Complex Oscillations of Chua Corsage Memristor with Two Symmetrical Locally Active Domains
Abstract
:1. Introduction
2. Symmetrical Chua Corsage Memristor
2.1. Mathematical Model
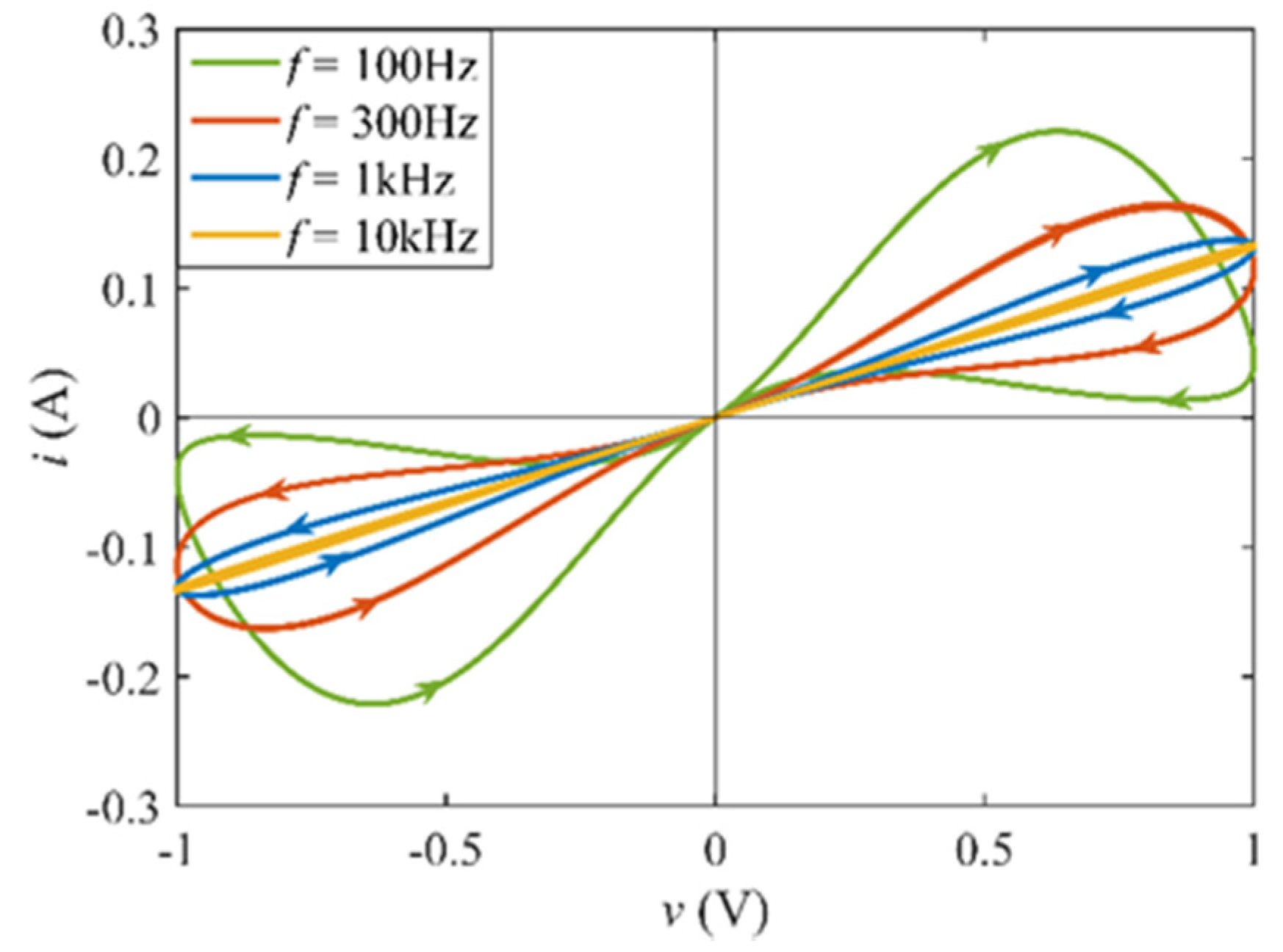
2.2. Pinched Hysteresis Loops
2.3. Local Activity
3. Edge of Chaos of the SCCM
3.1. Small-Signal Equivalent Circuit
3.2. Edge of Chaos
4. SCCM-Based Second-Order Circuit
4.1. Second-Order Circuit
4.2. Complexity Mechanism
- (i)
- Edge of chaos domain (Locally active domain): Re Y(iω, Q) < 0 for some ω ∈ (−∞,∞), and real part of all poles are less than zero.
