A Study on Conformal Metasurface Influences on Passive Beam Steering
Abstract
:1. Introduction
2. Materials and Methods
2.1. Proposed Conformal Metasurface Antenna System
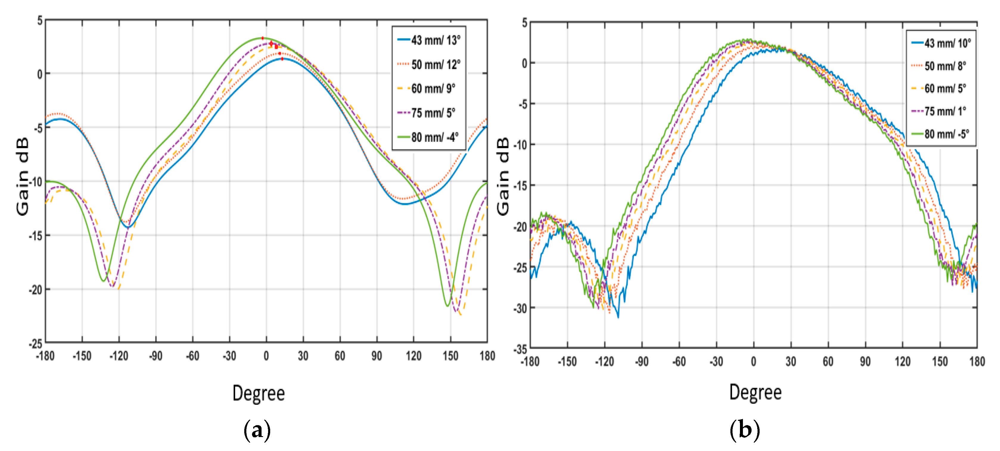
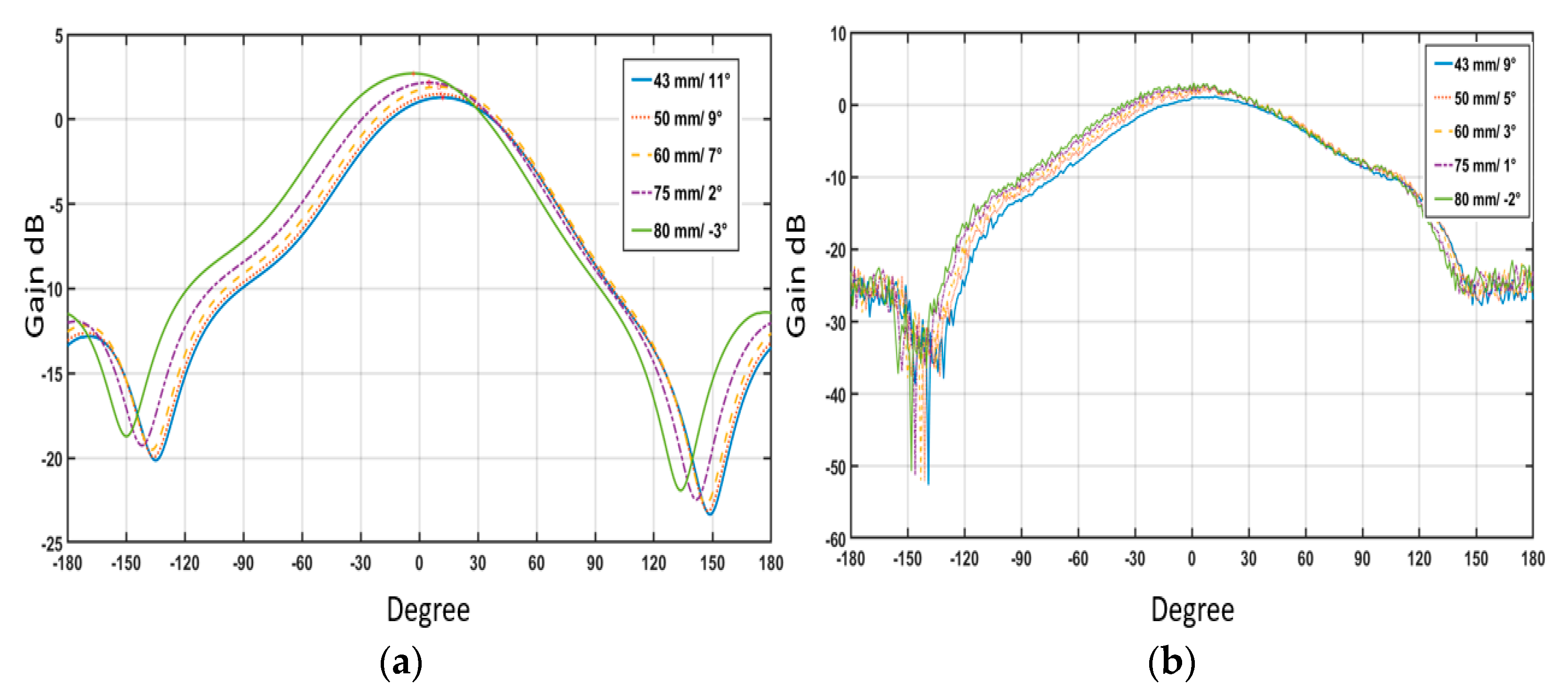
2.2. HFSS Simulation Result
3. Fabrication and Measurement
3.1. Fabrication
3.2. Measurement Setup and Result
4. Discussions
5. Conclusions
Author Contributions
Funding
Data Availability Statement
Conflicts of Interest
References
- Andrews, J.G.; Buzzi, S.; Choi, W.; Hanly, S.V.; Lozano, A.; Soong, A.C.; Zhang, J.C. What will 5G be? IEEE J. Sel. Areas Commun. 2014, 32, 1065–1082. [Google Scholar] [CrossRef]
- Navarro, A.; Chang, K. Integrated Active Antennas and Spatial Power Combining; Wiley: New York, NY, USA, 1996. [Google Scholar]
- Yan, W.; Yuan, X.; He, Z.-Q.; Kuai, X. Passive Beamforming and Information Transfer Design for Reconfigurable Intelligent Surfaces Aided Multiuser MIMO Systems. IEEE J. Sel. Areas Commun. 2020, 38, 1793–1808. [Google Scholar] [CrossRef]
- Hu, S.; Rusek, F.; Edfors, O. Beyond Massive MIMO: The Potential of Data Transmission with Large Intelligent Surfaces. IEEE Trans. Signal Process. 2018, 66, 2746–2758. [Google Scholar] [CrossRef] [Green Version]
- Zhang, Q.; Guo, H.; Liang, Y.-C.; Yuan, X. Constellation learningbased signal detection for ambient backscatter communication systems. IEEE J. Sel. Areas Commun. 2019, 37, 452–463. [Google Scholar] [CrossRef]
- Wan, X.; Qi, M.Q.; Chen, T.Y.; Cui, T.J. Field-programmable beam reconfiguring based on digitally-controlled coding metasurface. Sci. Rep. 2016, 6, 20663. [Google Scholar] [CrossRef] [Green Version]
- Zhang, L.; Chen, X.Q.; Liu, S.; Zhang, Q.; Zhao, J.; Dai, J.Y.; Bai, G.D.; Wan, X.; Cheng, Q.; Castaldi, G.; et al. Space-time-coding digital metasurfaces. Nat. Commun. 2018, 9, 4334. [Google Scholar] [CrossRef] [Green Version]
- Pal, A.; Mehta, A.; Goonesinghe, H.; Mirshekar-Syahkal, D.; Nakano, H. Conformal Beam-Steering Antenna Controlled by a Raspberry Pi for Sustained High-Throughput Applications. IEEE Trans. Antennas Propag. 2017, 66, 918–926. [Google Scholar] [CrossRef] [Green Version]
