Recommendation of Music Based on DASS-21 (Depression, Anxiety, Stress Scales) Using Fuzzy Clustering
Abstract
1. Introduction
2. Materials and Methods
2.1. Fuzzy Clustering for Music Recommendation
2.2. Mobile Music Application
2.3. Building Initial Datasets Using the Psychometrics’ Open-Source DASS Survey
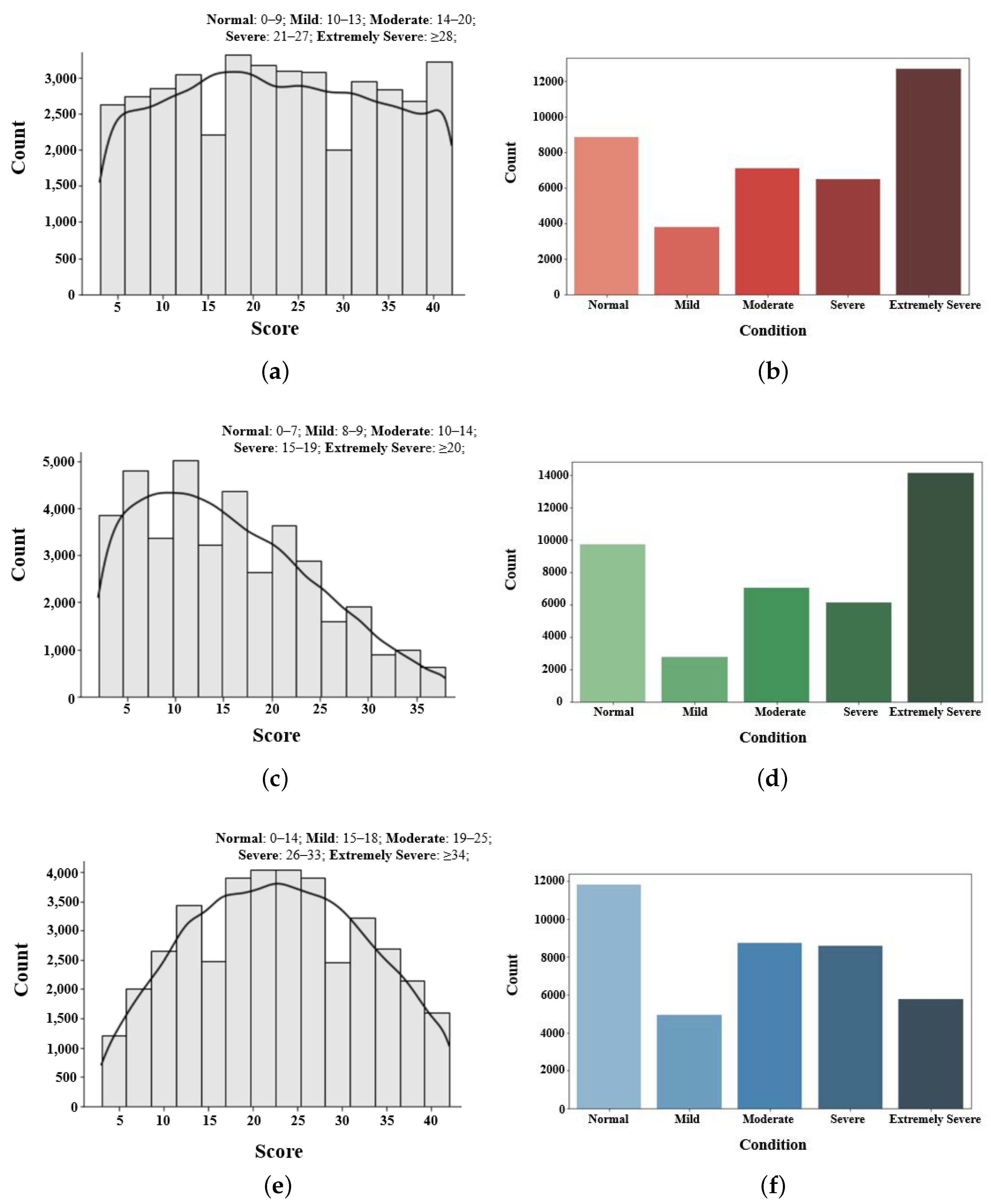
3. Results
3.1. Fuzzy Clustering for Users with Similar DASS-21 Scores
3.2. Comparison with Other Samples in the Dataset
3.3. Music Recommendation in Mobile Application
4. Discussion
5. Limitations
6. Conclusions
Author Contributions
Funding
Institutional Review Board Statement
Informed Consent Statement
Data Availability Statement
Conflicts of Interest
Appendix A


References
- Lee, Y.; National Center for Mental Health. National Mental Health Statistics 2019. 2019. Available online: https://www.ncmh.go.kr (accessed on 30 October 2020).