- (ii)
- RHP pole domain (Locally active domain): Re Y(iω, Q) < 0 for some ω ∈ (−∞,∞), and there are poles with real parts less than zero.
- (iii)
- Locally passive domain: Re Y(iω, Q) > 0 for all ω ∈ (−∞,∞).
4.3. Symmetric Dynamics
5. SCCM-Based Third-Order Circuit
5.1. Complexity Mechanism
5.2. Symmetric Dynamics
6. Conclusions
Author Contributions
Funding
Conflicts of Interest
References
- Chua, L.O. Local activity is the origin of complexity. Int. J. Bifurc. Chaos 2011, 15, 3435–3456. [Google Scholar] [CrossRef] [Green Version]
- Ascoli, A.; Slesazeck, S.; Mähne, H.; Tetzlaff, R.; Mikolajick, T. Nonlinear dynamics of a locally-active memristor. IEEE Trans. Circuits Syst. I-Regul. Pap. 2015, 62, 1165–1174. [Google Scholar] [CrossRef]
- Liang, Y.; Wang, G.; Chen, G.; Dong, Y.; Yu, D.; Iu, H.H.C. S-Type Locally active memristor-based periodic and chaotic oscillators. IEEE Trans. Circuits Syst. I-Regul. Pap. 2020, 67, 5139–5152. [Google Scholar] [CrossRef]
- Chua, L.O.; Sbitnev, V.; Kim, H. Neurons are poised near the edge of chaos. Int. J. Bifurc. Chaos 2012, 22, 1250098. [Google Scholar] [CrossRef]
- Chua, L.O. Everything you wish to know about memristors but are afraid to ask. Radioengineering 2015, 24, 319–368. [Google Scholar] [CrossRef]
- Itoh, M.; Chua, L.O. Chaotic oscillation via edge of chaos criteria. Int. J. Bifurc. Chaos 2017, 27, 1730035. [Google Scholar] [CrossRef]
- Chua, L.O. Memristor, Hodgkin–Huxley, and edge of chaos. Nanotechnology 2013, 24, 67–94. [Google Scholar] [CrossRef] [PubMed]
- Pickett, M.D.; Williams, R.S. Sub-100 fJ and sub-nanosecond thermally driven threshold switching in niobium oxide crosspoint nanodevices. Nanotechnology 2012, 23, 215202. [Google Scholar] [CrossRef] [PubMed]
- Li, S.; Liu, X.; Nandi, S.K.; Nath, S.K.; Elliman, R.G. Origin of current-controlled negative differential resistance modes and the emergence of composite characteristics with high complexity. Adv. Funct. Mater. 2019, 29, 1905060. [Google Scholar] [CrossRef] [Green Version]
- Kumar, S.; Williams, R.S. Separation of current density and electric field domains caused by nonlinear electronic instabilities. Nat. Commun. 2018, 9, 2030. [Google Scholar] [CrossRef] [PubMed] [Green Version]
- Goodwill, J.M.; Ramer, G.; Li, D.; Hoskins, B.D.; Pavlidis, G.; McClelland, J.J.; Centrone, A.; Bain, J.A.; Skowronski, M. Spontaneous current constriction in threshold switching devices. Nat. Commun. 2019, 10, 1628. [Google Scholar] [CrossRef] [PubMed]
- Dong, Y.; Wang, G.; Chen, G.; Shen, Y.R.; Ying, J.J. A bistable nonvolatile locally-active memristor and its complex dynamics. Commun. Nonlinear Sci. Numer. Simul. 2020, 84, 105203. [Google Scholar] [CrossRef]
- Ying, J.; Liang, Y.; Wang, J.; Dong, Y.; Wang, G.; Gu, M. A tristable locally-active memristor and its complex dynamics. Chaos Solitons Fract. 2021, 148, 111038. [Google Scholar] [CrossRef]