- Hashemi, M.R.M.; Yang, S.-H.; Wang, T.; Sepúlveda, N.; Jarrahi, M. Electronically-Controlled Beam-Steering through Vanadium Dioxide Metasurfaces. Sci. Rep. 2016, 6, 35439. [Google Scholar] [CrossRef]
- Orazbayev, B.; Beruete, M.; Khromova, I. Tunable beam steering enabled by graphene metamaterials. Opt. Express 2016, 24, 8848–8861. [Google Scholar] [CrossRef]
- Cui, T.J.; Qi, M.Q.; Wan, X.; Zhao, J.; Cheng, Q. Coding metamaterials, digital metamaterials and programmable metamaterials. Light Sci. Appl. 2014, 3, e218. [Google Scholar] [CrossRef]
- Liu, S.; Cui, T.J. Concepts, working principles, and applications of coding and programmable metamaterials. Adv. Opt. Mater. 2017, 5, 1700624. [Google Scholar] [CrossRef]
- Zhu, W.M.; Liu, A.Q.; Zhang, W.; Tao, J.F.; Bourouina, T.; Teng, J.H.; Zhang, X.H.; Wu, Q.Y.; Tanoto, H.; Guo, H.C.; et al. Po-larization dependent state to polarization independent state change in THz metamaterials. Appl. Phys. Lett. 2011, 99, 221102. [Google Scholar] [CrossRef]
- Pitchappa, P.; Ho, C.P.; Dhakar, L.; Lee, C. Microelectromechanically reconfigurable interpixelated metamaterial for inde-pendent tuning of multiple resonances at terahertz spectral region. Optica 2015, 2, 571–578. [Google Scholar] [CrossRef]
- Qin, P.-Y.; Song, L.-z.; Guo, Y.J. Beam Steering Conformal Transmitarray Employing Ultra-Thin Triple-Layer Slot Ele-ments. IEEE Trans. Antennas Propag. 2019, 67, 5390–5398. [Google Scholar] [CrossRef]
- Wu, Y.F.; Cheng, Y.J. Proactive Conformal Antenna Array for Near-Field Beam Focusing and Steering Based on Curved Substrate Integrated Waveguide. IEEE Trans. Antennas Propag. 2019, 67, 2354–2363. [Google Scholar] [CrossRef]
- Shi, S.; Bai, J.; Schneider, G.J.; Zhang, Y.; Nelson, R.; Wilson, J.; Schuetz, C.; Grund, D.W.; Prather, D.W. Conformal Wideband Optically Addressed Transmitting Phased Array with Photonic Receiver. J. Light. Technol. 2014, 32, 3468–3477. [Google Scholar] [CrossRef]
- Huang, G.-L.; Li, J.; Yuan, T.; Sim, C.-Y.-D. Recent Progress in Practical Waveguide-Based Antennas and Passive Com-ponents With Additive Manufacturing Technology. In Proceedings of the2018 IEEE Asia-Pacific Conference on Antennas and Propagation (APCAP), Auckland, New Zealand, 5–8 August 2018; pp. 70–71. [Google Scholar]
