A Wide-Angle Pattern Diversity Antenna System for mmWave 5G Mobile Terminals
Abstract
:1. Introduction
- Shared radiator design with minimal physical footprint.
- Shared ground design which is compatible with the system ground plane of the typical commercial device.
- Conformal shared radiator design which could be panel mountable with commercially available smartphones.
- Wide angular coverage with three ports without the use of phase shifters.
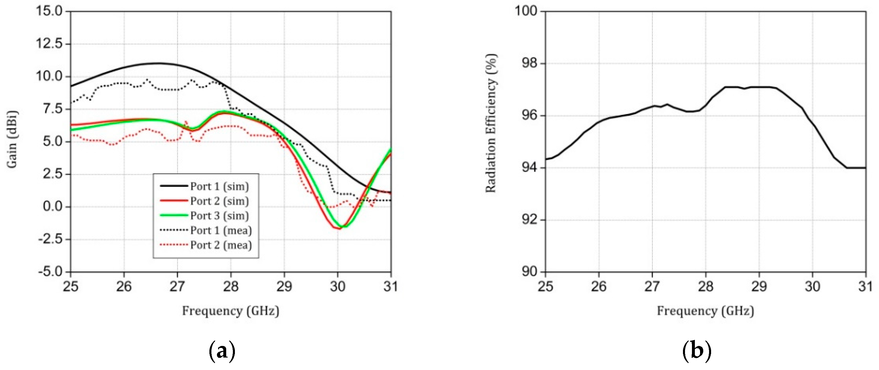
- Achievement of high gain for the respective port for a minimal occupied physical footprint.
2. Proposed Pattern Diversity Antenna
3. Conclusions
Author Contributions
Funding
Data Availability Statement
Acknowledgments
Conflicts of Interest
References
- Pi, Z.; Khan, F. An introduction to millimeter-wave mobile broadband systems. IEEE Commun. Mag. 2011, 49, 101–107. [Google Scholar] [CrossRef]
- Wang, H.; Zhang, P.; Li, J.; You, X. Radio propagation and wireless coverage of LSAA-based 5G millimeter-wave mobile communication systems. China Commun. 2019, 16, 1–18. [Google Scholar] [CrossRef]
- Sagazio, P.; Callender, S.; Shin, W.; Orhan, O.; Pellerano, S.; Hull, C. Architecture and Circuit Choices for 5G Millimeter-Wave Beamforming Transceivers. IEEE Commun. Mag. 2018, 56, 186–192. [Google Scholar] [CrossRef]
- Rappaport, T.S.; Sun, S.; Mayzus, R.; Zhao, H.; Azar, Y.; Wang, K.; Wong, G.; Schulz, J.K.; Samimi, M.; Gutierrez, F. Millimeter Wave Mobile Communications for 5G Cellular: It Will Work! IEEE Access 2013, 1, 335–349. [Google Scholar] [CrossRef]
- Roh, W.; Seol, J.Y.; Park, J.; Lee, B.; Lee, J.; Kim, Y.; Cho, J.; Cheun, K.; Aryanfar, F. Millimeter-wave beamforming as an enabling technology for 5G cellular communications: Theoretical feasi-bility and prototype results. IEEE Commun. Mag. 2014, 52, 106–113. [Google Scholar] [CrossRef]
- Friis, H.T. A Note on a Simple Transmission Formula. Proc. IRE 1946, 34, 254–256. [Google Scholar] [CrossRef]
- Haraz, O.M.; Elboushi, A.; Alshebeili, S.A.; Sebak, A.-R. Dense Dielectric Patch Array Antenna with Improved Radiation Characteristics Using EBG Ground Structure and Dielectric Superstrate for Future 5G Cellular Networks. IEEE Access 2014, 2, 909–913. [Google Scholar] [CrossRef]
- Bondarik, A.; Sjöberg, D. Gridded parasitic patch stacked microstrip array antenna for 60 GHz band. IET Microw. Antennas Propag. 2020, 14, 712–717. [Google Scholar] [CrossRef]
- Zhang, S.; Chen, X.; Syrytsin, I.; Pedersen, G.F. Pedersen A planar switchable 3-D-coverage phased array antenna and its user effects for 28-GHz mobile terminal applications. IEEE Trans. Antennas Propag. 2017, 65, 6413–6421. [Google Scholar] [CrossRef] [Green Version]
