZM and set the quadrature operating point, as shown in Figure 1b. A pair of 1550 nm 100 mW CW DFB lasers formed an unpolarized source [13] of the RoF optical carrier. The light from this source was delivered to the DOLNMZM using a 1 km SMF coil. Because lithium niobate device operation is polarization dependent, there was a built-in polarizer inside the modulator package to remove the light with unwanted polarization. Insertion loss of the modulator was 4.5 dB, and the half-wave voltage of the bias electrode was 6.5 V. Light of the 1550 nm source was combined with the light of the 1310 laser at the input of the 1 km fiber using 1310/1550 WDM with a stop band attenuation of 20 dB, and a 1310/1550 WDM of the same type was used to split the light of two bands at the output of the 1 km fiber. No influence of residual 1550 nm light leaking through an output 1310/1550 WDM to 1310 port on operation of the biasing circuit was found. A balanced photodetector was built using two closely spaced dies of back-illuminated photo diodes. A current for each detector was measured using a shunt resistor and an instrumentation amplifier. It was then digitized using AD7798 ADC. A PCM1753 audio DAC was used as the sine wave source for the 1310 nm laser modulation circuit. Digital signal processing was implemented using a microcontroller.
In an idealized system in which optical loss of both output fibers from DOLNMZM to balanced detector, including optical connectors, are equal, as well as the responsivities of the diodes of the balanced photodetector, setting DOLNMZM to quadrature will require setting currents of photodiodes to be equal to each other. In the real system, due to an inequality in pairs of the aforementioned quantities, a more complex algorithm at the start of the system should be implemented. Sine wave frequency for laser modulation was set to be the quasi-resonance frequency of the remote biasing circuit for maximum possible PCM1753 DAC output voltage and optical attenuation level, corresponding to 1 km of optical fiber plus optical connectors. This frequency is called the optimum frequency of the system. After power supply was turned on and power-on-reset took place, sine wave at the output of PCM1753 DAC at the optimum frequency was scanned from 0 to maximum value, which resulted in changing DOLNMZM bias voltage from 0 to the maximum DC value, which was 8 V in our experiments. The output voltage range was less than what the PDC could generate (Figure 6a) due to the limited output voltage of the PCM1753 DAC. During scanning, the current for both photodiodes was recorded and the maximum current value was found in each photodiode of the balanced photodetector. These values of currents were used as normalization coefficients for the corresponding channels. After that, a PID controller was started, the goal of which was to set the normalized values of the current of the photodiodes of the balanced detector to be equal to each other by changing the amplitude level of a sine wave at the output of the PCM1753 DAC. The startup sequence is shown in Figure 7.
To determine the error in setting the operating point into quadrature, a sine wave with low harmonic distortions was sent to the RF input of the DOLNMZM and was detected at the RF output of the balanced detector. From the level of the second harmonic that arose during such transmission, it was found that the system sets the operating point with a precision of ~1 degree. Note that the setting of the DOLNMZM to an arbitrary operation point could be potentially realized with a more complicated procedure.

5. Conclusions

A system for the remote control and stabilization of the operating point of integrated optical LiNbO3 Mach–Zehnder modulators was developed, which did not require electrical power supply to the modulator. The same single-mode optical fiber was used for operation point control and RoF transmission. A 1310 nm laser diode with control electronics at the CS and a conventional telecom photodiode and a fly-back DC-DC converter with no active electronic components at the remote modulator side (RAU) were used for bias voltage generation and control. The setting and stabilization of the remote modulator to the quadrature operating point were demonstrated through 1 km of a single-mode optical fiber. Only 2 mW of the peak optical power were required to provide bias voltage tuning in the range of 0 … 8 V. High accuracy and stability of the operating point setting was confirmed by a very low level of the second harmonic of the transmitted RF signal. The quadrature setting accuracy was estimated at ~1 degree.
Multiple PFVVSs for the remote control of modulators can be multiplexed using the WDM technique in a similar manner to the information RoF channels. Thus, the proposed approach could be extended for the control of multiple LNMZMs. Notably, each of the modulators corresponds to an independent PFVVS operating at a certain wavelength, since, in a general case, the voltage values of the operating points of different modulators, as well as their drift, are not correlated with each other.
These results appear to be of interest for antenna remoting, radio-over-fiber (RoF) technology, and other applications with broadband optical transmission of RF signals from remote sources in distributed networks.

Author Contributions

Conceptualization, P.A.; methodology, P.A.; software, M.P.; investigation, A.V.; resources, I.I., A.U., A.T.; writing—original draft preparation, P.A.; writing—review and editing, A.S.; visualization, P.A.; supervision, A.S.; project administration, A.S.; All authors have read and agreed to the published version of the manuscript.

