Color and Texture Analysis of Textiles Using Image Acquisition and Spectral Analysis in Calibrated Sphere Imaging System-I
Abstract
1. Introduction
2. Related Work
3. Background of the Study
4. Theoretical Treatment
5. Materials and Methods
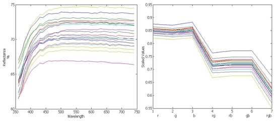
6. Results and Discussion
6.1. Same Material with Close Texture Variations
6.2. Same Texture with Incremental Color Variations
7. Conclusions
8. Patents
Supplementary Materials
Author Contributions
Funding
Acknowledgments
Conflicts of Interest
References
- Mäenpää, T.; Pietikäinen, M. Classification with color and texture: Jointly or separately? Pattern Recognit. 2004, 37, 1629–1640. [Google Scholar] [CrossRef]
- Gupte, V.C. Color Technology: Tools, Techniques and Applications; Woodhead Publishing: Sawston, UK, 2008. [Google Scholar]
- Kandi, S.G. The Effect of Spectrophotometer Geometry on the Measured Colors for Textile Samples with Different Textures. J. Eng. Fibers Fabr. 2011, 6, 70–78. [Google Scholar] [CrossRef]
- Barragán-Montero, A.; Javaid, U.; Valdés, G.; Nguyen, D.; Desbordes, P.; Macq, B.; Lee, J.A. Artificial intelligence and machine learning for medical imaging: A technology review. Phys. Med. 2021, 83, 242–256. [Google Scholar] [CrossRef]
- Liu, J.; Kuang, W.; Liu, J.; Gao, Z.; Rohani, S.; Gong, J. In-situ Multi-phase Flow Imaging for Particle Dynamic Tracking and Characterization: Advances and Applications. Chem. Eng. J. 2022, 438, 135554. [Google Scholar] [CrossRef]
- Rabha, D.; Rather, M.A.; Mandal, M.; Nath, P. Programmable illumination smartphone microscopy (PISM): A multimodal imaging platform for biomedical applications. Opt. Lasers Eng. 2022, 151, 106931. [Google Scholar] [CrossRef]
- Dong, L.; Zhang, W.; Xu, W. Underwater image enhancement via integrated RGB and LAB color models. Signal Processing: Image Commun. 2022, 104, 116684. [Google Scholar] [CrossRef]
- Thomas, N.; Pommerol, A.; Almeida, M.; Read, M.; Cremonese, G.; Simioni, E.; Weigel, T. Absolute calibration of the color and stereo surface imaging system (CaSSIS). Planet. Space Sci. 2022, 211, 105394. [Google Scholar] [CrossRef]
- Patricoski, C.; Stewart, F.A.; Brudzinski, J.; Spargo, G. Selecting the right digital camera for telemedicine--choice for 2009. Garret Telemed. e-Health 2010, 16, 201–208. [Google Scholar] [CrossRef]
- Crane, N.J.; Gillern, S.M.; Tajkarimi, K.; Levin, I.W.; Pinto, P.A.; Elster, E.A. Visual enhancement of laparoscopic partial nephrectomy with 3-charge-coupled device camera: Assessing intraoperative tissue perfusion and vascular anatomy by visible haemoglobin spectral response. J. Urol. 2010, 84, 1279–1285. [Google Scholar] [CrossRef]
- Bourne, R. Fundamentals of Digital Imaging in Medicine; Springer: London, UK, 2010. [Google Scholar] [CrossRef]
- Luo, M.R. A color management framework for medical imaging applications. Comput. Med. Imaging Graph. 2006, 30, 357–361. [Google Scholar] [CrossRef] [PubMed]
- Brooks, E.; Comber, B.; McNaught, I.; Robertson, J. Digital imaging and image analysis applied to numerical applications in forensic hair examination. Sci. Justice 2011, 51, 28–37. [Google Scholar] [CrossRef] [PubMed]