- Ta, S.X.; Choo, H.; Park, I. Broadband Printed-Dipole Antenna and Its Arrays for 5G Applications. IEEE Antennas Wirel. Propag. Lett. 2017, 16, 2183–2186. [Google Scholar] [CrossRef]
- Moreno, R.M.; Kurvinen, J.; Ala-Laurinaho, J.; Khripkov, A.; Ilvonen, J.; van Wonterghem, J.; Viikari, V. Dual-Polarized mm-Wave End-Fire Chain-Slot Antenna for Mobile Devices. IEEE Trans. Antennas Propag. 2020, 69, 25–34. [Google Scholar] [CrossRef]
- Agarwal, S.; Rafique, U.; Ullah, R.; Ullah, S.; Khan, S.; Donelli, M. Double Overt-Leaf Shaped CPW-Fed Four Port UWB MIMO Antenna. Electronics 2021, 10, 3140. [Google Scholar] [CrossRef]
- Al-Gburi, A.J.A.; Ibrahim, I.B.M.; Zakaria, Z.; Ahmad, B.H.; Bin Shairi, N.A.; Zeain, M.Y. High Gain of UWB Planar Antenna Utilising FSS Reflector for UWB Applications. Comput. Mater. Contin. 2022, 70, 1419–1436. [Google Scholar] [CrossRef]
- Khan, J.; Ullah, S.; Tahir, F.A.; Tubbal, F.; Raad, R. A Sub-6 GHz MIMO Antenna Array for 5G Wireless Terminals. Electronics 2021, 10, 3062. [Google Scholar] [CrossRef]
- Arumugam, S.; Manoharan, S.; Palaniswamy, S.K.; Kumar, S. Design and Performance Analysis of a Compact Quad-Element UWB MIMO Antenna for Automotive Communications. Electronics 2021, 10, 2184. [Google Scholar] [CrossRef]
- Stutzman, W.L.; Thiele, G.A. Antenna Theory and Design; John Wiley & Sons: Hoboken, NJ, USA, 2012. [Google Scholar]
- Yang, B.; Yu, Z.; Dong, Y.; Zhou, J.; Hong, W. Compact Tapered Slot Antenna Array for 5G Millimeter-Wave Massive MIMO Systems. IEEE Trans. Antennas Propag. 2017, 65, 6721–6727. [Google Scholar] [CrossRef]
- Koul, S.K.; Poddar, A.K.; Sadananda, K.G.; Rohde, U.L. Conformal Antenna Module With 3D-Printed Radome. U.S. Patent Application 17/221,965, 9 December 2021. [Google Scholar]
- Koul, S.K. Antenna Architectures for Future Wireless Devices; Springer: Singapore, 2021. [Google Scholar] [CrossRef]
- Wani, Z.; Abegaonkar, M.P.; Koul, S.K. Millimeter-wave antenna with wide-scan angle radiation characteristics for MIMO ap-plications. Int. J. RF Microw. Comput.-Aided Eng. 2018, 29, e21564. [Google Scholar] [CrossRef]
- Shim, J.-Y.; Go, J.-G.; Chung, J.-Y. A 1-D Tightly Coupled Dipole Array for Broadband mmWave Communication. IEEE Access 2019, 7, 8258–8265. [Google Scholar] [CrossRef]
- Ikram, M.; Al Abbas, E.; Nguyen-Trong, N.; Sayidmarie, K.H.; Abbosh, A. Integrated Frequency-Reconfigurable Slot An-tenna and Connected Slot Antenna Array for 4G and 5G Mobile Handsets. IEEE Trans. Antennas Propag. 2019, 67, 7225–7233. [Google Scholar] [CrossRef]
