Capacity State-of-Health Estimation of Electric Vehicle Batteries Using Machine Learning and Impedance Measurements
Abstract
:1. Introduction
1.1. State-of-the-Art Review
1.2. Paper Contributions and Structure
- Analysis of impedance measurements’ potential as health indicator to predict a battery’s maximum available capacity;
- Improved flexibility, since the execution constraints are relaxed, e.g., the algorithm does not require the battery to be charging;
- Highly-accurate estimations obtained with a limited number of measurements.
2. Materials and Methods
2.1. Data Set Description
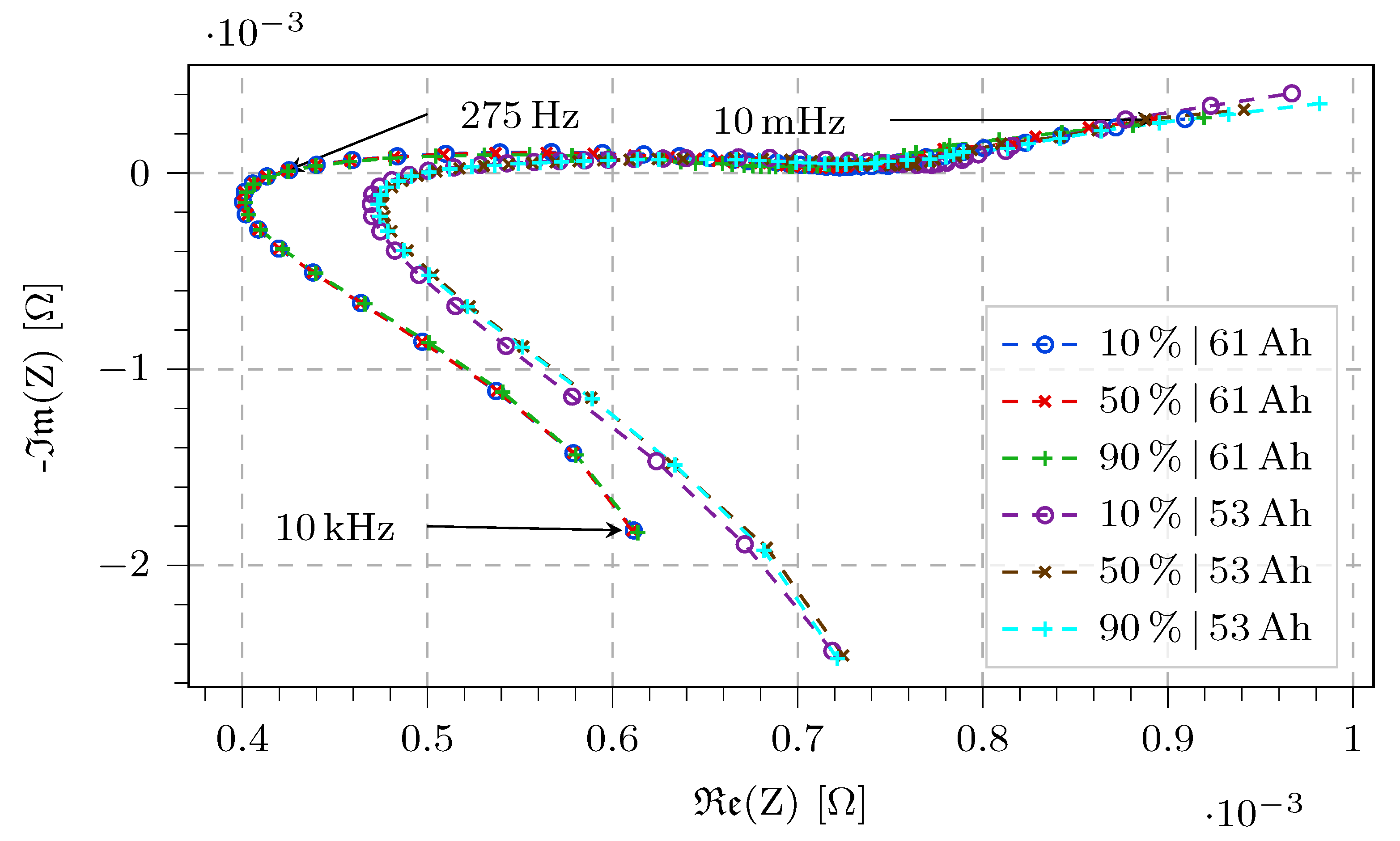
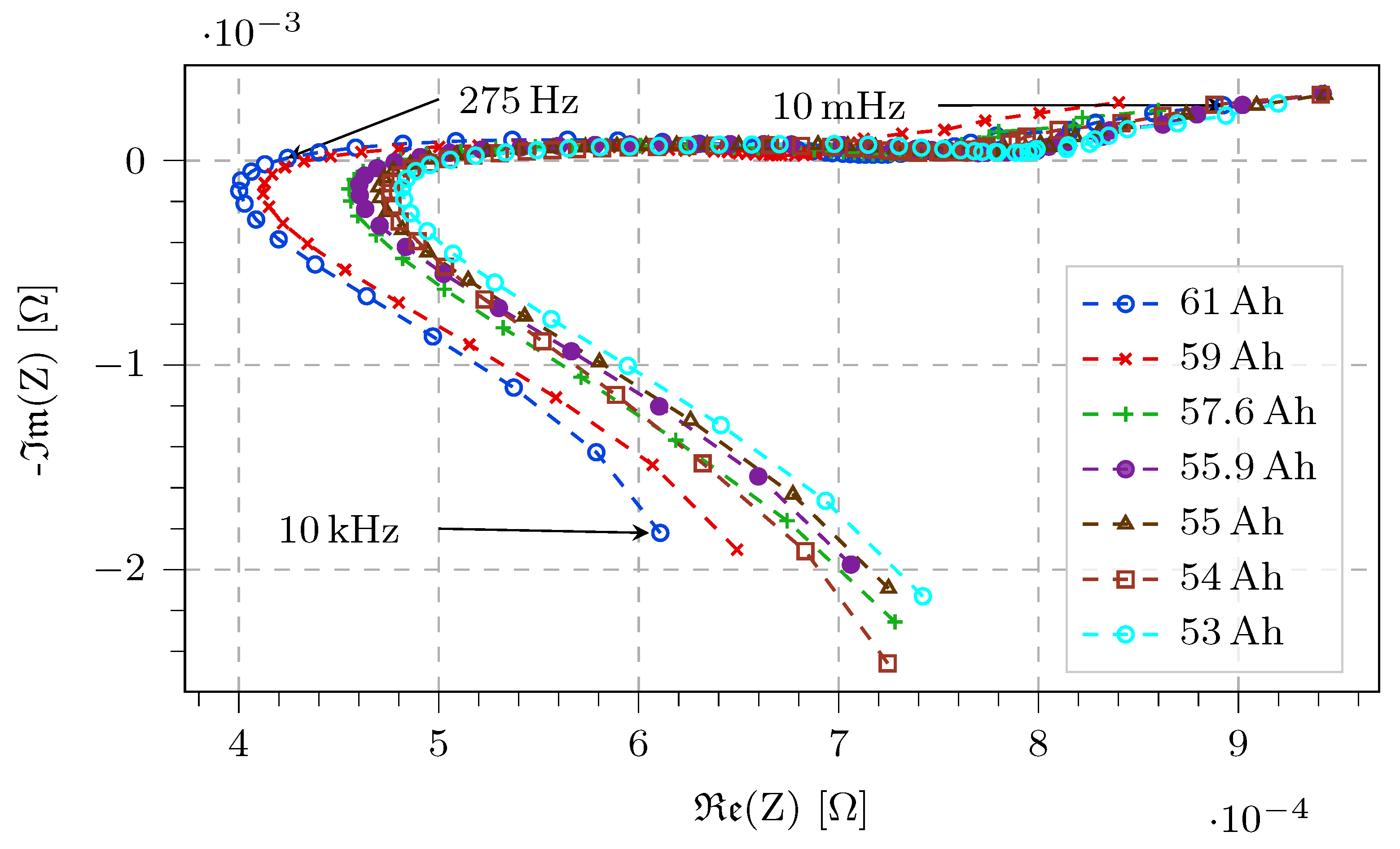
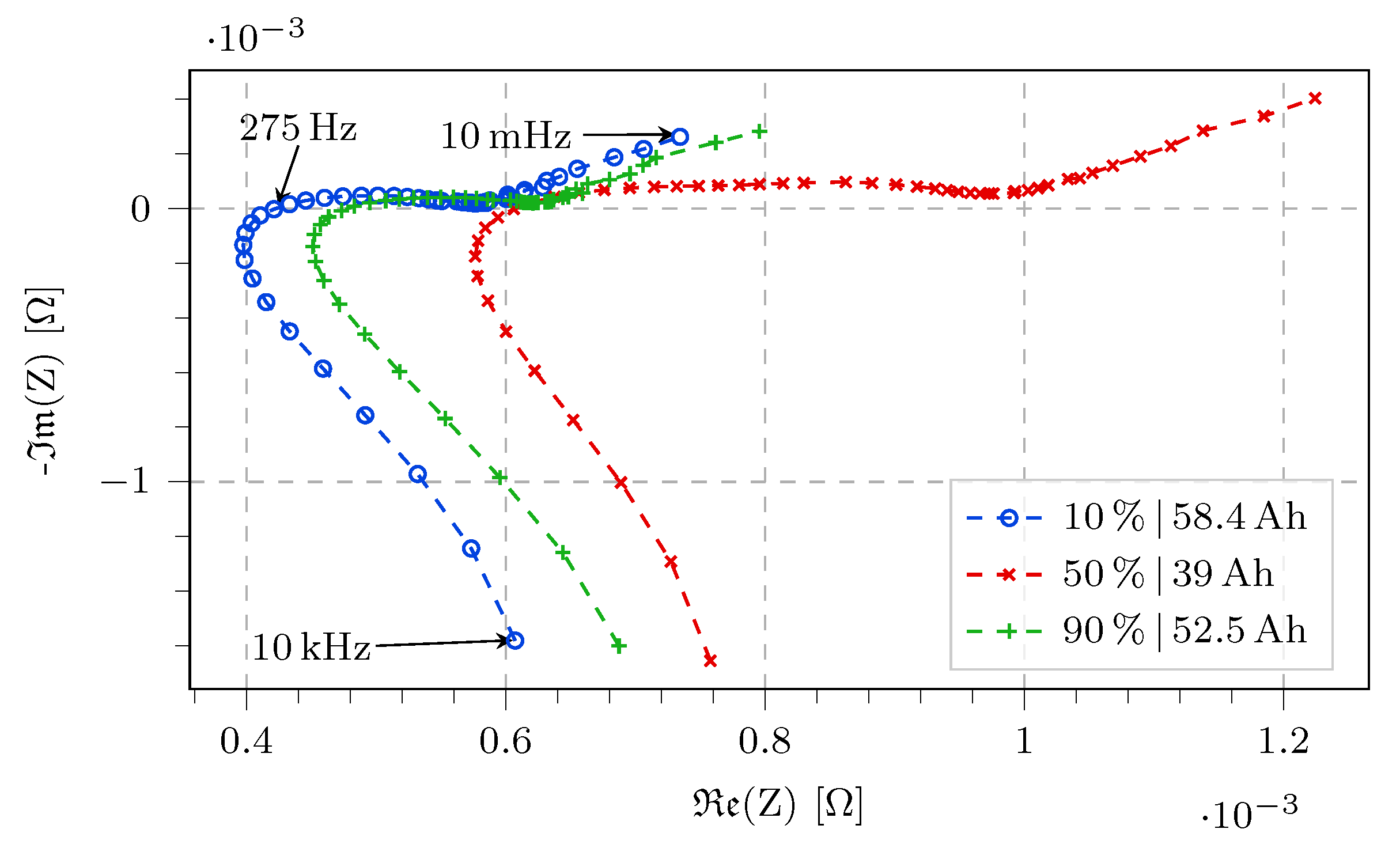
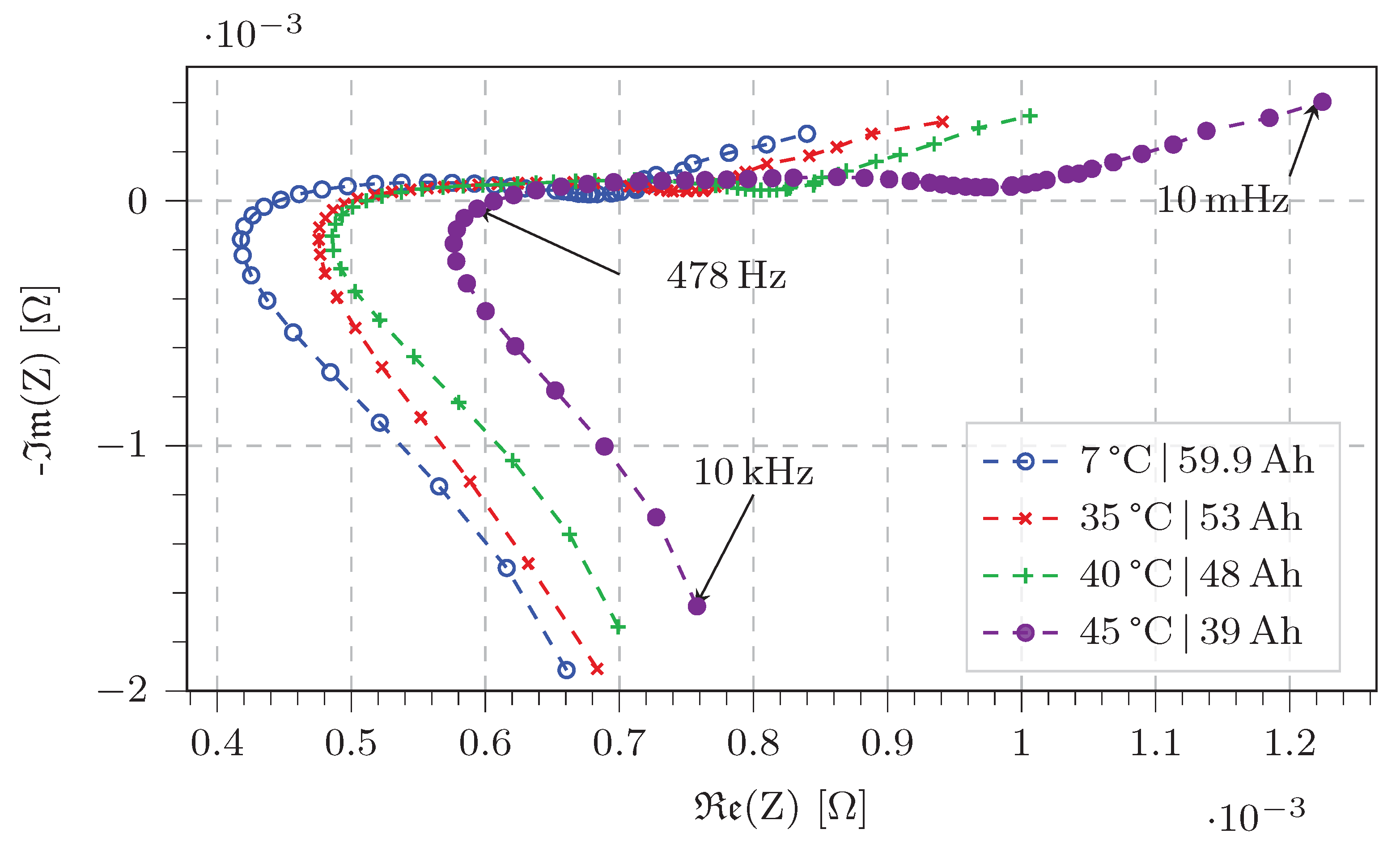
2.2. Degradation Analysis
2.3. Fully-Connected Feed-Forward Neural Networks
2.4. Impedance-Based SoH Estimation Algorithm
3. Results
3.1. SoC-Dependent Capacity Estimation
3.2. SoC-Independent Capacity Estimation
4. Conclusions
Author Contributions
Funding
Data Availability Statement
Conflicts of Interest
Abbreviations
| BMS | Battery management system |
| CCCV | Constant-current, constant-voltage |
| EIS | Electrochemical impedance spectroscopy |
| EV | Electric vehicle |