- Ramon-Arbues, E.; Gea-Caballero, V.; Granada-Lpez, J.M.; Juarez-Vela, R.; Pellicer-Garcia, B.; Anton-Solanas, I. The prevalence of depression, anxiety and stress and their associated factors in college students. Int. J. Environ. Res. Public Health 2020, 17, 7001. [Google Scholar] [CrossRef] [PubMed]
- Jun, D.; O’Leary, S.; McPhail, S.M.; Johnston, V. Job strain and psychological distress in office workers: The role of coping. Work 2019, 64, 55–65. [Google Scholar] [CrossRef] [PubMed]
- Wainberg, M.L.; Scorza, P.; Shultz, J.M.; Helpman, L.; Mootz, J.J.; Johnson, K.A.; Neria, Y.; Bradford, J.M.E.; Oquendo, M.A.; Arbuckle, M.R. Challenges and opportunities in global mental health: A research-to-practice perspective. Curr. Psychiatry Rep. 2017, 19, 1–10. [Google Scholar] [CrossRef] [PubMed]
- Diagnostic and statistical manual of mental disorders. Am. Psychiatr. Assoc. 2013, 21, 591–643.
- Herbison, C.E.; Allen, K.; Robinson, M.; Newnham, J.; Pennell, C. The impact of life stress on adult depression and anxiety is dependent on gender and timing of exposure. Dev. Psychopathol. 2017, 29, 1443–1454. [Google Scholar] [CrossRef]
- Auerbach, R.P.; Mortier, P.; Bruffaerts, R.; Alonso, J.; Benjet, C.; Cuijpers, P.; Demyttenaere, K.; Ebert, D.D.; Green, J.G.; Hasking, P.; et al. WHO World Mental Health Surveys International College Student Project: Prevalence and distribution of mental disorders. J. Abnorm. Psychol. 2018, 127, 623. [Google Scholar] [CrossRef]
- Lee, J.; Lee, E.H.; Moon, S.H. Systematic review of the measurement properties of the Depression Anxiety Stress Scales–21 by applying updated COSMIN methodology. Qual. Life Res. 2019, 28, 2325–2339. [Google Scholar] [CrossRef]
- Lovibond, P.F.; Lovibond, S.H. The structure of negative emotional states: Comparison of the Depression Anxiety Stress Scales (DASS) with the Beck Depression and Anxiety Inventories. Behav. Res. Ther. 1995, 33, 335–343. [Google Scholar] [CrossRef]
- Zaprutko, T.; Göder, R.; Rybakowski, F.; Kus, K.; Kopciuch, D.; Paczkowska, A.; Ratajczak, P.; Nowakowska, E. Non-pharmacological treatments of inpatients with major depression–the case of Polish (Poznan) and German (Kiel) hospital. Complement. Ther. Clin. Pract. 2020, 39, 101129. [Google Scholar] [CrossRef]
- Park, Y.C. Non-pharmacological treatment for depression. J. Korean Med. Assoc. 2011, 54, 376–380. [Google Scholar] [CrossRef][Green Version]
- Trimmer, C.; Tyo, R.; Pikard, J.; McKenna, C.; Naeem, F. Low-intensity cognitive behavioural therapy-based music group (CBT-music) for the treatment of symptoms of anxiety and depression: A feasibility study. Behav. Cogn. Psychother. 2018, 46, 168–181. [Google Scholar] [CrossRef] [PubMed]
- Hu, J.; Zhang, J.; Hu, L.; Yu, H.; Xu, J. Art Therapy: A Complementary Treatment for Mental Disorders. Front. Psychol. 2021, 12, 686005. [Google Scholar] [CrossRef] [PubMed]
- de Witte, M.; Pinho, A.d.S.; Stams, G.J.; Moonen, X.; Bos, A.E.; van Hooren, S. Music therapy for stress reduction: A systematic review and meta-analysis. Health Psychol. Rev. 2022, 16, 134–159. [Google Scholar] [CrossRef]
- Wang, S.; Agius, M. The use of music therapy in the treatment of mental illness and the enhancement of societal wellbeing. Psychiatr. Danub. 2018, 30, 595–600. [Google Scholar]