- Hwang, I.-J.; Ahn, B.; Chae, S.-C.; Yu, J.-W.; Lee, W.-W. Quasi-Yagi Antenna Array with Modified Folded Dipole Driver for mmWave 5G Cellular Devices. IEEE Antennas Wirel. Propag. Lett. 2019, 18, 971–975. [Google Scholar] [CrossRef]
- Hasan, M.N.; Bashir, S.; Chu, S. Dual band omnidirectional millimeter wave antenna for 5G communi-cations. J. Electromagn. Waves Appl. 2019, 33, 1581–1590. [Google Scholar] [CrossRef]
- Pan, Y.M.; Qin, X.; Sun, Y.X.; Zheng, S.Y. A Simple Decoupling Method for 5G Millimeter-Wave MIMO Dielectric Resonator Antennas. IEEE Trans. Antennas Propag. 2019, 67, 2224–2234. [Google Scholar] [CrossRef]









| Ref | Frq | AS | MC | AE | AC | ERV | GS | MI | Con | SG |
|---|---|---|---|---|---|---|---|---|---|---|
| [17] | 28 | 15 × 12 | NA | NA | 70 | 0.138 | Yes | No | No | Yes |
| [10] | 28 | 45 × 15 | <10 | NA | 90 | 0.207 | Yes | No | No | Yes |
| [20] | 28 | 20 × 20 | <15 | NA | 80 | 0.05 | No | No | No | Yes |
| [21] | 28 | 42 × 12 | <10 | 97 | 90 | 0.006 | No | No | No | Yes |
| [22] | 28 | 60 × 70 | <7 | 90 | NA | 0.027 | No | Yes | No | Yes |
| [23] | 28 | 5 × 5 | NA | 68 | 90 | 0.005 | Yes | No | No | Yes |
| [24] | 28 | 14 × 12 | NA | 78 | NA | 0.026 | No | No | No | -NA- |
| [25] | 26 | 22 × 11 | <15 | NA | NA | 0.192 | No | No | No | Yes |
| PRW | 28 | 24 × 6.2 | <10 | 97 | 100 | 0.07 | Yes | Yes | Yes | Yes |
Publisher’s Note: MDPI stays neutral with regard to jurisdictional claims in published maps and institutional affiliations. |
© 2022 by the authors. Licensee MDPI, Basel, Switzerland. This article is an open access article distributed under the terms and conditions of the Creative Commons Attribution (CC BY) license (https://creativecommons.org/licenses/by/4.0/).
Share and Cite
Sadananda, K.G.; Elfergani, I.; Zebiri, C.; Rodriguez, J.; Koul, S.K.; Abd-Alhameed, R.A. A Wide-Angle Pattern Diversity Antenna System for mmWave 5G Mobile Terminals. Electronics 2022, 11, 571. https://doi.org/10.3390/electronics11040571
Sadananda KG, Elfergani I, Zebiri C, Rodriguez J, Koul SK, Abd-Alhameed RA. A Wide-Angle Pattern Diversity Antenna System for mmWave 5G Mobile Terminals. Electronics. 2022; 11(4):571. https://doi.org/10.3390/electronics11040571
Chicago/Turabian StyleSadananda, Karthikeya Gulur, Issa Elfergani, Chemseddine Zebiri, Jonathan Rodriguez, Shiban Kishen Koul, and Raed A. Abd-Alhameed. 2022. "A Wide-Angle Pattern Diversity Antenna System for mmWave 5G Mobile Terminals" Electronics 11, no. 4: 571. https://doi.org/10.3390/electronics11040571
APA StyleSadananda, K. G., Elfergani, I., Zebiri, C., Rodriguez, J., Koul, S. K., & Abd-Alhameed, R. A. (2022). A Wide-Angle Pattern Diversity Antenna System for mmWave 5G Mobile Terminals. Electronics, 11(4), 571. https://doi.org/10.3390/electronics11040571