- Zaghloul, A.I.; Kilic, O. Hybrid Beam Former for Distributed-Aperture Electronically Steered Arrays. IEEE Antennas Wirel. Propag. Lett. 2010, 9, 678–681. [Google Scholar] [CrossRef]
- Huang, C.; Pan, W.; Ma, X.; Zhao, B.; Cui, J.; Luo, X. Using Reconfigurable Transmitarray to Achieve Beam-Steering and Polarization Manipulation Applications. IEEE Trans. Antennas Propag. 2015, 63, 4801–4810. [Google Scholar] [CrossRef]
- Singh, K.; Afzal, M.U.; Kovaleva, M.; Esselle, K.P. Controlling the Most Significant Grating Lobes in Two-Dimensional Beam-Steering Systems with Phase-Gradient Metasurfaces. IEEE Trans. Antennas Propag. 2019, 68, 1389–1401. [Google Scholar] [CrossRef]
- Lin, F.H.; Chen, Z.N. Low-Profile Wideband Metasurface Antennas Using Characteristic Mode Analysis. IEEE Trans. Antennas Propag. 2017, 65, 1706–1713. [Google Scholar] [CrossRef]
- Nguyen, Q.; Zaghloul, A.I. Design of Beam Steering Patch Arrays Using Self-Phased Metasurface Pixels. In Proceedings of the 2020 IEEE International Symposium on Antennas and Propagation and North American Radio Science Meeting, Montreal, QC, Canada, 5–10 July 2020; pp. 909–910. [Google Scholar]
- Turpin, J.P.; Bossard, J.A.; Morgan, K.L.; Werner, D.H.; Werner, P.L. Reconfigurable and Tunable Metamaterials: A Review of the Theory and Applications. Int. J. Antennas Propag. 2014, 2014, 429837. [Google Scholar] [CrossRef]
- Lalbakhsh, A.; Esselle, K.P. Directivity Improvement of a Fabry-Perot Cavity Antenna by Enhancing Near Field Charac-Teristic. In Proceedings of the 2016 17th International Symposium on Antenna Technology and Applied Electromagnetics (ANTEM), Montreal, QC, Canada, 10–13 July 2016; pp. 1–2. [Google Scholar]
- Lalbakhsh, A.; Afzal, M.U.; Esselle, K.P.; Smith, S.; Zeb, B.A. Single-Dielectric Wideband Partially Reflecting Surface with Variable Reflection Components for Realization of a Compact High-Gain Resonant Cavity Antenna. IEEE Trans. Antennas Propag. 2019, 67, 1916–1921. [Google Scholar] [CrossRef]
- Lalbakhsh, A.; Afzal, M.U.; Esselle, K.P. Multiobjective Particle Swarm Optimization to Design a Time-Delay Equalizer Metasurface for an Electromagnetic Band-Gap Resonator Antenna. IEEE Antennas Wirel. Propag. Lett. 2017, 16, 912–915. [Google Scholar] [CrossRef]