- Yajima, Y.; Nata, M.; Funayama, M. Spectrophotometric and tristimulus analysis of the colors of subcutaneous bleeding in living persons. Forensic Sci. Int. 2006, 156, 131–137. [Google Scholar]
- Simpson, N. Color and contemporary digital botanical illustration. Niki Opt. Laser Technol. 2011, 43, 330–336. [Google Scholar] [CrossRef]
- Viscarra, R.A.; Minasny, B.; Roudier, P.; McBratney, A.B. Color space models for soil science. Geoderma 2006, 133, 320–337. [Google Scholar] [CrossRef]
- O’Donnella, T.K.; Goynea, K.W.; Milesa, R.J.; Baffautb, C.; Andersona, S.H.; Sudduthb, K.A. Determination of representative elementary areas for soil redoximorphic features identified by digital image processing. Geoderma 2011, 163, 138–146. [Google Scholar] [CrossRef]
- Eric, A.; Lam Yeung, Y.; Eric, M. Forest understory soil temperatures and heat flux calculated using a Fourier model and scaled using a digital camera Graham. Agric. For. Meteorol. 2010, 150, 640–649. [Google Scholar]
- Migliavaccaa, M.; Galvagnob, M.; Cremonesec, E.; Rossinib, M.; Meronib, M.; Sonnentage, O. Using digital repeat photography and eddy covariance data to model grassland phenology and photosynthetic CO2 uptake. Agric. For. Meteorol. 2011, 151, 1325–1337. [Google Scholar] [CrossRef]
- Lapresta-Fernandez, A.; Capitan-Vallvey, L.F. Environmental monitoring using a conventional photographic digital camera for multianalyte disposable optical sensors. Analyticachimicaacta 2011, 706, 328–337. [Google Scholar] [CrossRef]
- Teusdea, C.A.; Mintas, O.; Bals, C. Automatic content assessment of fresh pork meat using color image analysis. Val. Stelian Ann. DAAAM Proc. 2010, 2, 427. [Google Scholar]
- Daniel, R.E.; Whitehead, R.D.; Xiao, D.; Perrett, D.; Suzuki, I. Satoru, Oxygenated-Blood Color Change Thresholds for Perceived Facial Redness, Health, and Attractiveness. PLoS ONE 2011, 6, e17859. [Google Scholar]
- Chang, H.; Koschan, A.; Abidi, B.; Abidi, M. Fusing continuous spectral images for face recognition under indoor and outdoor illuminants. Mach. Vis. Appl. 2010, 21, 201–215. [Google Scholar] [CrossRef]
- Haran, T. Short-Wave Infrared Diffuse Reflectance of Textile Materials: Physics &Astronomy. Master Thesis, Georgia State University, Atlanta, GA, USA, 2008. [Google Scholar]
- Huang, H.W.; Zhang, Y. Analysis of the ignition process using a digital image and color processing technique. Meas. Sci. Technol. 2011, 22, 075401. [Google Scholar] [CrossRef]
- Murayama, Y.; Sugiyama, T.; Ogino, Y.; Furuta, H.; Kambara, T.; Abe, T.; Sakamoto, M. Quantitative evaluation of color difference between actual specimens and whole-slide imaging-scanned images calibrated with commercial color charts. In Proceedings of the Medical Imaging 2022: Digital and Computational Pathology, Virtual, 21–27 March 2022; Volume 12039, pp. 285–290. [Google Scholar]
- Liu, T.; Siegel, E.; Shen, D. Deep Learning and Medical Image Analysis for COVID-19 Diagnosis and Prediction. Annu. Rev. Biomed. Eng. 2022, 24, 179–201. [Google Scholar] [CrossRef] [PubMed]
- Gomez-Gonzalez, E.; Barriga-Rivera, A.; Fernandez-Muñoz, B.; Navas-Garcia, J.M.; Fernandez-Lizaranzu, I.; Munoz-Gonzalez, F.J.; Parrilla-Giraldez, R.; Requena-Lancharro, D.; Gil-Gamboa, P.; Rosell-Valle, C.; et al. Optical imaging spectroscopy for rapid, primary screening of SARS-CoV-2: A proof of concept. Sci. Rep. 2022, 12, 1–18. [Google Scholar]