| FC-FNN | Fully-connected feed-forward neural networks |
| IC | Incremental capacity |
| LSTM-RNN | Long short-term memory recurrent neural network |
| MAE | Mean absolute error |
| ME | Maximum error |
| ML | Machine learning |
| MSE | Mean-squared-error |
| ReLU | Rectified linear unit |
| RMSE | Root-mean-squared error |
| SoC | State of charge |
| SoH | State of health |
References
- Miao, Y.; Hynan, P.; von Jouanne, A.; Yokochi, A. Current Li-ion Battery Technologies in Electric Vehicles and Opportunities for Advancements. Energies 2019, 12, 1074. [Google Scholar] [CrossRef] [Green Version]
- Berecibar, M.; Gandiaga, I.; Villarreal, I.; Omar, N.; Van Mierlo, J.; Van den Bossche, P. Critical Review of State of Health Estimation Methods of Li-ion Batteries for Real Applications. Renew. Sustain. Energy Rev. 2016, 56, 572–587. [Google Scholar] [CrossRef]
- Vidal, C.; Malysz, P.; Kollmeyer, P.; Emadi, A. Machine Learning Applied to Electrified Vehicle Battery State of Charge and State of Health Estimation: State-of-the-Art. IEEE Access 2020, 8,, 52796–52814. [Google Scholar] [CrossRef]
- Sihvo, J.; Stroe, D.; Messo, T.; Roinila, T. Fast Approach for Battery Impedance Identification Using Pseudo-Random Sequence Signals. IEEE Trans. Power Electron. 2020, 35, 2548–2557. [Google Scholar] [CrossRef]
