Low Power Consumption Gate-Tunable WSe2/SnSe2 van der Waals Tunnel Field-Effect Transistor
Abstract
:1. Introduction
2. Materials and Methods
3. Results and Discussion
3.1. Morphological Characterization
3.2. Energy Band Diagram
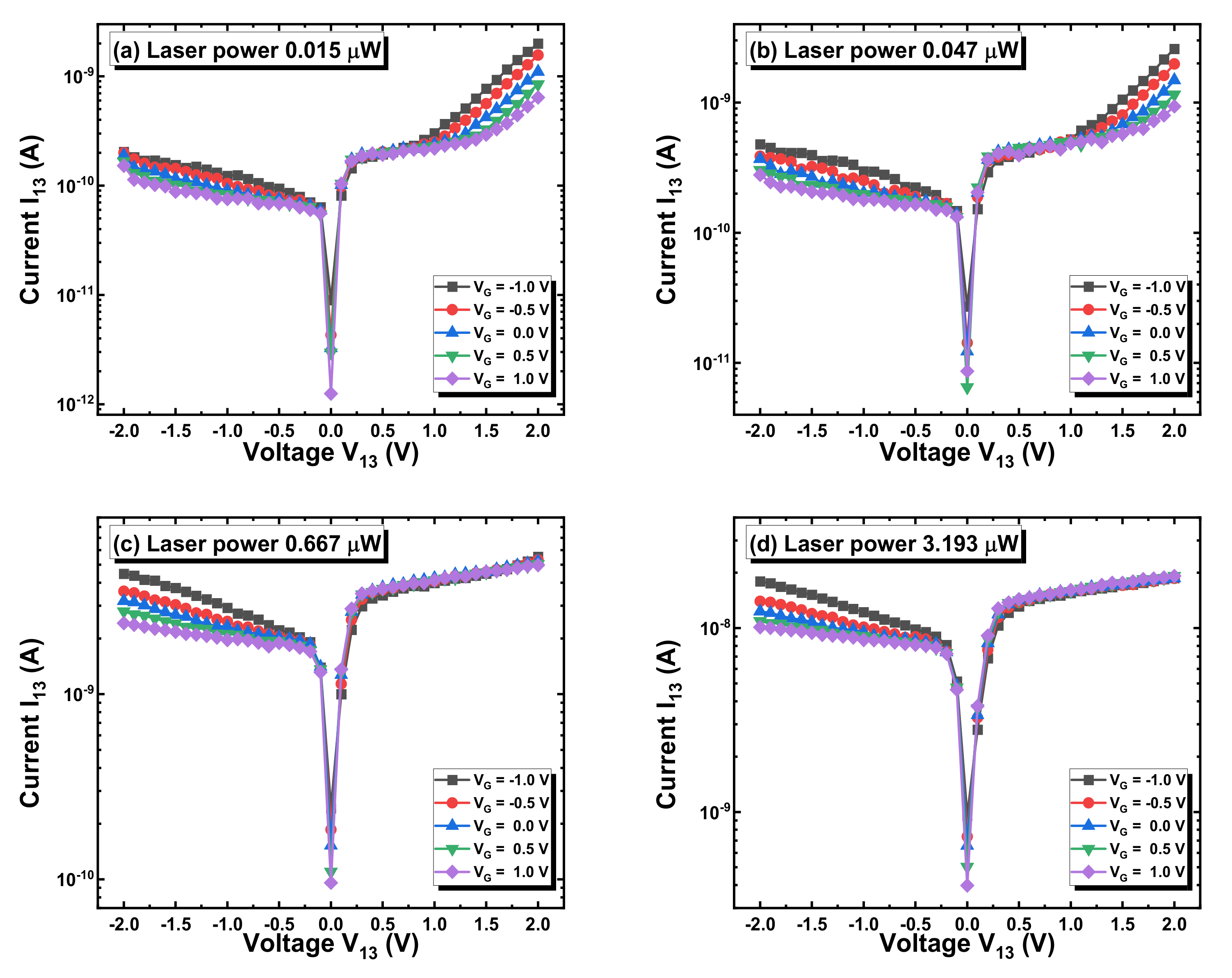
3.3. Electrical and Optoelectronic Characterizations
4. Conclusions
Supplementary Materials
Author Contributions
Funding
Data Availability Statement
Conflicts of Interest
References
- Tong, L.; Peng, Z.; Lin, R.; Li, Z.; Wang, Y.; Huang, X.; Xue, K.-H.; Xu, H.; Liu, F.; Xia, H.; et al. 2D materials–based homogeneous transistor-memory architecture for neuromorphic hardware. Science 2021, 373, 1353–1358. [Google Scholar] [CrossRef] [PubMed]
- Yin, L.; Cheng, R.; Wang, Z.; Wang, F.; Sendeku, M.G.; Wen, Y.; Zhan, X.; He, J. Two-Dimensional Unipolar Memristors with Logic and Memory Functions. Nano Lett. 2020, 20, 4144–4152. [Google Scholar] [CrossRef]
- Shanker, G.S.; Biswas, A.; Ogale, S.B. 2D materials and their heterostructures for photocatalytic water splitting and conversion of CO2 to value chemicals and fuels. J. Phys. Energy 2021, 3, 022003. [Google Scholar] [CrossRef]
- Conti, S.; Pimpolari, L.; Calabrese, G.; Worsley, R.; Majee, S.; Polyushkin, D.K.; Paur, M.; Pace, S.; Keum, D.H.; Fabbri, F.; et al. Low-voltage 2D materials-based printed field-effect transistors for integrated digital and analog electronics on paper. Nat. Commun. 2020, 11, 3566. [Google Scholar] [CrossRef] [PubMed]
- Abderrahmane, A.; Ko, P.J.; Thu, T.V.; Ishizawa, S.; Takamura, T.; Sandhu, A. High photosensitivity few-layered MoSe2 back-gated field-effect phototransistors. Nanotechnology 2014, 25, 365202. [Google Scholar] [CrossRef] [PubMed]
- Das, S.; Prakash, A.; Salazar, R.; Appenzeller, J. Toward low-power electronics: Tunneling phenomena in transition metal dichalcogenides. ACS Nano 2014, 8, 1681–1689. [Google Scholar] [CrossRef]
- Zhu, W.; Low, T.; Wang, H.; Ye, P.; Duan, X. Nanoscale electronic devices based on transition metal dichalcogenides. 2D Mater. 2019, 6, 032004. [Google Scholar] [CrossRef]
