Broadband and Wide-Angle Performance of a Perfect Absorber Using a MIM Structure with 2D MXene
Abstract
:1. Introduction
2. Simulation Results and Discussions
2.1. Structural Design
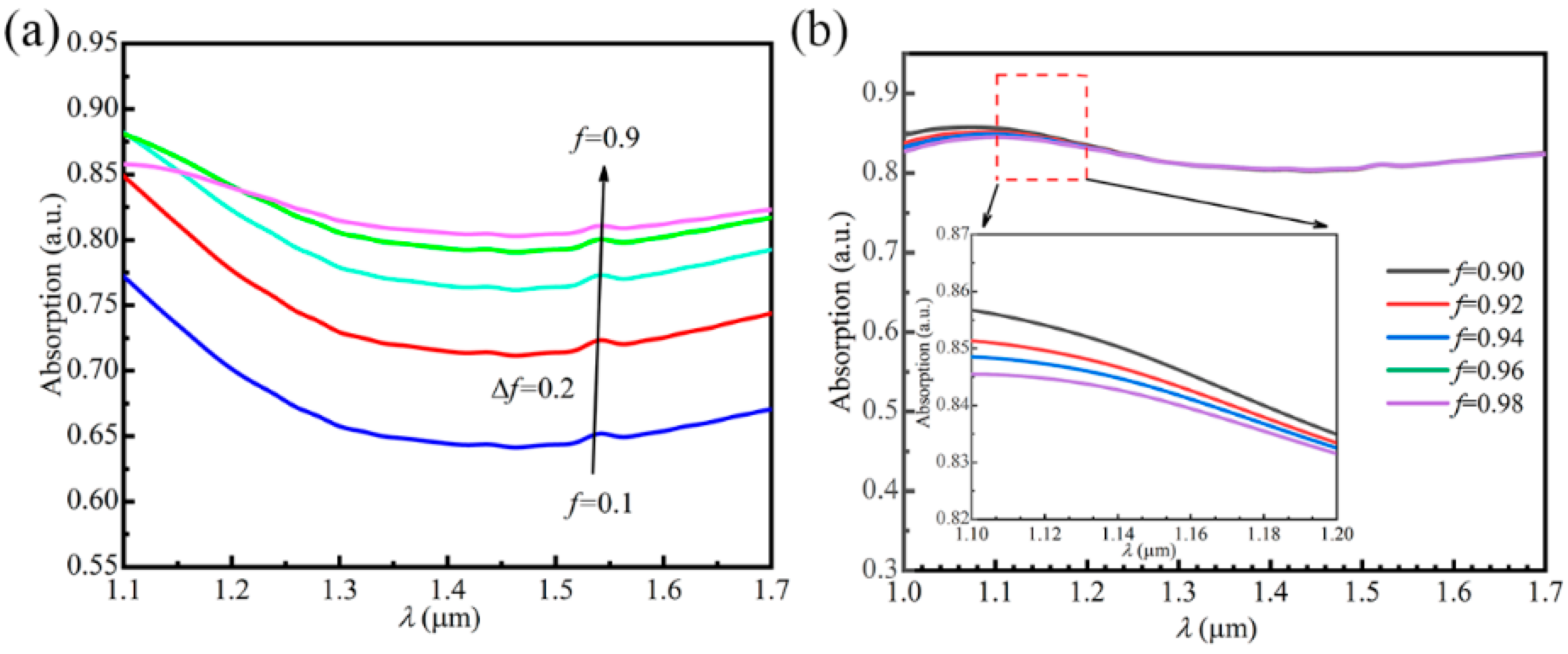
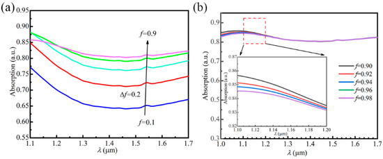
2.2. Broadband Analysis
2.3. Wide-Angle Analysis
3. Conclusions
Author Contributions
Funding
Conflicts of Interest
References
- Yan, H.; Li, X.; Chandra, B.; Tulevski, G.; Wu, Y.; Freitag, M.; Zhu, W.; Avouris, P.; Xia, F. Tunable Infrared Plasmonic Devices Using Graphene/Insulator Stacks. Nat. Nanotechnol. 2012, 7, 330–334. [Google Scholar] [CrossRef] [PubMed] [Green Version]
- Chou Chau, Y.-F.; Chou Chao, C.-T.; Huang, H.J.; Kooh, M.R.R.; Kumara, N.T.R.N.; Lim, C.M.; Chiang, H.-P. Perfect Dual-Band Absorber Based on Plasmonic Effect with the Cross-Hair/Nanorod Combination. Nanomaterials 2020, 10, 493. [Google Scholar] [CrossRef] [PubMed] [Green Version]
- Chao, C.-T.C.; Chau, Y.-F.C.; Chiang, H.-P. Enhancing plasmonic effect in periodic nanometal square prisms with fences and cavities for refractive index and temperature sensing applications. J. Nanoparticle Res. 2020, 22, 297. [Google Scholar] [CrossRef]
- Chou Chao, C.-T.; Chou Chau, Y.-F.; Chiang, H.-P. Biosensing on a Plasmonic Dual-Band Perfect Absorber Using Intersection Nanostructure. ACS Omega 2022, 7, 1139–1149. [Google Scholar] [CrossRef]
- Jiang, T.; Huang, Y.; Meng, X. Cds Core-Au/Mxene-Based Photodetectors: Positive Deep-Uv Photoresponse and Negative Uv–Vis-Nir Photoresponse. Appl. Surf. Sci. 2020, 513, 145813. [Google Scholar] [CrossRef]
- Liao, Y.; Shan, Y.; Wu, L.; Xiang, Y.; Dai, X. Liquid-Exfoliated Few-Layer Inse Nanosheets for Broadband Nonlinear All-Optical Applications. Adv. Opt. Mater. 2020, 8, 1901862. [Google Scholar] [CrossRef]
- Song, C.; Liao, Y.; Xiang, Y.; Dai, X. Liquid phase exfoliated boron nanosheets for all-optical modulation and logic gates. Sci. Bull. 2020, 65, 1030–1038. [Google Scholar] [CrossRef]
- Wang, X.; Jiang, X.; You, Q.; Guo, J.; Dai, X.; Xiang, Y. Tunable and Multichannel Terahertz Perfect Absorber Due to Tamm Surface Plasmons with Graphene. Photon. Res. 2017, 5, 536–542. [Google Scholar] [CrossRef]
- Wang, X.; Liang, Y.; Wu, L.; Guo, J.; Dai, X.; Xiang, Y. Multi-Channel Perfect Absorber Based on a One-Dimensional Topological Photonic Crystal Heterostructure with Graphene. Opt. Lett. 2018, 43, 4256–4259. [Google Scholar] [CrossRef]
- Wang, C.; Liang, J.; Cai, T.; Li, H.; Ji, W.; Zhang, Q.; Zhang, C. High-Performance and Ultra-Broadband Metamaterial Absorber Based on Mixed Absorption Mechanisms. IEEE Access 2019, 7, 57259–57266. [Google Scholar] [CrossRef]