- Das, P.; Mandal, K.; Lalbakhsh, A. Single-layer polarization-insensitive frequency selective surface for beam reconfigurability of monopole antennas. J. Electromagn. Waves Appl. 2020, 34, 86–102. [Google Scholar] [CrossRef]
- Lalbakhsh, A.; Afzal, M.U.; Esselle, K.P.; Smith, S. Design of an Artificial Magnetic Conductor Surface Using an Evolutionary Algorithm. In Proceedings of the 2017 International Conference on Electromagnetics in Advanced Applications (ICEAA), Verona, Italy, 11–15 September 2017; pp. 885–887. [Google Scholar]
- Paul, G.S.; Mandal, K.; Lalbakhsh, A. Single-layer ultra-wide stop-band frequency selective surface using inter-connected square rings. Aeu-Int. J. Electron. Commun. 2021, 132, 153630. [Google Scholar] [CrossRef]
- Lalbakhsh, A.; Afzal, M.U.; Hayat, T.; Esselle, K.P.; Mandal, K. All-metal wideband metasurface for near-field transformation of medium-to-high gain electromagnetic sources. Sci. Rep. 2021, 11, 9421. [Google Scholar] [CrossRef]
- Afzal, M.U.; Matekovits, L.; Esselle, K.P.; Lalbakhsh, A. Beam-Scanning Antenna Based on Near-Electric Field Phase Transformation and Refraction of Electromagnetic Wave Through Dielectric Structures. IEEE Access 2020, 8, 199242–199253. [Google Scholar] [CrossRef]
- Kim, Y.-B.; Lim, S.; Lee, H.L. Electrically Conformal Antenna Array with Planar Multipole Structure for 2-D Wide Angle Beam Steering. IEEE Access 2020, 8, 157261–157269. [Google Scholar] [CrossRef]
- Li, H.; Ma, C.; Shen, F.; Xu, K.; Ye, D.; Huangfu, J.; Li, C.; Ran, L.; Denidni, T.A. Wide-Angle Beam Steering Based on an Active Conformal Metasurface Lens. IEEE Access 2019, 7, 185264–185272. [Google Scholar] [CrossRef]
- Psychoudakis, D.; Volakis, J.L. Conformal Asymmetric Meandered Flare (AMF) Antenna for Body-Worn Applications. IEEE Antennas Wirel. Propag. Lett. 2009, 8, 931–934. [Google Scholar] [CrossRef]
- Karthikeya, G.S.; Agnihotri, N.; Siddiq, S.S.; Mehul, K.S.; Thyagaraj, T. A Conformal UHF Antenna for Cargo Helicopter Belly. In Proceedings of the 2016 IEEE 5th Asia-Pacific Conference on Antennas and Propagation (APCAP), Kaohsiung, Taiwan, 26–29 July 2016; pp. 285–286. [Google Scholar]
- Isola Group. 370HR. Available online: https://www.isola-group.com/pcb-laminates-prepreg/370hr-laminate-prepreg/ (accessed on 2 December 2021).
