Building Security Awareness of Interdependent Services, Business Processes, and Systems in Cyberspace
Abstract
1. Introduction
- The methodology of cyberspace modeling that enables:
- -
- Assessing the impact of degradation on interdependent business processes, services, and IT/OT infrastructure elements in achieving the entity’s strategic objectives;
- -
- Evaluating the actual state of cybersecurity and anticipating the proliferation of threats across the entity’s cyberspace;
- -
- Conducting “what-if” analysis to identify structural or procedural solutions that can increase the cybersecurity of the entity.
- The concept of modeling cold or hot reserve objects considering the depletion of resources necessary for their operation.
- A case study of the proposed approach supporting an operator of essential services in achieving cybersecurity awareness. We anonymized the object data for privacy while preserving the basic features.
2. Related Work
3. Methodology
3.1. Cyberspace Modeling
- Services provided to other entities, in particular, essential services, for instance, power generation, oil storage, transportation, etc.;
- Services provided to the operator by other parties (so-called external services), which are necessary for the operator to achieve its business objectives;
- Internal services provided by the operator’s various departments to support its operations, e.g., local transport, accounting, etc.;
- Business processes that determine the achievement of the operator’s business objectives, e.g., resource management, customer assistance, etc.;
- Information technology (IT) and operation technology (OT) systems as well as other technical systems supporting service provision and execution of business processes;
- Security systems that monitor cyberspace and provide threat information and support protection and mitigation activities;
- The network of internal linkages of cyberspace elements with the nature and scope of their interactions;
- An interface to the national-level CSIRT system enabling the reporting of identified incidents and the results of the dynamic risk assessment by the operator as well as reverse data acquisition for events in the state’s cyberspace and security recommendations for inclusion in the entity’s security management process.
- High-level organizational objectives related to the performance of core tasks, particularly provisioning of essential services that are a source of revenue;
- Services rendered by the operator’s departments (so-called internal services) and critical business processes that condition the provision of essential services and are necessary for the accomplishment of the business objectives,
- Infrastructure, which includes IT, OT, and technical systems with their components.
- The significance of the impact on dependent objects, referred to hereafter as relative criticality;
- The significance of the impact on the accomplishment of the operator’s business objectives, referred to hereafter as business criticality.
- The current security state of the object in terms of confidentiality, integrity, and availability;
- The object’s security risks concerning confidentiality, integrity, and availability.
3.2. Object Criticality
3.3. Object Exposure to Cyberthreats
- is an Initial Compromise level that takes the value of the minimum of 1 or the sum of the individual vulnerability assessments (impact on confidentiality, integrity, and availability) following the Formula (12):where are the numerical scores of (C), (I), and (A) features of a single vulnerability within a set of .
- depicts the maximum impact of detected vulnerabilities in terms of confidentiality, integrity, and availability (13). It sets an upper limit on the number of vulnerabilities needed to completely compromise an infrastructure element:
- indicates which vulnerability represents the greatest threat to the object (14). Its value is normalized to one, where one means that the vulnerability considered can completely affect the object’s confidentiality, integrity, and availability:where , , and are the numerical scores of (C), (I), and (A) features, respectively, of a single vulnerability within a set of .
- is a combined parameter of maximum access and access complexity (15). It can be represented as a vector or a normalized value:where and are the numerical scores of (AV) and (PR) features, respectively, of a single vulnerability within a set of .
- depicts the attack surface, which is a function of the number of vulnerabilities concerning the object and the threat that they present. The value of this parameter is expressed on a logarithmic scale (16), where x is the base for the logarithmic function, and y is its maximum value (limit):
- is the weight of the maximum input;
- is the weight of the maximum vulnerability;
- is the weight of the combined access vector, access complexity, and authentication vector.