- Sharma, A.A.; Bain, J.A.; Weldon, J.A. Phase coupling and control of oxide-based oscillators for neuromorphic computing. IEEE J. Explor. Solid-State Comput. Devices Circuits 2015, 1, 2329–9231. [Google Scholar] [CrossRef]
- Zhang, X.; Zhuo, Y.; Luo, Q.; Wu, Z.; Midya, R.; Wang, Z.; Song, W.; Wang, R.; Upadhyay, N.K.; Fang, Y.; et al. An artificial spiking afferent nerve based on Mott memristors for neurorobotics. Nat. Commun. 2020, 11, 51. [Google Scholar] [CrossRef] [Green Version]
- Kumar, S.; Strachan, J.P.; Williams, R.S. Chaotic dynamics in nanoscale NbO2 mott memristor for analogue computing. Nature 2017, 548, 318–321. [Google Scholar] [CrossRef]
- Ying, J.; Liang, Y.; Wang, G.; Iu, H.H.C.; Zhang, J.; Jin, P. Locally active memristor based oscillators: The dynamic route from period to chaos and hyperchaos. Chaos 2021, 31, 063114. [Google Scholar] [CrossRef]
- Dong, Y.; Wang, G.; Liang, Y.; Chen, G. Complex dynamics of a bi-directional N-type locally-active memristor. Commun. Nonlinear Sci. Numer. Simul. 2022, 105, 106086. [Google Scholar] [CrossRef]
- Mannan, Z.I.; Choi, H.; Kim, H. Chua corsage memristor oscillator via Hopf bifurcation. Int. J. Bifurc. Chaos 2016, 26, 1630009. [Google Scholar] [CrossRef]
- Mannan, Z.I.; Yang, C.; Kim, H. Oscillation with 4-lobe Chua corsage memristor. IEEE Circuits Syst. Mag. 2018, 18, 14–27. [Google Scholar] [CrossRef]
- Mannan, Z.I.; Yang, C.; Adhikari, S.P.; Kim, H. Exact analysis and physical realization of the 6-lobe Chua corsage memristor. Complexity 2018, 2018, 8405978. [Google Scholar] [CrossRef]
- Mannan, Z.I.; Choi, H.; Rajamani, V.; Kim, H.; Chua, L.O. Chua corsage memristor: Phase portraits, basin of attraction, and coexisting pinched hysteresis loops. Int. J. Bifurc. Chaos 2017, 27, 1730011. [Google Scholar] [CrossRef]
- Etemadi, M.; Ghobaei-Arani, M.; Shahidinejad, A. Resource provisioning for IoT services in the fog computing environment: An autonomic approach. Comput. Commun. 2020, 161, 109–131. [Google Scholar] [CrossRef]
- Aslanpour, M.S.; Dashti, S.E.; Ghobaei-Arani, M.; Rahmanian, A.A. Resource provisioning for cloud applications: A 3-D, provident and flexible approach. J. Supercomput. 2018, 74, 6470–6501. [Google Scholar] [CrossRef]
- Zhang, W.; Li, C.D.; Huang, T.W.; He, X. Synchronization of memristor-based coupling recurrent neural networks with time-varying delays and impulses. IEEE Trans. Neural Netw. Learn. Syst. 2015, 26, 3308–3313. [Google Scholar] [CrossRef]
- Vadivel, R.; Ali, M.S.; Joo, Y.H. Robust H∞ performance for discrete time T-S fuzzy switched memristive stochastic neural networks with mixed time-varying delays. J. Exp. Theor. Artif. Intell. 2021, 33, 79–107. [Google Scholar] [CrossRef]
- Kumar, S.; Williams, R.S.; Wang, Z. Third-order nanocircuit elements for neuromorphic engineering. Nature 2020, 585, 518–523. [Google Scholar] [CrossRef]
