Design of a Dual-Mode Input Structure for K/Ka-Band Gyrotron TWT
Abstract
:1. Introduction
2. Design of Input Coupler
2.1. Input Coupler Based on Coaxial Coupling Cavity
2.2. Input Coupler Based on Side Wall COUPLING Mode
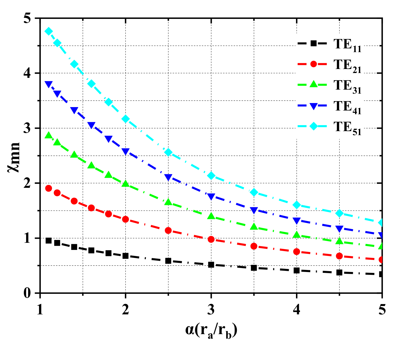
2.3. Bragg Reflector
3. Simulation of Dual-Mode Input Couplers
4. Conclusions
Author Contributions
Funding
Conflicts of Interest
References
- Chu, K.R.; Lin, A.T. Gain and bandwidth of the Gyro-TWT and CARM amplifiers. IEEE Trans. Plasma Sci. 1988, 16, 90–104. [Google Scholar] [CrossRef]
- Li, H.H.; Wang, K.S.; Zhao, J.X.; Xiao-xin, L.I.A.N.G.; Yue-peng, Y.A.N. A design of Ka-band power amplifier based on 0. 15 μm GaAs pHEMT process. Microelectron. Comput. 2021, 38, 17–21. [Google Scholar]
- Hosseinzadeh, N.; Medi, A. Wideband 5 W Ka-Band GaAs Power Amplifier. IEEE Microw. Wirel. Compon. Lett. 2016, 26, 1–3. [Google Scholar] [CrossRef]
- Chu, K.R. Overview of Research on the gyrotron traveling-wave amplifier. IEEE Trans Plasma Sci. 2002, 30, 903–908. [Google Scholar]
- Baik, C.-W.; Jeon, S.-G.; Kim, D.-H.; Sato, N.; Yokoo, K.; Park, G.-S. Third-harmonic frequency multiplication of a two-stage tapered gyrotron TWT amplifier. IEEE Trans. Electron Devices 2005, 52, 829–838. [Google Scholar] [CrossRef]
- Linde, G.J.; Ngo, M.T.; Danly, B.G.; Cheung, W.J.; Gregers-Hansen, V. WARLOC: A high-power coherent 94 GHz radar. IEEE Trans. Aerosp. Electron. Syst. 2008, 44, 1102–1117. [Google Scholar] [CrossRef]
- Paoloni, C.; Gamzina, D.; Letizia, R.; Zheng, Y.; Luhmann, N.C., Jr. Millimeter wave traveling wave tubes for the 21st Century. J. Electromagn. Waves Appl. 2021, 35, 567–603. [Google Scholar] [CrossRef]
- Chu, K.R.; Chen, H.Y.; Hung, C.L.; Chang, T.-H.; Barnett, L.; Chen, S.-H.; Yang, T.-T.; Dialetis, D.J. Theory and experiment of ultrahigh-gain gyrotron traveling wave amplifier. IEEE Trans. Plasma Sci. 1999, 27, 391–404. [Google Scholar]
- Yan, R.; Luo, Y.; Liu, G.; Pu, Y. Design and experiment of a Q-band gyro-TWT loaded with lossy dielectric. IEEE Trans. Electron. Devices 2012, 59, 3612–3617. [Google Scholar] [CrossRef]
- Samsonov, S.V.; Gachev, I.G.; Denisov, G.G.; Bogdashov, A.; Mishakin, S.V.; Fiks, A.S.; Soluyanova, E.A.; Tai, E.M.; Dominyuk, Y.V.; Levitan, B.A.; et al. Ka-Band gyrotron traveling-wave tubes with the highest continuous-wave and average power. IEEE Trans. Electron. Devices 2014, 61, 4264–4267. [Google Scholar] [CrossRef]
- Harriet, S.B.; McDermott, D.B.; Gallagher, D.A.; Luhmann, N. Cusp Gun TE21 Second-Harmonic Ka-Band Gyro-TWT Amplifier. IEEE Trans. Plasma Sci. 2002, 30, 909–914. [Google Scholar] [CrossRef]
- He, W.; Donaldson, C.R.; Zhang, L.; Ronald, K.; Phelps, A.D.R.; Cross, A.W. Broadband amplification of low terahertz signals using axis-encircling electrons in a helically corrugated interaction region. Phys. Rev. Letts. 2017, 119, 184801. [Google Scholar] [CrossRef] [PubMed] [Green Version]
- Xu, Y.; Xiong, C.D.; Yong, L.; Jianxun, W.; Ran, Y.; Youlei, P.; Wang, H.; Li, H. Design of broad-band input coupler of Ka-band TE01 mode gyro-TWT. Chin. J. Vac. Sci. Technol. 2012, 32, 208–213. [Google Scholar]
- Xiong, W.J.; Wang, L.; Luo, Y.; Guo, L. Improved design of input and output structures of W band gyro-TWT. High Power Laser Part. Beams 2013, 25, 693–698. [Google Scholar] [CrossRef]
- Wang, Q.S.; Huey, H.E.; McDermott, D.B.; Hirata, Y.; Luhmann, N. Design of a W-band Second-harmonic TE02 gyro-TWT amplifier. IEEE Trans. Plasma Sci. 2000, 28, 2232–2238. [Google Scholar] [CrossRef]
- McDermott, D.B.; Song, H.H.; Hirata, Y.; Lin, A.T.; Barnett, L.R.; Chang, T.H.; Hsu, H.-L.; Marandos, P.S.; Lee, J.; Chu, K.R.; et al. Design of a W-band TE 01 mode gyrotron traveling-wave amplifier with high power and broad-band capabilities. IEEE Trans. Plasma Sci. 2003, 30, 894–902. [Google Scholar] [CrossRef] [Green Version]