- Luo, Z.-D.; Xia, X.; Yang, M.-M.; Wilson, N.R.; Gruverman, A.; Alexe, M. Artificial optoelectronic synapses based on ferroelectric field-effect enabled 2D transition metal dichalcogenide memristive transistors. ACS Nano 2019, 14, 746–754. [Google Scholar] [CrossRef]
- Kim, J.Y.; Choi, M.-J.; Jang, H.W. Ferroelectric field effect transistors: Progress and perspective. APL Mater. 2021, 9, 021102. [Google Scholar] [CrossRef]
- Xie, L.; Cui, X. Manipulating spin-polarized photocurrents in 2D transition metal dichalcogenides. Proc. Natl. Acad. Sci. USA 2016, 113, 3746–3750. [Google Scholar] [CrossRef] [Green Version]
- Wang, L.; Xu, D.; Jiang, L.; Gao, J.; Tang, Z.; Xu, Y.; Chen, X.; Zhang, H. Transition Metal Dichalcogenides for Sensing and Oncotherapy: Status, Challenges, and Perspective. Adv. Funct. Mater. 2021, 31, 2004408. [Google Scholar] [CrossRef]
- Urbanos, F.J.; Gullace, S.; Samorì, P. Field-Effect Transistors Based Ion Sensors: Ultrasensitive Mercury (II) Detection via Healing of MoS2 Defects. Nanoscale 2021, 13, 19682–19689. [Google Scholar] [CrossRef] [PubMed]
- Shu, Y.; Yang, Y.; Gao, Q. Interlayer engineering of two-dimensional transition-metal disulfides for electrochemical and optical sensing applications. FlatChem 2021, 27, 100242. [Google Scholar] [CrossRef]
- Jin, Z.; Li, X.; Mullen, J.T.; Kim, K.W. Intrinsic transport properties of electrons and holes in monolayer transition-metal dichalcogenides. Phys. Rev. B 2014, 90, 045422. [Google Scholar] [CrossRef] [Green Version]
- Yu, P.; Lin, J.; Sun, L.; Le, Q.L.; Yu, X.; Gao, G.; Hsu, C.-H.; Wu, D.; Chang, T.-R.; Zeng, Q.; et al. Metal-Semiconductor Phase-Transition in WSe2(1-x) Te2x Monolayer. Adv. Mater. 2017, 29, 1603991. [Google Scholar] [CrossRef] [PubMed]
- Choi, W.; Choudhary, N.; Han, G.H.; Park, J.; Akinwande, D.; Lee, Y.H. Recent development of two-dimensional transition metal dichalcogenides and their applications. Mater. Today 2017, 20, 116–130. [Google Scholar] [CrossRef]
- Narro-Rios, J.S.; Ramachandran, M.; Martínez-Escobar, D.; Sánchez-Juárez, A. Ultrasonic spray pyrolysis deposition of SnSe and SnSe2 using a single spray solution. J. Semicond. 2013, 34, 013001. [Google Scholar] [CrossRef]
- Abderrahmane, A.; Woo, C.; Ko, P.J. Black Phosphorus/Molybdenum Diselenide Heterojunction-Based Photodetector. J. Electron. Mater. 2021, 50, 5713–5720. [Google Scholar] [CrossRef]