- Yi, W.; Tsang, K.K.; Lam, S.K.; Bai, X.; Crowell, J.A.; Flores, E.A. Biological plausibility and stochasticity in scalable VO2 active memristor neurons. Nat. Commun. 2018, 9, 4661. [Google Scholar] [CrossRef]
- Dong, Y.J.; Liang, Y.; Wang, G.Y.; Iu, H.H.C. Chua corsage memristor based neuron models. Electron. Lett. 2021, 57, 903–905. [Google Scholar] [CrossRef]
- Jin, P.P.; Wang, G.Y.; Liang, Y.; Iu, H.H.C.; Chua, L.O. Neuromorphic dynamics of Chua corsage memristor. IEEE Trans. Circuits Syst. I-Regul. Pap. 2021, 68, 4419–4432. [Google Scholar] [CrossRef]
- Dogaru, R.; Chua, L.O. Edge of chaos and local activity domain of FitzHugh–Nagumo equation. Int. J. Bifurc. Chaos 1998, 8, 211–257. [Google Scholar] [CrossRef]
- Li, C.; Min, F.; Li, C. Multiple coexisting attractors of the serial–parallel memristor-based chaotic system and its adaptive generalized synchronization. Nonlinear Dyn. 2018, 94, 2785–2806. [Google Scholar] [CrossRef]
- Peng, G.; Min, F. Multistability analysis, circuit implementations and application in image encryption of a novel memristive chaotic circuit. Nonlinear Dyn. 2017, 90, 1607–1625. [Google Scholar] [CrossRef]
- Chua, L.O.; Kang, S.M. Memristive devices and systems. Proc. IEEE 1976, 64, 209–223. [Google Scholar] [CrossRef]
- Corinto, F.; Ascoli, A. Memristive diode bridge with LCR filter. Electron. Lett. 2012, 48, 824–825. [Google Scholar] [CrossRef]
- Yuan, F.; Li, Y. A chaotic circuit constructed by a memristor, a memcapacitor and a meminductor. Chaos 2019, 29, 101101. [Google Scholar] [CrossRef] [PubMed]



















Publisher’s Note: MDPI stays neutral with regard to jurisdictional claims in published maps and institutional affiliations. |
© 2022 by the authors. Licensee MDPI, Basel, Switzerland. This article is an open access article distributed under the terms and conditions of the Creative Commons Attribution (CC BY) license (https://creativecommons.org/licenses/by/4.0/).
Share and Cite
Ying, J.; Liang, Y.; Li, F.; Wang, G.; Shen, Y. Complex Oscillations of Chua Corsage Memristor with Two Symmetrical Locally Active Domains. Electronics 2022, 11, 665. https://doi.org/10.3390/electronics11040665
Ying J, Liang Y, Li F, Wang G, Shen Y. Complex Oscillations of Chua Corsage Memristor with Two Symmetrical Locally Active Domains. Electronics. 2022; 11(4):665. https://doi.org/10.3390/electronics11040665
Chicago/Turabian StyleYing, Jiajie, Yan Liang, Fupeng Li, Guangyi Wang, and Yiran Shen. 2022. "Complex Oscillations of Chua Corsage Memristor with Two Symmetrical Locally Active Domains" Electronics 11, no. 4: 665. https://doi.org/10.3390/electronics11040665
APA StyleYing, J., Liang, Y., Li, F., Wang, G., & Shen, Y. (2022). Complex Oscillations of Chua Corsage Memristor with Two Symmetrical Locally Active Domains. Electronics, 11(4), 665. https://doi.org/10.3390/electronics11040665