- Nusev, G.; Juričić, D.; Gaberšček, M.; Moškon, J.; Boškoski, P. Fast Impedance Measurement of Li-ion Battery Using Discrete Random Binary Excitation and Wavelet Transform. IEEE Access 2021, 9, 46152–46165. [Google Scholar] [CrossRef]
- Geng, Z.; Thiringer, T.; Olofsson, Y.; Groot, J.; West, M. On-board Impedance Diagnostics Method of Li-ion Traction Batteries Using Pseudo-Random Binary Sequences. In Proceedings of the 2018 20th European Conference on Power Electronics and Applications (EPE’18 ECCE Europe), Riga, Latvia, 17–21 September 2018; pp. 1–9. [Google Scholar]
- Chen, C.; Yesilbas, G.; Lenz, A.; Schneider, O.; Knoll, A.C. Machine Learning Approach for Full Impedance Spectrum Study of Li-ion Battery. In Proceedings of the 46th Annual Conference of the IEEE Industrial Electronics Society (IECON), Singapore, 18–21 October 2020; pp. 3747–3752. [Google Scholar]
- Gismero, A.; Stroe, D.-I.; Schaltz, E. Calendar Ageing Lifetime Model of NMC-based Lithium-ion Batteries Based on EIS Measurements. In Proceedings of the 2019 Fourteenth International Conference on Ecological Vehicles and Renewable Energies (EVER), Monte-Carlo, Monaco, 8–10 May 2019. [Google Scholar]