- Schedl, M.; Zamani, H.; Chen, C.W.; Deldjoo, Y.; Elahi, M. Current challenges and visions in music recommender systems research. Int. J. Multimed. Inf. Retr. 2018, 7, 95–116. [Google Scholar] [CrossRef]
- Chang, H.Y.; Huang, S.C.; Wu, J.H. A personalized music recommendation system based on electroencephalography feedback. Multimed. Tools Appl. 2017, 76, 19523–19542. [Google Scholar] [CrossRef]
- Dutta, E.; Bothra, A.; Chaspari, T.; Ioerger, T.; Mortazavi, B.J. Reinforcement learning using EEG signals for therapeutic use of music in emotion management. In Proceedings of the 2020 42nd Annual International Conference of the IEEE Engineering in Medicine & Biology Society (EMBC), Montreal, QC, Canada, 20–24 July 2020; pp. 5553–5556. [Google Scholar]
- Rahman, J.S.; Gedeon, T.; Caldwell, S.; Jones, R.; Jin, Z. Towards effective music therapy for mental health care using machine learning tools: Human affective reasoning and music genres. J. Artif. Intell. Soft Comput. Res. 2021, 11, 5–20. [Google Scholar] [CrossRef]
- Amiri, S.; Fard, A.P.; Khaledi-Paveh, B.; Foroughi, A.; Bavafa, A.; Bazani, M.; Mohammadian, Y.; Sadeghi, K. The effectiveness of music therapy on insomnia using Persian traditional music. J. Kermanshah Univ. Med Sci. 2019, 23, e86914. [Google Scholar] [CrossRef]
- Geetha, G.; Safa, M.; Fancy, C.; Saranya, D. A hybrid approach using collaborative filtering and content based filtering for recommender system. J. Phys. Conf. Ser. 2018, 1000, 012101. [Google Scholar] [CrossRef]
- Gupta, G.; Katarya, R. Recommendation analysis on item-based and user-based collaborative filtering. In Proceedings of the 2019 International Conference on Smart Systems and Inventive Technology (ICSSIT), Tirunelveli, India, 27–29 November 2019; pp. 1–4. [Google Scholar]
- AL-Bakri, N.F.; Hashim, S.H. Collaborative Filtering Recommendation Model Based on k-means Clustering. Al-Nahrain J. Sci. 2019, 22, 74–79. [Google Scholar] [CrossRef]
- Golalipour, K.; Akbari, E.; Hamidi, S.S.; Lee, M.; Enayatifar, R. From clustering to clustering ensemble selection: A review. Eng. Appl. Artif. Intell. 2021, 104, 104388. [Google Scholar] [CrossRef]
- Miyamoto, S.; Ichihashi, H.; Honda, K.; Ichihashi, H. Algorithms for Fuzzy Clustering; Springer: Berlin/Heidelberg, Germany, 2008; Volume 10. [Google Scholar]
- Deng, J.; Deng, Y. Information Volume of Fuzzy Membership Function. Int. J. Comput. Commun. Control 2021, 16, 1–14. [Google Scholar] [CrossRef]
- Antony, M.M.; Bieling, P.J.; Cox, B.J.; Enns, M.W.; Swinson, R.P. Psychometric properties of the 42-item and 21-item versions of the Depression Anxiety Stress Scales in clinical groups and a community sample. Psychol. Assess. 1998, 10, 176. [Google Scholar] [CrossRef]
- Garg, A.; Chaturvedi, V.; Kaur, A.B.; Varshney, V.; Parashar, A. Machine learning model for mapping of music mood and human emotion based on physiological signals. Multimed. Tools Appl. 2022, 81, 5137–5177. [Google Scholar] [CrossRef]
- Leubner, D.; Hinterberger, T. Reviewing the effectiveness of music interventions in treating depression. Front. Psychol. 2017, 8, 1109. [Google Scholar] [CrossRef] [PubMed]