- Nguyen, K.; Proença, H.; Alonso-Fernandez, F. Deep Learning for Iris Recognition: A Survey. arXiv 2022, arXiv:2210.05866. [Google Scholar]
- Zhao, J.; Kumar, A.; Banoth, B.N.; Marathi, B.; Rajalakshmi, P.; Rewald, B.; Ninomiya, S.; Guo, W. Deep-Learning-Based Multispectral Image Reconstruction from Single Natural Color RGB Image—Enhancing UAV-Based Phenotyping. Remote Sens. 2022, 14, 1272. [Google Scholar] [CrossRef]
- Zhang, J.; Su, R.; Fu, Q.; Ren, W.; Heide, F.; Nie, Y. A survey on computational spectral reconstruction methods from RGB to hyperspectral imaging. Sci. Rep. 2022, 12, 1–17. [Google Scholar]
- Ershov, E.; Savchik, A.; Shepelev, D.; Banić, N.; Brown, M.S.; Timofte, R.; Mudenagudi, U. NTIRE 2022 challenge on night photography rendering. In Proceedings of the IEEE/CVF Conference on Computer Vision and Pattern Recognition, New Orleans, LA, USA, 18–24 June 2022; pp. 1287–1300. [Google Scholar]
- Hendley, C.M.; Hecht, S. The colors of natural objects and terrains, and their relation to visual color deficiency. J. Opt. Soc. Am. 1949, 39, 870–873. [Google Scholar] [CrossRef]
- Burton, G.J.; Moorhead, I.R. Color and spatial structure in natural scenes. Appl. Opt. 1987, 26, 157–170. [Google Scholar] [CrossRef]
- Nascimento, S.M.C.; Ferreira, F.P.; Foster, D.H. Statistics of spatial cone-excitation ratios in natural scenes. J. Opt. Soc. Am. A—Opt. Image Sci. Vis. 2002, 19, 1484–1490. [Google Scholar] [CrossRef]
- Webster, M.A.; Mollon, J.D. Adaptation and the color statistics of natural images. Vis. Res. 1997, 37, 3283–3298. [Google Scholar] [CrossRef] [PubMed]
- Juricevic, I.; Webster, M.A. Variations in normal color vision, simulations of adaptation to natural color environments. Vis. Neurosci. 2009, 26, 133–145. [Google Scholar] [CrossRef] [PubMed]
- Foster, D.H.; Marín-Franch, I.; Amano, K.; Nascimento, S.M.C. Approaching ideal observer efficiency in using color to retrieve information from natural scenes. J. Opt. Soc. Am. A—Opt. Image Sci. Vis. 2009, 26, B14–B24. [Google Scholar] [CrossRef] [PubMed]
- Marín- Franch, I.; Foster, D.H. Number of perceptually distinct surface colors in natural scenes. J. Vis. 2010, 10, 91–97. [Google Scholar] [CrossRef] [PubMed]
- Foster, D.H. Color constancy. Vis. Res. 2011, 5, 674–700. [Google Scholar] [CrossRef] [PubMed]
- Sharma, G.; Eduardo, C. The Dark Side of CIELAB. In Proceedings of the Color Imaging XVII: Displaying, Processing, Hardcopy, and Applications, 82920D, IS&T/SPIE Electronic Imaging, Burlingame, CA, USA, 22–26 January 2012; Volume 8292. [Google Scholar]
- Verdu, F.; Pujol, J.; Capilla, P. Calculation of the color Matching Functions of Digital Cameras from Their Complete Spectral Sensitivities. J. Img. Sc. Tech. 2002, 46, 15–25. [Google Scholar]
- Oren, M.; Nayar, S.K. Generalization of Lambert’s Reflection Model; Proc. of ACM SIGGRAPH: Orlando, FL, USA, 1994. [Google Scholar]
- Nayar, S.K.; Oren, M. Generalization of the Lambertian Model and Implications for Machine Vision. Int. J. Comput. Vis. 1995, 14, 227–251. [Google Scholar]
- Khandual, A.; Baciu, G.; Rout, N. Colorimetric processing of digital color image! Int. J. Adv. Res. Comput. Sci. Softw. Eng. 2013, 3, 103–107. [Google Scholar]