- Tan, X.; Tan, Y.; Zhan, D.; Yu, Z.; Fan, Y.; Qiu, J.; Li, J. Real-time State-of-Health Estimation of Lithium-ion Batteries Based on the Equivalent Internal Resistance. IEEE Access 2020, 8, 56811–56822. [Google Scholar] [CrossRef]
- <b>Barragán-Moreno, A. Machine Learning-based Online State-of-Health Estimation of Electric Vehicle Batteries. Master’s Thesis, Aalborg Universitet (AAU), Aalborg, Denmark, 14 June 2021. [Google Scholar]
- Schaltz, E.; Stroe, D.-I.; Nørregaard, K.; Stenhøj Kofod, L.; Christensen, A. Incremental Capacity Analysis Applied on Electric Vehicles for Battery State-of-Health Estimation. IEEE Trans. Ind. Appl. 2021, 57, 1810–1817. [Google Scholar] [CrossRef]









| Chemistry | Nominal Capacity | Rated Voltage | Cut-Off Voltages | |
|---|---|---|---|---|
| Lower | Upper | |||
| NMC | 63 | 3 | ||
| Cell ID | C1 | C2 | C3 | C4 | C5 | C6 |
|---|---|---|---|---|---|---|
| SoC | 50% | 50% | 50% | 10% | 90% | 50% |
| Temperature | 35 | 40 | 45 | 45 | 45 | 7 |
| Symbol | Description |
|---|---|
| Input data vector | |
| Output data vector | |
| Weight from input to mth neuron in 1st hidden layer | |
| Weight from lth neuron in th hidden layer to sth neuron in ith hidden layer | |
| Weight from sth neuron in ith hidden layer to output |