Funding

This research received no external funding.

Conflicts of Interest

The authors declare no conflict of interest.

References

  1. Wake, D.; Nkansah, A.; Gomes, N.J. Radio over Fiber Link Design for Next Generation Wireless Systems. J. Light. Technol. 2010, 28, 2456–2464. [Google Scholar] [CrossRef]
  2. Shivika, R.; Rakesh, G. A Review on Radio-Over-Fiber Technology-Based Integrated (Optical/Wireless) Networks. JOC 2017, 38, 19–25. [Google Scholar] [CrossRef]
  3. Ranaweera, C.; Wong, E.; Nirmalathas, A.; Jayasundara, C.; Lim, C. 5G C-RAN with optical fronthaul: An analysis from a deployment perspective. J. Light. Technol. 2018, 36, 2059–2068. [Google Scholar] [CrossRef]
  4. Chen, A.; Murphy, E.J. Broadband Optical Modulators: Science, Technology, and Applications; CRC Press: Boca Raton, FL, USA, 2012; p. 568. [Google Scholar]
  5. Petrov, V.M.; Agruzov, P.M.; Lebedev, V.V.; Il’ichev, I.V.; Shamray, A.V. Broadband integrated optical modulators: Achievements and prospects. Phys. Uspekhi 2021, 64, 722–739. [Google Scholar] [CrossRef]
  6. Cox, C.H.; Ackerman, E.I.; Betts, G.E.; Prince, J.L. Limits on the performance of RF-over-fiber links and their impact on device design. IEEE Trans. Microw. Theory Tech. 2006, 54, 906–920. [Google Scholar] [CrossRef]
  7. Urick, V.J.; Williams, K.J.; McKinney, J.D. Fundamentals of Microwave Photonics; John Wiley & Sons: Hoboken, NJ, USA, 2015; p. 496. [Google Scholar]
  8. Cox, C.H.; Yee, A.C. Measurements on an RF fiber-optic link suitable for antenna remoting. In Proceedings of the Record of the 1993 IEEE National Radar Conference, Lynnfield, MA, USA, 20–22 April 1993; pp. 93–95. [Google Scholar] [CrossRef]
  9. Petrov, A.; Tronev, A.; Agruzov, P.; Shamrai, A.; Sorotsky, V. System for Stabilizing an Operating Point of a Remote Electro-Optical Modulator Powered by Optical Fiber. Electronics 2020, 9, 1861. [Google Scholar] [CrossRef]
  10. Carreira, R.R.; Barroso, J.J.; Oliveira, J.E.B. Generalized Analysis of Dual-Output Mach-Zehnder Modulator With Applications to Photonic-Assisted Instantaneous Frequency Measurement. J. Light. Technol. 2021, 39, 7956–7965. [Google Scholar] [CrossRef]
  11. Maack, D.R. Reliability of lithium niobate Mach-Zehnder modulators for digital optical fiber telecommunication systems. Proc. SPIE 1999, 10295, 34. [Google Scholar] [CrossRef]
  12. Korun, M.; Navruz, T.S. Comparison of Ge, InGaAs p-n junction solar cell. J. Phys. Conf. Ser. 2016, 707, 012035. [Google Scholar] [CrossRef]
  13. Burns, W.K.; Moeller, R.P.; Bulmer, C.H.; Greenblatt, A.S. Depolarized source for fiber-optic applications. Opt. Lett. 1991, 16, 381–383. [Google Scholar] [CrossRef] [PubMed]
Figure 1. (a) Antenna remoting with the RAU consisting of the LNMZM and the operation point control electronics requiring power supply. (b) Proposed system of antenna remoting with remote DOLNMZM bias setting using PFVVS.
Figure 1. (a) Antenna remoting with the RAU consisting of the LNMZM and the operation point control electronics requiring power supply. (b) Proposed system of antenna remoting with remote DOLNMZM bias setting using PFVVS.
Electronics 12 00206 g001
Figure 2. (a) Simplified operation of PFVVS; (b) frequency dependence of the peak value of the voltage spike produced by inductance for 4700 μH, IAC = 0.5 mA and IDC = 0.5 mA, inset shows circuit used in analysis; (c) dependence of the peak value of the voltage spike produced by inductance on AC component of photocurrent for 4700 μH inductor, f = 800 kHz and IDC = 0.5 mA.
Figure 2. (a) Simplified operation of PFVVS; (b) frequency dependence of the peak value of the voltage spike produced by inductance for 4700 μH, IAC = 0.5 mA and IDC = 0.5 mA, inset shows circuit used in analysis; (c) dependence of the peak value of the voltage spike produced by inductance on AC component of photocurrent for 4700 μH inductor, f = 800 kHz and IDC = 0.5 mA.
Electronics 12 00206 g002
Figure 3. Frequency response of PFVVS found using SPICE. The inset shows the circuit used in the simulation.
Figure 3. Frequency response of PFVVS found using SPICE. The inset shows the circuit used in the simulation.
Electronics 12 00206 g003
Figure 4. (a) Frequency response of PFVVS for inductance value of L = 10,000 μH and different IAC; (b) amplitude characteristic of the PFVVS for L = 10,000 μH at f = 92.5 kHz; the inset shows PFVVS output voltage against coil parasitic capacitance.
Figure 4. (a) Frequency response of PFVVS for inductance value of L = 10,000 μH and different IAC; (b) amplitude characteristic of the PFVVS for L = 10,000 μH at f = 92.5 kHz; the inset shows PFVVS output voltage against coil parasitic capacitance.
Electronics 12 00206 g004
Figure 5. (a) Photodiode circuit (PDC) used in the experiment, (b) experimental setup for study of PDC operation, (c) laser drive circuit (LDC) used in the experiment, (d) I-V curve of photodiode employed in PDC.
Figure 5. (a) Photodiode circuit (PDC) used in the experiment, (b) experimental setup for study of PDC operation, (c) laser drive circuit (LDC) used in the experiment, (d) I-V curve of photodiode employed in PDC.
Electronics 12 00206 g005
Figure 6. (a) PDC amplitude characteristic at f = 74 kHz, the inset shows the frequency response of PDC for different values of average optical power; (b) the step response of PDC for different laser-driving signals of LDC.
Figure 6. (a) PDC amplitude characteristic at f = 74 kHz, the inset shows the frequency response of PDC for different values of average optical power; (b) the step response of PDC for different laser-driving signals of LDC.
Electronics 12 00206 g006
Figure 7. Start-up of bias point stabilization.
Figure 7. Start-up of bias point stabilization.
Electronics 12 00206 g007
Table 1. Parameters of coils used in SPICE simulation, resonant frequency of free oscillation of resulting LC resonator and pseudo-resonant frequency of operation of PFVVS.
Table 1. Parameters of coils used in SPICE simulation, resonant frequency of free oscillation of resulting LC resonator and pseudo-resonant frequency of operation of PFVVS.
Coil Inductance (μH)Coil Parasitic Capacitance (pF)LC Resonant Frequency (kHz)Pseudoresonant Frequency fqr (kHz)
10,00010.148090
47008.4760170
22008.01100300
10008.81600500
3308.029001140
1006.060002900
Disclaimer/Publisher’s Note: The statements, opinions and data contained in all publications are solely those of the individual author(s) and contributor(s) and not of MDPI and/or the editor(s). MDPI and/or the editor(s) disclaim responsibility for any injury to people or property resulting from any ideas, methods, instructions or products referred to in the content.