- Li, J.; Luo, H.; Zhai, B.; Lu, R.; Guo, Z.; Zhang, H.; Liu, Y. Black phosphorus: A two-dimension saturable absorption material for mid-infrared Q-switched and mode-locked fiber lasers. Sci. Rep. 2016, 6, 30361. [Google Scholar] [CrossRef] [Green Version]
- Zong, X.; Hu, H.; Ouyang, G.; Wang, J.; Shi, R.; Zhang, L.; Zeng, Q.; Zhu, C.; Chen, S.; Cheng, C.; et al. Black phosphorus-based van der Waals heterostructures for mid-infrared light-emission applications. Light Sci. Appl. 2020, 9, 114. [Google Scholar] [CrossRef]
- Li, A.; Chen, Q.; Wang, P.; Gan, Y.; Qi, T.; Wang, P.; Tang, F.; Wu, J.Z.; Chen, R.; Zhang, L.; et al. Ultrahigh-sensitive broadband photodetectors based on dielectric shielded MoTe2/Graphene/SnS2 p–g–n junctions. Adv. Mater. 2019, 31, e1805656. [Google Scholar] [CrossRef] [PubMed]
- Mukhokosi, E.P.; Roul, B.; Krupanidhi, S.B.; Nanda, K.K. Toward a fast and highly responsive SnSe2-based photodiode by exploiting the mobility of the counter semiconductor. ACS Appl. Mater. Interfaces 2019, 11, 6184–6194. [Google Scholar] [CrossRef] [PubMed]
- Schulman, D.S.; Arnold, A.J.; Das, S. Contact engineering for 2D materials and devices. Chem. Soc. Rev. 2018, 47, 3037–3058. [Google Scholar] [CrossRef] [PubMed]
- Yan, X.; Liu, C.; Li, C.; Bao, W.; Ding, S.; Zhang, D.W.; Zhou, P. Tunable SnSe2/WSe2 heterostructure tunneling field effect transistor. Small 2017, 13, 1701478. [Google Scholar] [CrossRef]
- Vu, Q.A.; Lee, J.H.; Nguyen, V.L.; Shin, Y.S.; Lim, S.C.; Lee, K.; Heo, J.; Park, S.; Kim, K.; Lee, Y.H.; et al. Tuning carrier tunneling in van der Waals heterostructures for ultrahigh detectivity. Nano Lett. 2017, 17, 453–459. [Google Scholar] [CrossRef]
- Furchi, M.M.; Polyushkin, D.; Pospischil, A.; Mueller, T. Mechanisms of photoconductivity in atomically thin MoS2. Nano Lett. 2014, 14, 6165–6170. [Google Scholar] [CrossRef] [Green Version]
- Chauhan, P.; Patel, A.B.; Solanki, G.K.; Machhi, H.K.; Sumesh, C.K.; Soni, S.S.; Patel, V.; Pathak, V.M. Ultrasonically exfoliated nanocrystal-based Z-scheme SnSe2/WSe2 heterojunction for a superior electrochemical photoresponse. J. Phys. Chem. C 2021, 125, 14729–14740. [Google Scholar] [CrossRef]