- RT/duroid® 5870/5880 High Frequency Laminates. Available online: https://rogerscorp.com/-/media/project/rogerscorp/documents/advanced-electronics-solutions/english/data-sheets/rt-duroid-5870---5880-data-sheet.pdf/ (accessed on 2 December 2021).
- Striker, R.; Mitra, D.; Braaten, B.D. Permittivity of 3D Printed NinjaFlex Filament for use in Conformal Antenna Designs up to 20 GHz. In Proceedings of the 2020 IEEE International Conference on Electro Information Technology (EIT), Chicago, IL, USA, 31 July–1 August 2020; pp. 224–227. [Google Scholar]
- Panasonic Felios R-F775. Available online: https://docs.oshpark.com/resources/flex-substrate-Panasonic-Felios-F775.pdf/ (accessed on 2 December 2021).
- Monti, A.; Alu, A.; Toscano, A.; Bilotti, F. Surface Impedance Modeling of All-Dielectric Metasurfaces. IEEE Trans. Antennas Propag. 2019, 68, 1799–1811. [Google Scholar] [CrossRef]
- Lalbakhsh, A.; Afzal, M.; Esselle, K.; Smith, S. A High-Gain Wideband EBG Resonator Antenna for 60 GHz Unlicenced Frequency Band. In Proceedings of the 12th European Conference on Antennas and Propagation (EuCAP 2018), London, UK, 9–13 April 2018. [Google Scholar] [CrossRef]
- Wang, Z.; Wu, H.; Chen, J.; Wu, Z.; Feng, Y. An ultralow-profile lens antenna based on all-dielectric metasur-faces. In Proceedings of the 2016 IEEE 5th Asia-Pacific Conference on Antennas and Propagation (APCAP), Kaohsiung, Taiwan, 26–29 July 2016; pp. 367–368. [Google Scholar]
- Adibi, S.; Honarvar, M.A.; Lalbakhsh, A. Gain Enhancement of Wideband Circularly Polarized UWB Antenna Using FSS. Radio Sci. 2020, 56, 1–8. [Google Scholar] [CrossRef]
- Lalbakhsh, A.; Afzal, M.U.; Esselle, K.P.; Smith, S.L. All-Metal Wideband Frequency-Selective Surface Bandpass Filter for TE and TM polarizations. IEEE Trans. Antennas Propag. 2022, 1. [Google Scholar] [CrossRef]
- Zhang, S.; Cadman, D.; Vardaxoglou, J.Y.C. Additively Manufactured Profiled Conical Horn Antenna with Dielectric Loading. IEEE Antennas Wirel. Propag. Lett. 2018, 17, 2128–2132. [Google Scholar] [CrossRef] [Green Version]
- Dorle, A.; Gillard, R.; Menargues, E.; Van Der Vorst, M.; De Rijk, E.; Martin-Iglesias, P.; Garcia-Vigueras, M. Additive Manufacturing of Modulated Triple-Ridge Leaky-Wave Antenna. IEEE Antennas Wirel. Propag. Lett. 2018, 17, 2123–2127. [Google Scholar] [CrossRef]
- Su, Z.; Klionovski, K.; Bilal, R.M.; Shamim, A. A Dual Band Additively Manufactured 3-D Antenna on Package with Near-Isotropic Radiation Pattern. IEEE Trans. Antennas Propag. 2018, 66, 3295–3305. [Google Scholar] [CrossRef] [Green Version]