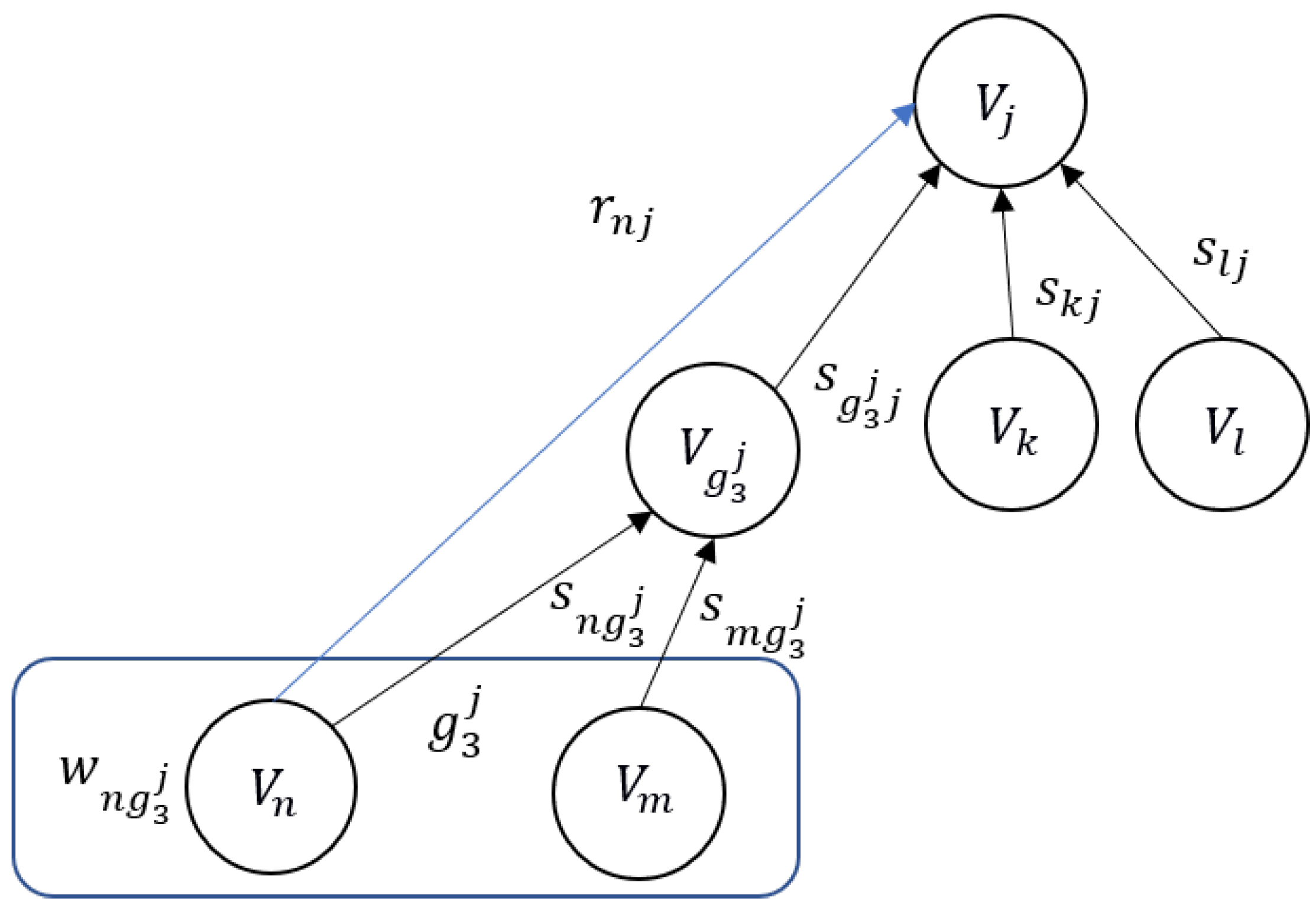
3.4. Simulation of Dynamic States of Cyberspace
- Capability to model networks of unlimited size and with the inter-aspect impact of nodes;
- Support for a different timescale of node interactions and different character of node response to neighbor failures;
- Viability in the case of limited or uncertain node parameters provided by the model user.
- Summation means that dysfunction at each supporting node adds up to observed dysfunction of ;
- Maximization takes into account only the failure that influences most, which means that supporting nodes can be used alternatively, exactly as in the case of redundancy modeling;
- Minimization seeks out the bottleneck supporting node, effectively implementing conjunction of the supporting nodes needed for the operation of .
- A change in internal state , defined by a user as an element of attack scenario;
- A change in observed state , resulting from a change in internal state or any observed state of the node predecessors.