- Othman, M.A.K.; Guclu, C.; Capolino, F. Graphene-Based Tunable Hyperbolic Metamaterials and Enhanced near-Field Absorption. Opt. Express 2013, 21, 7614–7632. [Google Scholar] [CrossRef] [PubMed] [Green Version]
- Lin, K.-T.; Lin, H.; Yang, T.; Jia, B. Structured Graphene Metamaterial Selective Absorbers for High Efficiency and Omnidirectional Solar Thermal Energy Conversion. Nat. Commun. 2020, 11, 1389. [Google Scholar] [CrossRef] [Green Version]
- Cui, Y.; Fung, K.H.; Xu, J.; Ma, H.; Jin, Y.; He, S.; Fang, N.X. Ultrabroadband Light Absorption by a Sawtooth Anisotropic Metamaterial Slab. Nano Lett. 2012, 12, 1443–1447. [Google Scholar] [CrossRef] [Green Version]
- You, W.; Pei, K.; Yang, L.; Li, X.; Shi, X.; Yu, X.; Guo, H.; Che, R. In Situ Dynamics Response Mechanism of the Tunable Length-Diameter Ratio Nanochains for Excellent Microwave Absorber. Nano Res. 2020, 13, 72–78. [Google Scholar] [CrossRef]
- Ghidiu, M.; Lukatskaya, M.R.; Zhao, M.-Q.; Gogotsi, Y.; Barsoum, M.W. Conductive Two-Dimensional Titanium Carbide ‘Clay’ with High Volumetric Capacitance. Nature 2014, 516, 78–81. [Google Scholar] [CrossRef] [PubMed]
- Ling, Z.; Ren, C.E.; Zhao, M.-Q.; Yang, J.; Giammarco, J.M.; Qiu, J.; Barsoum, M.W.; Gogotsi, Y. Flexible and Conductive Mxene Films and Nanocomposites with High Capacitance. Proc. Natl. Acad. Sci. USA 2014, 111, 16676. [Google Scholar] [CrossRef] [PubMed] [Green Version]
- Wu, L.; Jiang, X.; Zhao, J.; Liang, W.; Li, Z.; Huang, W.; Lin, Z.; Wang, Y.; Zhang, F.; Lu, S.; et al. Mxene-Based Nonlinear Optical Information Converter for All-Optical Modulator and Switcher. Laser Photonics Rev. 2018, 12, 1800215. [Google Scholar] [CrossRef]
- Wu, Q.; Huang, W.; Wang, Y.; Wang, C.; Zheng, Z.; Chen, H.; Zhang, M.; Zhang, H. All-Optical Control of Microfiber Knot Resonator Based on 2d Ti2ctx Mxene. Adv. Opt. Mater. 2020, 8, 1900977. [Google Scholar] [CrossRef]
- Jiang, X.; Liu, S.; Liang, W.; Luo, S.; He, Z.; Ge, Y.; Wang, H.; Cao, R.; Zhang, F.; Wen, Q.; et al. Broadband Nonlinear Photonics in Few-Layer Mxene Ti3c2tx (T = F, O, or Oh). Laser Photonics Rev. 2018, 12, 1700229. [Google Scholar] [CrossRef]
- Wu, Q.; Jin, X.; Chen, S.; Jiang, X.; Hu, Y.; Jiang, Q.; Wu, L.; Li, J.; Zheng, Z.; Zhang, M.; et al. Mxene-Based Saturable Absorber for Femtosecond Mode-Locked Fiber Lasers. Opt. Express 2019, 27, 10159–10170. [Google Scholar] [CrossRef]