- Roy, S.; Qureshi, M.B.; Asif, S.; Sajal, S.; Braaten, B.D. A study of microstrip transmission lines on substrates created using additive manufacturing and flexible or semi-rigid filaments. In Proceedings of the 2017 IEEE International Conference on Electro Information Technology (EIT), Lincoln, NE, USA, 14–17 May 2017; pp. 200–205. [Google Scholar] [CrossRef]
















| Material | Permitivity | 
|---|---|
| Rogers 5870 | 2.33 [38] | 
| 3D Printing Ninja Flex | 3.7 [39] | 
| Panasonic Felios F775 | 3.2 [40] | 
| Material | Radius | Simulated Gmax | Measured Gmax | Simulated Pmax | Measured Pmax | 
|---|---|---|---|---|---|
| Rogers 5870 | 43 mm | 1.122 dB | 1.21 dB | 17° | 14° | 
| 50 mm | 1.927 dB | 1.86 dB | 8° | 9° | |
| 60 mm | 2.616 dB | 2.53 dB | 1° | 5° | |
| 75 mm | 3.09 dB | 2.98 dB | −5° | −2° | |
| 88 mm | 3.718 dB | 3.47 dB | −8° | −6° | |
| Ninja Flex | 43 mm | 1.31 dB | 1.38 dB | 13° | 10° | 
| 50 mm | 1.89 dB | 1.74 dB | 12° | 8° | |
| 60 mm | 2.34 dB | 2.14 dB | 9° | 5° | |
| 75 mm | 2.73 dB | 2.76 dB | 5° | 1° | |
| 88 mm | 3.12 dB | 2.89 dB | −4° | −5° | |
| Panasoic Felios | 43 mm | 1.26 dB | 1.13 dB | 11° | 9° | 
| 50 mm | 1.35 dB | 1.31 dB | 9° | 5° | |
| 60 mm | 1.81 dB | 1.74 dB | 7° | 3° | |
| 75 mm | 2.12 dB | 2.07 dB | 2° | 1° | |
| 88 mm | 2.51 dB | 2.31 dB | −3° | −2° | 
| Publisher’s Note: MDPI stays neutral with regard to jurisdictional claims in published maps and institutional affiliations. | 
© 2022 by the authors. Licensee MDPI, Basel, Switzerland. This article is an open access article distributed under the terms and conditions of the Creative Commons Attribution (CC BY) license (https://creativecommons.org/licenses/by/4.0/).
Share and Cite
Ge, R.; Striker, R.; Braaten, B. A Study on Conformal Metasurface Influences on Passive Beam Steering. Electronics 2022, 11, 674. https://doi.org/10.3390/electronics11050674
Ge R, Striker R, Braaten B. A Study on Conformal Metasurface Influences on Passive Beam Steering. Electronics. 2022; 11(5):674. https://doi.org/10.3390/electronics11050674
Chicago/Turabian StyleGe, Ruisi, Ryan Striker, and Benjamin Braaten. 2022. "A Study on Conformal Metasurface Influences on Passive Beam Steering" Electronics 11, no. 5: 674. https://doi.org/10.3390/electronics11050674
APA StyleGe, R., Striker, R., & Braaten, B. (2022). A Study on Conformal Metasurface Influences on Passive Beam Steering. Electronics, 11(5), 674. https://doi.org/10.3390/electronics11050674
 
         
                                                


 
       