- Monga, P.; Sharma, M.; Sharma, S.K. Performance Analysis of Machine Learning and Soft Computing Techniques in Diagnosis of Behavioral Disorders. In Electronic Systems and Intelligent Computing; Springer: Berlin/Heidelberg, Germany, 2022; pp. 85–99. [Google Scholar]
- Coker, A.; Coker, O.; Sanni, D. Psychometric properties of the 21-item depression anxiety stress scale (DASS-21). Afr. Res. Rev. 2018, 12, 135–142. [Google Scholar] [CrossRef]
- Shahapure, K.R.; Nicholas, C. Cluster quality analysis using silhouette score. In Proceedings of the 2020 IEEE 7th International Conference on Data Science and Advanced Analytics (DSAA), Sydney, NSW, Australia, 6–9 October 2020; pp. 747–748. [Google Scholar]
- Elbay, R.Y.; Kurtulmuş, A.; Arpacıoğlu, S.; Karadere, E. Depression, anxiety, stress levels of physicians and associated factors in COVID-19 pandemics. Psychiatry Res. 2020, 290, 113130. [Google Scholar] [CrossRef]
- Chiu, M.C.; Hsu, Y.W. Using fuzzy c-means clustering based on integration of psychological and physiological data for therapeutic music design. J. Ind. Prod. Eng. 2017, 34, 382–397. [Google Scholar] [CrossRef]









| Music | Group 1 | Group 2 | Group 3 | ||||
|---|---|---|---|---|---|---|---|
| DASS | Severity | Prop. | No. Music | Prop. | No. Music | Prop. | No. Music |
| High | 0.81 | 4.64 | 0.35 | 1.45 | 0.74 | 4.52 | |
| Depression | Middle | 0.19 | 0.83 | 0.32 | 1.51 | 0.26 | 1.24 |
| Low | - | - | 0.33 | 1.29 | - | - | |
| High | 0.18 | 1.89 | 0.16 | 2.58 | 0.84 | 4.76 | |
| Anxiety | Middle | 0.41 | 2.28 | 0.20 | 1.71 | 0.16 | 1.61 |
| Low | 0.32 | 2.43 | 0.64 | 4.54 | - | - | |
| High | - | - | 0.11 | 0.79 | 0.58 | 1.54 | |
| Stress | Middle | 0.76 | 1.47 | 0.52 | 2.57 | 0.42 | 2.78 |
| Low | 0.24 | 1.12 | 0.37 | 2.12 | - | - | |
Disclaimer/Publisher’s Note: The statements, opinions and data contained in all publications are solely those of the individual author(s) and contributor(s) and not of MDPI and/or the editor(s). MDPI and/or the editor(s) disclaim responsibility for any injury to people or property resulting from any ideas, methods, instructions or products referred to in the content. |
© 2022 by the authors. Licensee MDPI, Basel, Switzerland. This article is an open access article distributed under the terms and conditions of the Creative Commons Attribution (CC BY) license (https://creativecommons.org/licenses/by/4.0/).
Share and Cite
Wang, E.; Lee, H.; Do, K.; Lee, M.; Chung, S. Recommendation of Music Based on DASS-21 (Depression, Anxiety, Stress Scales) Using Fuzzy Clustering. Electronics 2023, 12, 168. https://doi.org/10.3390/electronics12010168
Wang E, Lee H, Do K, Lee M, Chung S. Recommendation of Music Based on DASS-21 (Depression, Anxiety, Stress Scales) Using Fuzzy Clustering. Electronics. 2023; 12(1):168. https://doi.org/10.3390/electronics12010168
Chicago/Turabian StyleWang, Eunyoung, Hyeokmin Lee, Kyunghee Do, Moonhwan Lee, and Sungtaek Chung. 2023. "Recommendation of Music Based on DASS-21 (Depression, Anxiety, Stress Scales) Using Fuzzy Clustering" Electronics 12, no. 1: 168. https://doi.org/10.3390/electronics12010168
APA StyleWang, E., Lee, H., Do, K., Lee, M., & Chung, S. (2023). Recommendation of Music Based on DASS-21 (Depression, Anxiety, Stress Scales) Using Fuzzy Clustering. Electronics, 12(1), 168. https://doi.org/10.3390/electronics12010168