| Train | Test | Structure | RMSE | MAE | ME | ||
|---|---|---|---|---|---|---|---|
| C1–C4 0–13 M | C5–C6 0–13 M | FNN (10-10-10, ReLU) | 2.8% | 1.7% | 10% | −1.5% | 2.3% |
| C1–C6 0–10 M | C1–C6 11–13 M | FNN (10-10-10, ReLU) | 2.4% | 1.7% | 5.4% | 1.7% | 1.2% |
| Train | Test | Structure | RMSE | MAE | ME | ||
|---|---|---|---|---|---|---|---|
| C1–C4 0–13 M | C5–C6 0–13 M | FNN (10-10-10, ReLU) | 2% | 1.4% | 5.9% | 0% | 2% |
| C1–C6 0–10 M | C1–C6 11–13 M | FNN (10-10-10, ReLU) | 2.1% | 1.6% | 5.8% | 1.6% | 1.5% |
| Train | Test | Structure | RMSE | MAE | ME | ||
|---|---|---|---|---|---|---|---|
| C1–C4 0–13 M | C5–C6 0–13 M | FNN (10-10-10, ReLU) | 1.5% | 0.9% | 6.3% | −0.2% | 1.5% |
| C1–C6 0–10 M | C1–C6 11–13 M | FNN (10-10-10, ReLU) | 2.5% | 1.9% | 6% | 1.8% | 1.9% |
| Train | Test | Structure | RMSE | MAE | ME | ||
|---|---|---|---|---|---|---|---|
| C1–C4 0–13 M | C5–C6 0–13 M | FNN (10-10-10, ReLU) | 1.9% | 1.1% | 6.3% | −0.2% | 2.1% |
| C1–C6 0–10 M | C1–C6 11–13 M | FNN (10-10-10, ReLU) | 3.1% | 2.7% | 5% | 2.5% | 1.8% |
Publisher’s Note: MDPI stays neutral with regard to jurisdictional claims in published maps and institutional affiliations. |
