CNN-Based Surrogate Models of the Electrostatic Field for a MEMS Motor: A Bi-Objective Optimal Shape Design
Abstract
:1. Introduction
2. The Case Study
3. Surrogate Model with CNN
3.1. The CNN Structure
3.2. Multi-Objective Optimization Based on the Surrogate Models
- the highest value of the driving torque on a pole pitch f1(g) at no load under single-phase supply;
- the value of radial force on the rotor f2(g) in the direction of the shortest air gap.
- − the image is automatically drawn;
- − the image is processed in order to fit the 30 × 50 pixel size;
- − a bitmap matrix representing the image is generated;
- − the matrix is passed to the trained CNN as input.
4. Results
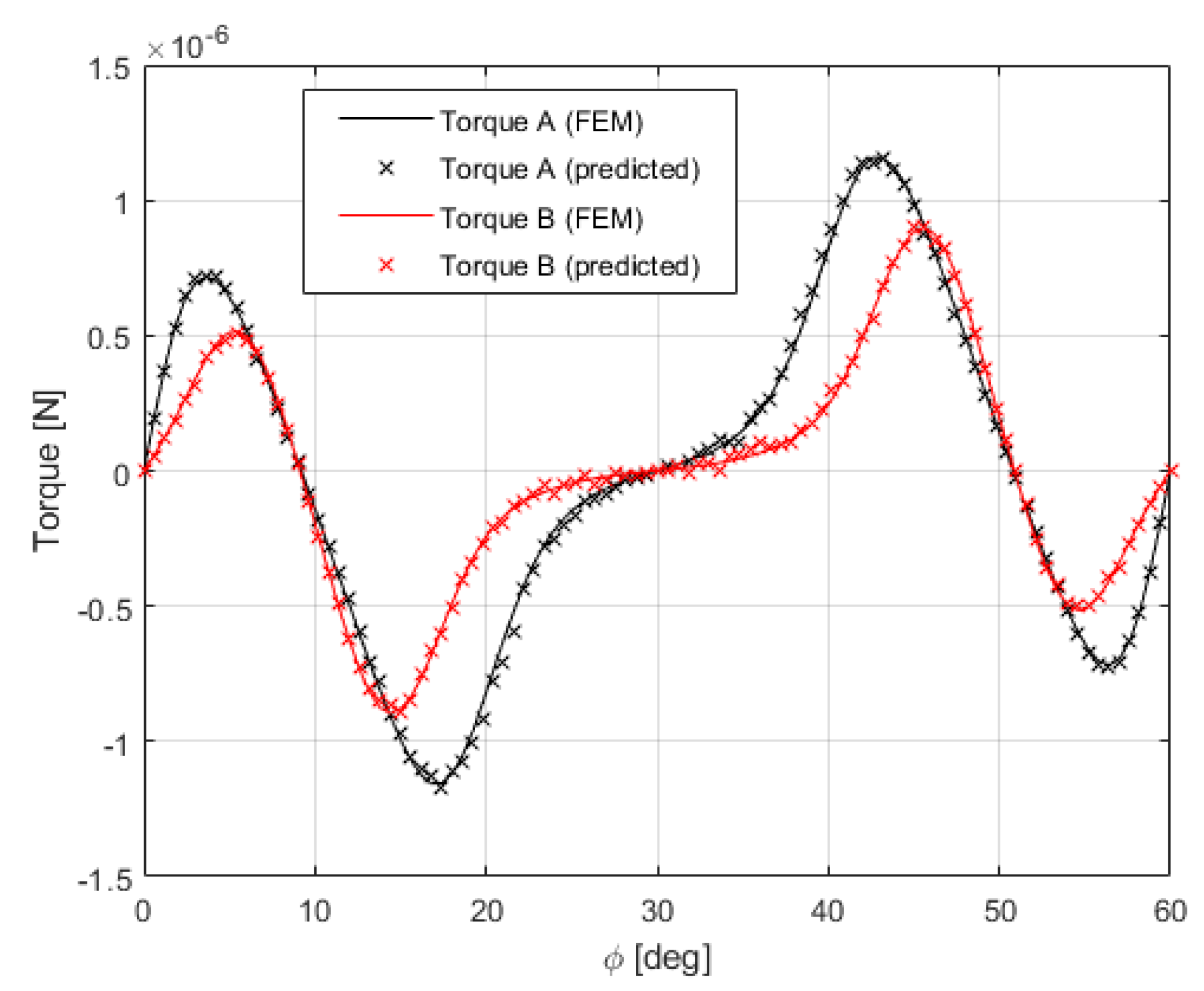
4.1. Torque Profile Prediction
4.2. Maximum Torque Value Prediction
4.3. Radial Force Value Prediction
4.4. Optimization Based on Surrogate Models
5. Discussion
Author Contributions
Funding
Data Availability Statement
Conflicts of Interest
References
- Li, Y.; Lei, G.; Bramerdorfer, G.; Peng, S.; Sun, X.; Zhu, J. Machine Learning for Design Optimization of Electromagnetic Devices: Recent Developments and Future Directions. Appl. Sci. 2021, 11, 1627. [Google Scholar] [CrossRef]
- Khan, A.; Ghorbanian, V.; Lowther, D. Deep Learning for Magnetic Field Estimation. IEEE Trans. Magn. 2019, 55, 1–4. [Google Scholar] [CrossRef]
- Khan, A.; Mohammadi, M.H.; Ghorbanian, V.; Lowther, D.A. Efficiency Map Prediction of Motor Drives Using Deep Learning. IEEE Trans. Magn. 2020, 56, 1–4. [Google Scholar] [CrossRef]
- Goodfellow, I.; Bengio, Y.; Courville, A. Deep Learning; The MIT Press: Cambridge, MA, USA, 2016. [Google Scholar]
- Barmada, S.; Fontana, N.; Formisano, A.; Thomopulos, D.; Tucci, M. A Deep Learning Surrogate Model for Topology Optimization. IEEE Trans. Magn. 2021, 57, 1–4. [Google Scholar] [CrossRef]
- Aoyagi, T.; Otomo, Y.; Igarashi, H.; Sasaki, H.; Hidaka, Y.; Arita, H. Prediction of Current-Dependent Motor Torque Characteristics Using Deep Learning for Topology Optimization. IEEE Trans. Magn. 2022, 58, 1–4. [Google Scholar] [CrossRef]
- Di Barba, P.; Dughiero, F.; Mognaschi, M.E.; Savini, A.; Wiak, S. Biogeography-Inspired Multiobjective Optimization and MEMS Design. IEEE Trans. Magn. 2016, 52, 1–4. [Google Scholar] [CrossRef]
- MathWorks Deep Learning Toolbox User’s Guide. Available online: https://it.mathworks.com/help/pdf_doc/deeplearning/nnet_ug.pdf (accessed on 30 September 2022).
- Di Barba, P.; Mognaschi, M.E.; Sieni, E.; Ziolkowski, M. Convolutional neural networks for the shape design of a magnetic core for material testing: Forward and inverse approaches. Int. J. Appl. Electromagn. Mech. 2022, 69, 389–399. [Google Scholar] [CrossRef]