- Khandual, A.; Baciu, G.; Hu, J.; Zeng, E. Color Characterization for Scanners: Dpi and Color Co-Ordinate Issues. Int. J. Adv. Res. Comput. Sci. Softw. Eng. 2012, 2, 354–365. [Google Scholar]
- Cheung, V.; Westland, S.; Connah, D.; Ripamonti, C. A comparative study of the characterisation of color cameras by means of neural networks and polynomial transforms. Color. Technol. 2004, 120, 19–25. [Google Scholar] [CrossRef]
- Shen, H.L.; Mou, T.S.; Xin, J.H. Colorimetric characterization of scanner by measures of perceptual color error. J. Electron. Imaging 2006, 15, 1–5. [Google Scholar]
- Ran, J.; Liu, H.; Luo, J. The color matching design based on polynomial regression. Text. Res. J. 2022, 92, 1235–1245. [Google Scholar] [CrossRef]
- Hong, G.W.; Luo, M.R.; Rhodes, P.A. A study of digital camera colorimetric characterization based on polynomial modeling. Color Res. Appl. 2001, 26, 76–84. [Google Scholar]
- Chou, Y.F.; Luo, M.R.; Li, C.; Cheung, V.; Lee, S.L. Methods for designing characterisation targets for digital cameras. Color. Technol. 2013, 129, 203–213. [Google Scholar] [CrossRef]
- Liu, L.; Xie, X.; Zhang, Y.; Cao, F.; Liang, J.; Liao, N. Colorimetric characterization of color imaging systems using a multi-input PSO-BP neural network. Color Res. Appl. 2022, 47, 855–865. [Google Scholar] [CrossRef]
- Wang, H.; Yang, J.; Xue, B.; Yan, X.; Tao, J. A novel color calibration method of multi-spectral camera based on normalized RGB color model. Results Phys. 2020, 19, 103498. [Google Scholar] [CrossRef]
- Bondi, L.; Baroffio, L.; Güera, D.; Bestagini, P.; Delp, E.J.; Tubaro, S. First steps toward camera model identification with convolutional neural networks. IEEE Signal Process. Lett. 2016, 24, 259–263. [Google Scholar] [CrossRef]
- Lukac, R. (Ed.) Single-Sensor Imaging: Methods and Applications for Digital Cameras; CRC Press: Boca Raton, FL, USA, 2018. [Google Scholar]
- Nayak, S.; Khandual, A.; Mishra, J. Ground truth study on fractal dimension of color images of similar texture. J. Text. Inst. 2018, 109, 1159–1167. [Google Scholar] [CrossRef]
- Menna, F.; Nocerino, E.; Remondino, F. Flat versus hemispherical dome ports in underwater photogrammetry. The International Archives of Photogrammetry. Remote Sens. Spat. Inf. Sci. 2017, 42, 481. [Google Scholar]
- Yao, P. Advanced textile image analysis based on multispectral color reproduction. Ph.D. Dissertation, HKPolyU, Hung Hom, Hong Kong, 2022. [Google Scholar]
- Sciuto, G.L.; Susi, G.; Cammarata, G.; Capizzi, G. A spiking neural network-based model for anaerobic digestion process. In Proceedings of the 2016 International Symposium on Power Electronics, Electrical Drives, Automation and Motion (SPEEDAM), Capri, Italy, 22–24 June 2016; IEEE: Piscataway, NJ, USA; pp. 996–1003.
- Tuccitto, N.; Bombace, A.; Torrisi, A.; Licciardello, A.; Sciuto, G.L.; Capizzi, G.; Woźniak, M. Probabilistic neural network-based classifier of ToF-SIMS single-pixel spectra. Chemom. Intell. Lab. Syst. 2019, 191, 138–142. [Google Scholar] [CrossRef]
- Technical Guide: Integrating Sphere Theory and applications, LabShpere. Available online: https://mmrc.caltech.edu/Cary%20UV-Vis%20Int.Sphere/Literature/labsphere%20Theory%20and%20App.pdf (accessed on 1 September 2022).