- Liu, G. Input coupler design for Ka band gyrotron TWT. In Proceedings of the 2016 IEEE International Vacuum Electronics Conference (IVEC), Monterey, CA, USA, 19–21 April 2016; pp. 1–2. [Google Scholar]
- Zhang, L.; He, W.; Donaldson, C.; Garner, J.R.; McElhinney, P.; Cross, A.W. Design and Measurement of a Broadband Sidewall Coupler for a W-Band Gyro-TWA. IEEE Trans. Microw. Theory Tech. 2015, 63, 3183–3190. [Google Scholar] [CrossRef] [Green Version]
- Sun, M. Research on the Transmission Link of Gyro-TWT Input and Output System [D]; University of Electronic Science and Technology of China: Chengdu, China, 2019; pp. 34–65. [Google Scholar]
- Xu, Y.; Li, Y.; Wang, J.X.; Jiang, W.; Liu, G.; Luo, Y.; Li, H. Design and experiment of a high power and broadband Ku-Band TE11 mode Gyro-TWT. IEEE Trans. Electron. Devices 2018, 66, 1559–1566. [Google Scholar] [CrossRef]
- Yu, C.F.; Chang, T.H. High-performance circular TE01-mode converter. IEEE Trans. Microw. Theory Tech. 2005, 53, 3794–3798. [Google Scholar]
- Collin, R.E. Field Theory of Guided Waves; Wiley Interscience: New York, NY, USA, 1990; pp. 415–420. [Google Scholar]
- Chong, C.K.; McDermott, D.B.; Razeghi, M.M.; Luhmann, N.C.; Pretterebner, J.; Wagner, D.; Thumm, M.; Caplan, M.; Kulke, B. Bragg reflectors. IEEE Trans. Plasma Sci. 1992, 20, 393–402. [Google Scholar] [CrossRef]
- Peskov, N.Y.; Ginzburg, N.S.; Kaminskii, A.A.; Kaminskii, A.K.; Sedykh, S.N.; Sergeev, A.P.; Sergeev, A.S. High-efficiency narrow-band free-electron maser using a Bragg cavity with a phase discontinuity in the ripples. Tech. Phys. Lett. 1999, 25, 429–432. [Google Scholar] [CrossRef]
- Emile, D.R. Innovative corrugated transmission line for Terahertz wave-guiding. In Proceedings of the 2011 International Conference on Infrared, Millimeter, and Terahertz Waves, Houston, TX, USA, 2–7 October 2011; pp. 1–2. [Google Scholar]
- Wenzel, H.; Guther, R.; Shams-Zadeh-Amiri, A.M.; Bienstman, P. A comparative study of higher order Bragg gratings: Coupled-mode theory versus mode expansion modeling. IEEE J. Quantum Electron. 2006, 42, 64–70. [Google Scholar] [CrossRef]














| Section Number | Length (mm) |
|---|---|
| 1 | 3 |
| 2 | 4 |
| 3 | 1.6 |
| 4 | 4.3 |
| 5 | 1.5 |
| 6 | 4.3 |
| 7 | 2 |
| Parameters | This Article | Reference [19] |
|---|---|---|
| Operating Frequency | 19/34GHz | 17/33GHz |
| Operating Mode | - @ Ka-band and -@ K-band | - @ Ka-band and -@ K-band |
| −1 dB Bandwidth | 3.15 GHz @ K-band,3.32 GHz@ Ka-band | 1.9 GHz @ K-band, 2 GHz@ Ka-band |
Publisher’s Note: MDPI stays neutral with regard to jurisdictional claims in published maps and institutional affiliations. |
© 2022 by the authors. Licensee MDPI, Basel, Switzerland. This article is an open access article distributed under the terms and conditions of the Creative Commons Attribution (CC BY) license (https://creativecommons.org/licenses/by/4.0/).
Share and Cite
Ma, M.; Zhao, Q.; Mo, K.; Zheng, S.; Peng, L.; Lv, Y.; Feng, J. Design of a Dual-Mode Input Structure for K/Ka-Band Gyrotron TWT. Electronics 2022, 11, 432. https://doi.org/10.3390/electronics11030432
Ma M, Zhao Q, Mo K, Zheng S, Peng L, Lv Y, Feng J. Design of a Dual-Mode Input Structure for K/Ka-Band Gyrotron TWT. Electronics. 2022; 11(3):432. https://doi.org/10.3390/electronics11030432
Chicago/Turabian StyleMa, Mengshi, Qixiang Zhao, Kunshan Mo, Shuquan Zheng, Lin Peng, You Lv, and Jinjun Feng. 2022. "Design of a Dual-Mode Input Structure for K/Ka-Band Gyrotron TWT" Electronics 11, no. 3: 432. https://doi.org/10.3390/electronics11030432
APA StyleMa, M., Zhao, Q., Mo, K., Zheng, S., Peng, L., Lv, Y., & Feng, J. (2022). Design of a Dual-Mode Input Structure for K/Ka-Band Gyrotron TWT. Electronics, 11(3), 432. https://doi.org/10.3390/electronics11030432

