Compact MIMO System Performances in Metallic Enclosures
Abstract
1. Introduction
2. Measurement Setup
3. Measurement Process and Loading of Enclosure
4. Experimental Results and Discussions
4.1. Near-Field MIMO BER and EVM in Empty Enclosure
4.2. EVM Measurement-Moving Stirrer
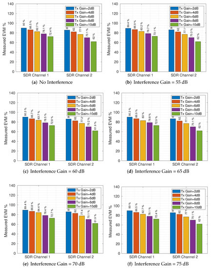
4.3. EVM Measurements in the Presence of Interference
4.4. Near-Field MIMO BER and EVM Measurements in Empty and Loaded Enclosures
4.5. Findings and Limitations
- BER reduces with the increase in the Tx gain of the USRP or an increase in the Rx gain of the USRP.
- EVM reduces with the increase in the Tx gain of the USRP or an increase in the Rx gain of the USRP, except for some Tx-Rx gain combinations where the Tx amplifier of the USRP is overdriven.
- The EVM of the digital communication link is time-varying in a time-varying environment. For the fixed Tx-Rx gain combination, the EVM is time-varying when the stirrer is moving.
- For the fixed Tx-Rx gain combination, the EVM and BER degrade in the presence of the interference, and further degrade when the magnitude of interference increases.
- There is a software limitation in creating the feedback loop for a closed-loop MIMO system. This is extremely challenging in Simulink. It can be conducted by shifting the baseband signal processing blocks directly to the FPGA of the USRP.
- The testbed can be extended to a multi-user setting after conducting adjustments in the Simulink model and by using more X310 USRPs and an appropriate number of antennas.
- The testbed in its current form has the limitation of leveraging the maximum sampling rates of the USRPs. Increasing the sampling rates or increasing the number of USRPs shall increase the risk of a higher number of underflows and overflows in the system. We do not have consistent links in the presence of underflows and overflows. This is a limiting factor in understanding the link.
5. Conclusions and Future Work
Author Contributions
Funding
Data Availability Statement
Conflicts of Interest
Abbreviations
| AGC | automatic gain control |
| BER | bit error rate |
| EVM | error vector magnitude |
| GPU | graphical processing unit |
| LOS | line of sight |
| MCS | modulation and coding scheme |
| MIMO | multiple input multiple output |
| OTA | over-the-air |
| Rx | receiver |
| SDR | software-defined radio |
| SINR | signal-to-noise plus interference ratio |
| Tx | transmitter |
| WNoC | wireless network on chip |
| USRP | Universal Software Radio Peripheral |
| UWB | ultra-wideband |
References
- Lodro, M.; Gradoni, G.; Smartt, C.; Vukovic, A.; Thomas, D.; Greedy, S. Near-Field Image Transmission and EVM Measurements in Rich Scattering Environment in Metal Enclosure. Prog. Electromagn. Res. M 2021, 101, 139–147. [Google Scholar] [CrossRef]
- Lodro, M.; Smart, C.; Gradoni, G.; Vukovic, A.; Thomas, D.; Greedy, S. Near-field BER and EVM Measurement at 5.8 GHz in Mode-stirred Metal Enclosure. Appl. Comput. Electromagn. Soc. J. 2020, 35, 1080–1088. [Google Scholar] [CrossRef]
- Shamim, M.S.; Mansoor, N.; Narde, R.S.; Kothandapani, V.; Ganguly, A.; Venkataraman, J. A wireless interconnection framework for seamless inter and intra-chip communication in multichip systems. IEEE Trans. Comput. 2016, 66, 389–402. [Google Scholar] [CrossRef]
- Chen, Z.M.; Zhang, Y.P. Inter-chip wireless communication channel: Measurement, characterization, and modeling. IEEE Trans. Antennas Propag. 2007, 55, 978–986. [Google Scholar] [CrossRef]
- Radi, B.; Dhillon, A.S.; Liboiron-Ladouceur, O. Demonstration of inter-chip RF data transmission using on-chip antennas in silicon photonics. IEEE Photonics Technol. Lett. 2020, 32, 659–662. [Google Scholar] [CrossRef]
- Timoneda, X.; Cabellos-Aparicio, A.; Manessis, D.; Alarcón, E.; Abadal, S. Channel characterization for chip-scale wireless communications within computing packages. In Proceedings of the 2018 Twelfth IEEE/ACM International Symposium on Networks-on-Chip (NOCS), Torino, Italy, 4–5 October 2018; pp. 1–8. [Google Scholar]
- Phang, S.; Ivrlač, M.T.; Gradoni, G.; Creagh, S.C.; Tanner, G.; Nossek, J.A. Near-field MIMO communication links. IEEE Trans. Circuits Syst. Regul. Pap. 2018, 65, 3027–3036. [Google Scholar] [CrossRef]
- Kim, H.J.; Hirayama, H.; Kim, S.; Han, K.J.; Zhang, R.; Choi, J.W. Review of near-field wireless power and communication for biomedical applications. IEEE Access 2017, 5, 21264–21285. [Google Scholar] [CrossRef]
- Kim, H.J.; Park, J.; Oh, K.S.; Choi, J.P.; Jang, J.E.; Choi, J.W. Near-field magnetic induction MIMO communication using heterogeneous multipole loop antenna array for higher data rate transmission. IEEE Trans. Antennas Propag. 2016, 64, 1952–1962. [Google Scholar] [CrossRef]