- Halim, J.; Lukatskaya, M.R.; Cook, K.M.; Lu, J.; Smith, C.R.; Näslund, L.-Å.; May, S.J.; Hultman, L.; Gogotsi, Y.; Eklund, P.; et al. Transparent Conductive Two-Dimensional Titanium Carbide Epitaxial Thin Films. Chem. Mater. 2014, 26, 2374–2381. [Google Scholar] [CrossRef] [PubMed]
- Kajiyama, S.; Szabova, L.; Sodeyama, K.; Iinuma, H.; Morita, R.; Gotoh, K.; Tateyama, Y.; Okubo, M.; Yamada, A. Sodium-Ion Intercalation Mechanism in Mxene Nanosheets. ACS Nano 2016, 10, 3334–3341. [Google Scholar] [CrossRef]
- Lukatskaya, M.R.; Kota, S.; Lin, Z.; Zhao, M.-Q.; Shpigel, N.; Levi, M.D.; Halim, J.; Taberna, P.-L.; Barsoum, M.W.; Simon, P.; et al. Ultra-High-Rate Pseudocapacitive Energy Storage in Two-Dimensional Transition Metal Carbides. Nat. Energy 2017, 2, 17105. [Google Scholar] [CrossRef]
- Dai, X.; Song, C.; Qiu, C.; Wu, L.; Xiang, Y. Theoretical Investigation of Multilayer Ti3c2tx Mxene as the Plasmonic Material for Surface Plasmon Resonance Sensors in near Infrared Region. IEEE Sens. J. 2019, 19, 11834–11838. [Google Scholar] [CrossRef]
- Wu, L.; You, Q.; Shan, Y.; Gan, S.; Zhao, Y.; Dai, X.; Xiang, Y. Few-Layer Ti3c2tx Mxene: A Promising Surface Plasmon Resonance Biosensing Material to Enhance the Sensitivity. Sens. Actuators B Chem. 2018, 277, 210–215. [Google Scholar] [CrossRef]
- Kim, H.; Wang, Z.; Alshareef, H.N. Mxetronics: Electronic and Photonic Applications of Mxenes. Nano Energy 2019, 60, 179–197. [Google Scholar] [CrossRef]
- Shahzad, F.; Alhabeb, M.; Hatter, C.B.; Anasori, B.; Man Hong, S.; Koo, C.M.; Gogotsi, Y. Electromagnetic Interference Shielding with 2d Transition Metal Carbides (Mxenes). Science 2016, 353, 1137. [Google Scholar] [CrossRef] [PubMed] [Green Version]
- Chaudhuri, K.; Alhabeb, M.; Wang, Z.; Shalaev, V.M.; Gogotsi, Y.; Boltasseva, A. Highly Broadband Absorber Using Plasmonic Titanium Carbide (Mxene). ACS Photonics 2018, 5, 1115–1122. [Google Scholar] [CrossRef]
- Dillon, A.D.; Ghidiu, M.J.; Krick, A.L.; Griggs, J.; May, S.J.; Gogotsi, Y.; Barsoum, M.W.; Fafarman, A.T. Highly Conductive Optical Quality Solution-Processed Films of 2d Titanium Carbide. Adv. Funct. Mater. 2016, 26, 4162–4168. [Google Scholar] [CrossRef]
- Xiong, D.; Li, X.; Bai, Z.; Lu, S. Recent Advances in Layered Ti3c2tx Mxene for Electrochemical Energy Storage. Small 2018, 14, 1703419. [Google Scholar] [CrossRef] [Green Version]
- Zhang, C.; Anasori, B.; Seral-Ascaso, A.; Park, S.-H.; McEvoy, N.; Shmeliov, A.; Duesberg, G.S.; Coleman, J.N.; Gogotsi, Y.; Nicolosi, V. Transparent, Flexible, and Conductive 2d Titanium Carbide (Mxene) Films with High Volumetric Capacitance. Adv. Mater. 2017, 29, 1702678. [Google Scholar] [CrossRef]