Share and Cite

MDPI and ACS Style

Agruzov, P.; Parfenov, M.; Tronev, A.; Varlamov, A.; Ilichev, I.; Usikova, A.; Shamrai, A. Electronic System of Remote Optical Control of LiNbO3 Mach-Zehnder Modulator Operating Point. Electronics 2023, 12, 206. https://doi.org/10.3390/electronics12010206

AMA Style

Agruzov P, Parfenov M, Tronev A, Varlamov A, Ilichev I, Usikova A, Shamrai A. Electronic System of Remote Optical Control of LiNbO3 Mach-Zehnder Modulator Operating Point. Electronics. 2023; 12(1):206. https://doi.org/10.3390/electronics12010206

Chicago/Turabian Style

Agruzov, Peter, Mikhail Parfenov, Aleksandr Tronev, Andrei Varlamov, Igor Ilichev, Anna Usikova, and Aleksandr Shamrai. 2023. "Electronic System of Remote Optical Control of LiNbO3 Mach-Zehnder Modulator Operating Point" Electronics 12, no. 1: 206. https://doi.org/10.3390/electronics12010206

APA Style

Agruzov, P., Parfenov, M., Tronev, A., Varlamov, A., Ilichev, I., Usikova, A., & Shamrai, A. (2023). Electronic System of Remote Optical Control of LiNbO3 Mach-Zehnder Modulator Operating Point. Electronics, 12(1), 206. https://doi.org/10.3390/electronics12010206

Note that from the first issue of 2016, this journal uses article numbers instead of page numbers. See further details here.

Article Metrics

Back to TopTop