© 2022 by the authors. Licensee MDPI, Basel, Switzerland. This article is an open access article distributed under the terms and conditions of the Creative Commons Attribution (CC BY) license (https://creativecommons.org/licenses/by/4.0/).
Share and Cite
Barragán-Moreno, A.; Schaltz, E.; Gismero, A.; Stroe, D.-I. Capacity State-of-Health Estimation of Electric Vehicle Batteries Using Machine Learning and Impedance Measurements. Electronics 2022, 11, 1414. https://doi.org/10.3390/electronics11091414
Barragán-Moreno A, Schaltz E, Gismero A, Stroe D-I. Capacity State-of-Health Estimation of Electric Vehicle Batteries Using Machine Learning and Impedance Measurements. Electronics. 2022; 11(9):1414. https://doi.org/10.3390/electronics11091414
Chicago/Turabian StyleBarragán-Moreno, Alberto, Erik Schaltz, Alejandro Gismero, and Daniel-Ioan Stroe. 2022. "Capacity State-of-Health Estimation of Electric Vehicle Batteries Using Machine Learning and Impedance Measurements" Electronics 11, no. 9: 1414. https://doi.org/10.3390/electronics11091414
APA StyleBarragán-Moreno, A., Schaltz, E., Gismero, A., & Stroe, D.-I. (2022). Capacity State-of-Health Estimation of Electric Vehicle Batteries Using Machine Learning and Impedance Measurements. Electronics, 11(9), 1414. https://doi.org/10.3390/electronics11091414