- Guo, H. Performance analysis of near-field magnetic induction communication in extreme environments. Prog. Electromagn. Res. Lett. 2020, 90, 77–83. [Google Scholar] [CrossRef]
- Tan, X.; Sun, Z.; Akyildiz, I.F. Wireless Underground Sensor Networks: MI-based communication systems for underground applications. IEEE Antennas Propag. Mag. 2015, 57, 74–87. [Google Scholar] [CrossRef]
- Wen, E.; Sievenpiper, D.; Mercier, P.P. Channel Characterization of Magnetic Human Body Communication. IEEE Trans. Biomed. Eng. 2021, 69, 569–579. [Google Scholar] [CrossRef]
- Akyildiz, I.F.; Wang, P.; Sun, Z. Realizing underwater communication through magnetic induction. IEEE Commun. Mag. 2015, 53, 42–48. [Google Scholar] [CrossRef]
- Li, Y.; Wang, S.; Jin, C.; Zhang, Y.; Jiang, T. A survey of underwater magnetic induction communications: Fundamental issues, recent advances, and challenges. IEEE Commun. Surv. Tutor. 2019, 21, 2466–2487. [Google Scholar] [CrossRef]
- Mikki, S. Theory of Nonsinusoidal Antennas for Near-Field Communication System Design. Prog. Electromagn. Res. 2020, 86, 177–193. [Google Scholar] [CrossRef]
- Sharma, A.; Kampianakis, E.; Rosenthal, J.; Pike, A.; Dadkhah, A.; Reynolds, M.S. Wideband UHF DQPSK backscatter communication in reverberant cavity animal cage environments. IEEE Trans. Antennas Propag. 2019, 67, 5002–5011. [Google Scholar] [CrossRef]
- Ohira, M.; Umaba, T.; Kitazawa, S.; Ban, H.; Ueba, M. Experimental characterization of microwave radio propagation in ICT equipment for wireless harness communications. IEEE Trans. Antennas Propag. 2011, 59, 4757–4765. [Google Scholar] [CrossRef]
- He, D.; Guan, K.; Fricke, A.; Ai, B.; He, R.; Zhong, Z.; Kasamatsu, A.; Hosako, I.; Kürner, T. Stochastic channel modeling for kiosk applications in the terahertz band. IEEE Trans. Terahertz Sci. Technol. 2017, 7, 502–513. [Google Scholar] [CrossRef]
- Redfield, S.; Woracheewan, S.; Liu, H.; Chiang, P.; Nejedlo, J.; Khanna, R. Understanding the ultrawideband channel characteristics within a computer chassis. IEEE Antennas Wirel. Propag. Lett. 2011, 10, 191–194. [Google Scholar] [CrossRef]
- Khademi, S.; Chepuri, S.P.; Irahhauten, Z.; Janssen, G.J.; van der Veen, A.J. Channel measurements and modeling for a 60 GHz wireless link within a metal cabinet. IEEE Trans. Wirel. Commun. 2015, 14, 5098–5110. [Google Scholar] [CrossRef]
- Karedal, J.; Singh, A.P.; Tufvesson, F.; Molisch, A.F. Characterization of a computer board-to-board ultra-wideband channel. IEEE Commun. Lett. 2007, 11, 468–470. [Google Scholar] [CrossRef]
- Gelabert, J.; Edwards, D.; Stevens, C. Experimental evaluation of UWB wireless communication within PC case. Electron. Lett. 2011, 47, 773–775. [Google Scholar] [CrossRef]











| Tx Gain (dB) | Channel 1 | Channel 2 | ||||
|---|---|---|---|---|---|---|
| Prx (dB) | EVM (%) | BER | Prx (dB) | EVM (%) | BER | |
| 2 | −71 | 87 | 3 × 10 | −68 | 81 | 7 × 10 |
| 4 | −69 | 84 | 7 × 10 | −66 | 77 | 3 × 10 |
| 6 | −67 | 79 | 2 × 10 | −64 | 70 | 2 × 10 |
| 8 | −61 | 58 | 3 × 10 | −61 | 61 | 4 × 10 |
| Tx Gain (dB) | Channel 1 | Channel 2 | ||||
|---|---|---|---|---|---|---|
| Prx (dB) | EVM (%) | BER | Prx (dB) | EVM (%) | BER | |
| 2 | −67 | 22 | 3.4 × 10 | −68 | 20 | 5.3 × 10 |
| 4 | −65 | 17 | 5.1 × 10 | −66 | 18 | 4.7 × 10 |
| 6 | −63 | 14 | 9.3 × 10 | −64 | 15 | 9.3 × 10 |
| 8 | −61 | 13 | 5.4 × 10 | −61 | 13 | 5.1 × 10 |
Publisher’s Note: MDPI stays neutral with regard to jurisdictional claims in published maps and institutional affiliations. |
© 2022 by the authors. Licensee MDPI, Basel, Switzerland. This article is an open access article distributed under the terms and conditions of the Creative Commons Attribution (CC BY) license (https://creativecommons.org/licenses/by/4.0/).
Share and Cite
Lodro, M.; Gradoni, G.; Smartt, C.; Thomas, D.; Greedy, S. Compact MIMO System Performances in Metallic Enclosures. Electronics 2022, 11, 4188. https://doi.org/10.3390/electronics11244188
Lodro M, Gradoni G, Smartt C, Thomas D, Greedy S. Compact MIMO System Performances in Metallic Enclosures. Electronics. 2022; 11(24):4188. https://doi.org/10.3390/electronics11244188
Chicago/Turabian StyleLodro, Mir, Gabriele Gradoni, Christopher Smartt, David Thomas, and Steve Greedy. 2022. "Compact MIMO System Performances in Metallic Enclosures" Electronics 11, no. 24: 4188. https://doi.org/10.3390/electronics11244188
APA StyleLodro, M., Gradoni, G., Smartt, C., Thomas, D., & Greedy, S. (2022). Compact MIMO System Performances in Metallic Enclosures. Electronics, 11(24), 4188. https://doi.org/10.3390/electronics11244188