| Dye CI Name | Commercial Names | CAS Number |
|---|---|---|
| 1. Reactive Red124 | Levafix Brilliant Red E-BA | 51811-46-2 |
| 2. REACTIVE GREEN 21 | Levafix Brilliant GreenE5BNA | 61969-09-3 |
| 3. REACTIVE BLUE 166 | Levafix Turquoise Blue E-BA | 61969-03-7 |
| 4. REACTIVE YELLOW 160 | Levafix Brilliant Yellow4GL | 129898-77-7 |
| No. | Design | Warp Ne | Weft Ne | Wefts/cm | Warps/cm | GSM | Thickness (mm) |
|---|---|---|---|---|---|---|---|
| 1 | Twill | 1 × 29.5 | 1 × 29.5 | 30 | 31 | 189 | 0.65 |
| 2 | Twill | 1 × 29.5 | 1 × 29.5 | 30 | 37 | 207 | 0.69 |
| 3 | Twill | 1 × 29.5 | 2 × 13.1 | 30 | 33 | 173 | 0.63 |
| 4 | Twill | 1 × 29.5 | 2 × 13.1 | 30 | 38 | 196 | 0.66 |
| 5 | Twill | 1 × 29.5 | 1 × 29.5 | 31 | 33 | 197 | 0.88 |
| 6 | Twill | 1 × 29.5 | 1 × 29.5 | 31 | 35 | 221 | 0.91 |
| 7 | Twill | 1 × 29.5 | 2 × 13.1 | 30 | 31 | 181 | 0.85 |
| 8 | Twill | 1 × 29.5 | 2 × 13.1 | 31 | 35 | 201 | 0.82 |
| 9 | Rib | 1 × 29.5 | 1 × 29.5 | 28 | 35 | 190 | 0.64 |
| 10 | Rib 2/2 | 1 × 29.5 | 1 × 29.5 | 29 | 40 | 210 | 0.62 |
| 11 | Rib 2/2 | 1 × 29.5 | 2 × 13.1 | 28 | 34 | 175 | 0.63 |
| 12 | Rib 2/2 | 1 × 29.5 | 2 × 13.1 | 28 | 40 | 194 | 0.6 |
| 13 | Rib 4/4 | 1 × 29.5 | 1 × 29.5 | 28 | 35 | 189 | 0.91 |
| 14 | Rib 4/4 | 1 × 29.5 | 1 × 29.5 | 27 | 42 | 204 | 0.83 |
| 15 | Rib 4/4 | 1 × 29.5 | 2 × 13.1 | 27 | 35 | 174 | 0.87 |
| 16 | Rib 4/4 | 1 × 29.5 | 2 × 13.1 | 27 | 42 | 191 | 0.81 |
| 17 | Plain | 1 × 29.5 | 1 × 29.5 | 28 | 22 | 159 | 0.6 |
| 18 | Plain | 1 × 29.5 | 1 × 29.5 | 29 | 29 | 179 | 0.57 |
| 19 | Plain | 1 × 29.5 | 2 × 13.1 | 28 | 21 | 148 | 0.55 |
| 20 | Plain | 1 × 29.5 | 2 × 13.1 | 30 | 29 | 164 | 0.51 |
Publisher’s Note: MDPI stays neutral with regard to jurisdictional claims in published maps and institutional affiliations. |
© 2022 by the authors. Licensee MDPI, Basel, Switzerland. This article is an open access article distributed under the terms and conditions of the Creative Commons Attribution (CC BY) license (https://creativecommons.org/licenses/by/4.0/).
Share and Cite
Rout, N.; Baciu, G.; Pattanaik, P.; Nakkeeran, K.; Khandual, A. Color and Texture Analysis of Textiles Using Image Acquisition and Spectral Analysis in Calibrated Sphere Imaging System-I. Electronics 2022, 11, 3887. https://doi.org/10.3390/electronics11233887
Rout N, Baciu G, Pattanaik P, Nakkeeran K, Khandual A. Color and Texture Analysis of Textiles Using Image Acquisition and Spectral Analysis in Calibrated Sphere Imaging System-I. Electronics. 2022; 11(23):3887. https://doi.org/10.3390/electronics11233887
Chicago/Turabian StyleRout, Nibedita, George Baciu, Priyabrata Pattanaik, K. Nakkeeran, and Asimananda Khandual. 2022. "Color and Texture Analysis of Textiles Using Image Acquisition and Spectral Analysis in Calibrated Sphere Imaging System-I" Electronics 11, no. 23: 3887. https://doi.org/10.3390/electronics11233887
APA StyleRout, N., Baciu, G., Pattanaik, P., Nakkeeran, K., & Khandual, A. (2022). Color and Texture Analysis of Textiles Using Image Acquisition and Spectral Analysis in Calibrated Sphere Imaging System-I. Electronics, 11(23), 3887. https://doi.org/10.3390/electronics11233887