- Xiong, K.; Wang, P.; Yang, G.; Liu, Z.; Zhang, H.; Jin, S.; Xu, X. Functional Group Effects on the Photoelectronic Properties of Mxene (Sc2ct2, T = O, F, Oh) and Their Possible Photocatalytic Activities. Sci. Rep. 2017, 7, 15095. [Google Scholar] [CrossRef] [PubMed] [Green Version]
- Tuo, M.; Xu, C.; Mu, H.; Bao, X.; Wang, Y.; Xiao, S.; Ma, W.; Li, L.; Tang, D.; Zhang, H.; et al. Ultrathin 2d Transition Metal Carbides for Ultrafast Pulsed Fiber Lasers. ACS Photonics 2018, 5, 1808–1816. [Google Scholar] [CrossRef]
- Aydin, K.; Ferry, V.E.; Briggs, R.M.; Atwater, H.A. Broadband Polarization-Independent Resonant Light Absorption Using Ultrathin Plasmonic Super Absorbers. Nat. Commun. 2011, 2, 517. [Google Scholar] [CrossRef] [PubMed]
- Gomes de Souza, I.L.; Rodriguez-Esquerre, V.F. Omnidirectional Broadband Absorber for Visible Light Based on a Modulated Plasmonic Multistack Grating. Opt. Laser Technol. 2020, 124, 105981. [Google Scholar] [CrossRef]
- Li, Y.; Liu, Z.; Zhang, H.; Tang, P.; Wu, B.; Liu, G. Ultra-Broadband Perfect Absorber Utilizing Refractory Materials in Metal-Insulator Composite Multilayer Stacks. Opt. Express 2019, 27, 11809–11818. [Google Scholar] [CrossRef]
- Feng, R.; Qiu, J.; Cao, Y.; Liu, L.; Ding, W.; Chen, L. Wide-Angle and Polarization Independent Perfect Absorber Based on One-Dimensional Fabrication-Tolerant Stacked Array. Opt. Express 2015, 23, 21023–21031. [Google Scholar] [CrossRef]
- Yang, Y.; Jia, H.; Bi, Y.; Zhao, H.; Yang, J. Experimental Demonstration of an Acoustic Asymmetric Diffraction Grating Based on Passive Parity-Time-Symmetric Medium. Phys. Rev. Appl. 2019, 12, 034040. [Google Scholar] [CrossRef] [Green Version]
- Bushuev, V.A.; Dergacheva, L.V.; Mantsyzov, B.I. Asymmetric Pendulum Effect and Transparency Change of PT-Symmetric Photonic Crystals under Dynamical Bragg Diffraction beyond the Paraxial Approximation. Phys. Rev. A 2017, 95, 033843. [Google Scholar] [CrossRef]
- Chau, Y.-F.C.; Chao, C.-T.C.; Huang, H.J.; Anwar, U.; Lim, C.M.; Voo, N.Y.; Mahadi, A.H.; Kumara, N.; Chiang, H.-P. Plasmonic perfect absorber based on metal nanorod arrays connected with veins. Results Phys. 2019, 15, 102567. [Google Scholar] [CrossRef]
- Chou Chau, Y.-F.; Lim, C.M.; Lee, C.; Huang, H.J.; Lin, C.-T.; Kumara, N.T.R.N.; Yoong, V.N.; Chiang, H.-P. Tailoring surface plasmon resonance and dipole cavity plasmon modes of scattering cross section spectra on the single solid-gold/gold-shell nanorod. J. Appl. Phys. 2016, 120, 093110. [Google Scholar] [CrossRef]
- Chau, Y.-F.C.; Chao, C.-T.C.; Huang, H.J.; Lim, R.C.; Chiang, H.-P. Tunable plasmonic effects arising from metal-dielectric nanorods. Appl. Opt. 2019, 58, 2530–2539. [Google Scholar] [CrossRef]