- Xue, H.; Dai, Y.; Kim, W.; Wang, Y.; Bai, X.; Qi, M.; Halonen, K.; Lipsanen, H.; Sun, Z. High photoresponsivity and broadband photodetection with a band-engineered WSe 2/SnSe 2 heterostructure. Nanoscale 2019, 11, 3240–3247. [Google Scholar] [CrossRef] [Green Version]
- Sun, Y.; Hu, R.; An, C.; Ma, X.; Zhang, J.; Liu, J. Visible to near-infrared photodetector based on SnSe2/WSe2 heterojunction with potential application in artificial visual neuron. Nanotechnology 2021, 32, 475206. [Google Scholar] [CrossRef]








| Structure | Spectral Range | Rλ (mAW−1) | ION/IOFF Ratio | Reference |
|---|---|---|---|---|
| BP-gated WSe2/SnSe2 | 532 nm | 11 | 20 | This work |
| WSe2/SnSe2 | 532 nm | 1.03 | N/A | [27] |
| WSe2/SnSe2 | 532 nm | N/A | 106 | [24] |
| WSe2/SnSe2 | 532 nm | 588 × 103 | ~104 | [28] |
| WSe2/SnSe2 | 700 nm | 450 | ~103 to ~104 | [29] |
Publisher’s Note: MDPI stays neutral with regard to jurisdictional claims in published maps and institutional affiliations. |
© 2022 by the authors. Licensee MDPI, Basel, Switzerland. This article is an open access article distributed under the terms and conditions of the Creative Commons Attribution (CC BY) license (https://creativecommons.org/licenses/by/4.0/).
Share and Cite
Abderrahmane, A.; Woo, C.; Ko, P.-J. Low Power Consumption Gate-Tunable WSe2/SnSe2 van der Waals Tunnel Field-Effect Transistor. Electronics 2022, 11, 833. https://doi.org/10.3390/electronics11050833
Abderrahmane A, Woo C, Ko P-J. Low Power Consumption Gate-Tunable WSe2/SnSe2 van der Waals Tunnel Field-Effect Transistor. Electronics. 2022; 11(5):833. https://doi.org/10.3390/electronics11050833
Chicago/Turabian StyleAbderrahmane, Abdelkader, Changlim Woo, and Pil-Ju Ko. 2022. "Low Power Consumption Gate-Tunable WSe2/SnSe2 van der Waals Tunnel Field-Effect Transistor" Electronics 11, no. 5: 833. https://doi.org/10.3390/electronics11050833
APA StyleAbderrahmane, A., Woo, C., & Ko, P.-J. (2022). Low Power Consumption Gate-Tunable WSe2/SnSe2 van der Waals Tunnel Field-Effect Transistor. Electronics, 11(5), 833. https://doi.org/10.3390/electronics11050833