- Deb, K. Multi-Objective Optimisation Using Evolutionary Algorithms; Wiley: Hoboken, NJ, USA, 2001. [Google Scholar]
- Tucci, M.; Barmada, S.; Formisano, A.; Thomopulos, D. A regularized procedure to generate a deep learning model for topology optimization of electromagnetic devices. Electronics 2021, 10, 2185. [Google Scholar] [CrossRef]











| Layer Number | Layer Type |
|---|---|
| 1 | Image based input (size 30 × 50) |
| 2 | Convolution 2D (size 3 × 8) |
| 3 | Batch normalization |
| 4 | ReLU activation function |
| 5 | Average pooling 2D (2 × 2, Stride) |
| 6 | Convolution 2D (size 3 × 16) |
| 7 | Batch normalization |
| 8 | ReLU activation function |
| 9 | Average pooling 2D (2 × 2, Stride) |
| 10 | Convolution 2D (size 3 × 32) |
| 11 | Batch normalization |
| 12 | ReLU activation function |
| 13 | Convolution 2D (size 3 × 32) |
| 14 | Batch normalization |
| 15 | ReLU activation function |
| 16 | Dropout (20% of probability) |
| 17 | Fully connected layer (Np outputs) |
| 18 | Regression layer |
| Design Variable | Minimum Value | Maximum Value |
|---|---|---|
| R1 [µm] | 15 | 55 |
| A [deg] | 10 | 55 |
| Β [deg] | 10 | 55 |
Publisher’s Note: MDPI stays neutral with regard to jurisdictional claims in published maps and institutional affiliations. |
© 2022 by the authors. Licensee MDPI, Basel, Switzerland. This article is an open access article distributed under the terms and conditions of the Creative Commons Attribution (CC BY) license (https://creativecommons.org/licenses/by/4.0/).
Share and Cite
Di Barba, P.; Mognaschi, M.E.; Wiak, S. CNN-Based Surrogate Models of the Electrostatic Field for a MEMS Motor: A Bi-Objective Optimal Shape Design. Electronics 2022, 11, 3877. https://doi.org/10.3390/electronics11233877
Di Barba P, Mognaschi ME, Wiak S. CNN-Based Surrogate Models of the Electrostatic Field for a MEMS Motor: A Bi-Objective Optimal Shape Design. Electronics. 2022; 11(23):3877. https://doi.org/10.3390/electronics11233877
Chicago/Turabian StyleDi Barba, Paolo, Maria Evelina Mognaschi, and Slawomir Wiak. 2022. "CNN-Based Surrogate Models of the Electrostatic Field for a MEMS Motor: A Bi-Objective Optimal Shape Design" Electronics 11, no. 23: 3877. https://doi.org/10.3390/electronics11233877
APA StyleDi Barba, P., Mognaschi, M. E., & Wiak, S. (2022). CNN-Based Surrogate Models of the Electrostatic Field for a MEMS Motor: A Bi-Objective Optimal Shape Design. Electronics, 11(23), 3877. https://doi.org/10.3390/electronics11233877