- Shi, Y.; Chen, X.; Lou, F.; Chen, Y.; Yan, M.; Wosinski, L.; Qiu, M. All-Optical Switching of Silicon Disk Resonator Based on Photothermal Effect in Metal&-Insulator-Metal Absorber. Opt. Lett. 2014, 39, 4431–4434. [Google Scholar] [PubMed]
- Dai, S.; Zhao, D.; Li, Q.; Qiu, M. Double-Sided Polarization-Independent Plasmonic Absorber at near-Infrared Region. Opt. Express 2013, 21, 13125–13133. [Google Scholar] [CrossRef] [PubMed]
- Wang, W.; Qu, Y.; Du, K.; Bai, S.; Tian, J.; Pan, M.; Ye, H.; Qiu, M.; Li, Q. Broadband Optical Absorption Based on Single-Sized Metal-Dielectric-Metal Plasmonic Nanostructures with High Metals. Appl. Phys. Lett. 2017, 110, 101101. [Google Scholar] [CrossRef]
- Zhang, S.; Wang, Y.; Wang, S.; Zheng, W. Wavelength-Tunable Perfect Absorber Based on Guided-Mode Resonances. Appl. Opt. 2016, 55, 3176–3181. [Google Scholar] [CrossRef]






| Structure Shape | Absorption Band | Incident Angle | Ref |
|---|---|---|---|
| Disc | narrow band | fixed angle of incidence | [43] |
| Rectangle | dual band | wide incidence angle | [44] |
| Disc | wide band | fixed angle of incidence | [45] |
| Rectangle | three band | fixed angle of incidence | [46] |
| rectangle | wide band | wide incidence angle | this work |
Publisher’s Note: MDPI stays neutral with regard to jurisdictional claims in published maps and institutional affiliations. |
© 2022 by the authors. Licensee MDPI, Basel, Switzerland. This article is an open access article distributed under the terms and conditions of the Creative Commons Attribution (CC BY) license (https://creativecommons.org/licenses/by/4.0/).
Share and Cite
Jia, Y.; Song, C.; Liao, Y.; Cai, H. Broadband and Wide-Angle Performance of a Perfect Absorber Using a MIM Structure with 2D MXene. Electronics 2022, 11, 1370. https://doi.org/10.3390/electronics11091370
Jia Y, Song C, Liao Y, Cai H. Broadband and Wide-Angle Performance of a Perfect Absorber Using a MIM Structure with 2D MXene. Electronics. 2022; 11(9):1370. https://doi.org/10.3390/electronics11091370
Chicago/Turabian StyleJia, Yue, Chunmei Song, Yunlong Liao, and Houzhi Cai. 2022. "Broadband and Wide-Angle Performance of a Perfect Absorber Using a MIM Structure with 2D MXene" Electronics 11, no. 9: 1370. https://doi.org/10.3390/electronics11091370
APA StyleJia, Y., Song, C., Liao, Y., & Cai, H. (2022). Broadband and Wide-Angle Performance of a Perfect Absorber Using a MIM Structure with 2D MXene. Electronics, 11(9), 1370. https://doi.org/10.3390/electronics11091370