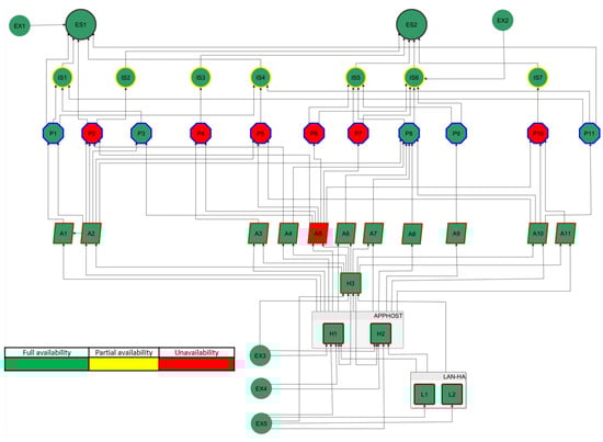
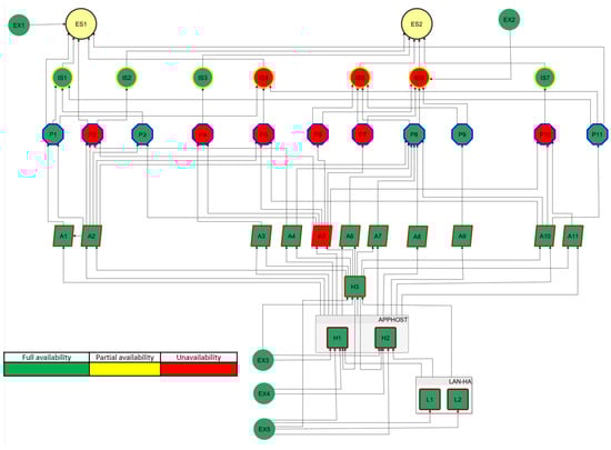
4. Case Study
- Essential services (ES1, ES2);
- External services provided by outside organizations (EX1–EX5);
- Internal services (IS1–IS7);
- Business processes (P1–P11);
- IT system comprising applications (A1–A11) exploited by various services and processes, database server (H3), and application servers (H1, H2) running in cold reserve mode;
- LAN switches (L1, L2) operating in high availability (HA) mode.
5. Discussion
- Improving the acquisition of reliable data required by S46/Powered by NPC system;
- Assessing the impact of degradation in interdependent business processes, services, and IT/OT infrastructure elements on achieving the entity’s strategic objectives;
- Visualization of the actual security status of objects in the operator’s cyberspace;
- Anticipating the proliferation of threats across the entity’s cyberspace;
- Conducting a what-if analysis to identify structural or procedural solutions for strengthening the cybersecurity resilience of the entity.
Author Contributions
Funding
Institutional Review Board Statement
Informed Consent Statement
Data Availability Statement
Acknowledgments
Conflicts of Interest
References
- Petit, F.; Lewis, L. Incorporating Logical Dependencies and Interdependencies into Infrastructure Analyses; George Mason University: Fairfax, VA, USA, 2016. [Google Scholar]
- Stergiopoulos, G.; Kotzanikolaou, P.; Theocharidou, M.; Lykou, G.; Gritzalis, D. Time-based critical infrastructure dependency analysis for large-scale and cross-sectoral failures. Int. J. Crit. Infrastruct. Prot. 2016, 12, 46–60. [Google Scholar] [CrossRef]
- Han, C.H.; Park, S.T.; Lee, S.J. The enhanced security control model for critical infrastructures with the blocking prioritisation process to cyber threats in power system. Int. J. Crit. Infrastruct. Prot. 2019, 26, 100312. [Google Scholar] [CrossRef]
- Settanni, G.; Skopik, F.; Shovgenya, Y.; Fiedler, R.; Carolan, M.; Conroy, D.; Boettinger, K.; Gall, M.; Brost, G.; Ponchel, C.; et al. A collaborative cyber incident management system for European interconnected critical infrastructures. J. Inf. Secur. Appl. 2017, 34, 166–182. [Google Scholar] [CrossRef]
- Puuska, S.; Rummukainen, L.; Timonen, J.; Lääperi, L.; Klemetti, M.; Oksama, L.; Vankka, J. Nationwide critical infrastructure monitoring using a common operating picture framework. Int. J. Crit. Infrastruct. Prot. 2018, 20, 28–47. [Google Scholar] [CrossRef]
- Turoff, M.; Bañuls, V.A.; Plotnick, L.; Hiltz, S.R.; Ramírez de la Huerga, M. A collaborative dynamic scenario model for the interaction of critical infrastructures. Futures 2016, 84, 23–42. [Google Scholar] [CrossRef]
- European Union. Directive (EU) 2016/1148 of the European Parliament and of the Council Concerning Measures for a High Common Level of Security of Network and Information Systems across the Union. Available online: https://eur-lex.europa.eu/legal-content/EN/TXT/?uri=celex:32016L1148 (accessed on 29 September 2022).
- Amanowicz, M. A Shared Cybersecurity Awareness Platform. J. Telecommun. Inf. Technol. 2021, 3, 32–41. [Google Scholar] [CrossRef]
- Trucco, P.; Cagno, E.; De Ambroggi, M. Dynamic functional modelling of vulnerability and interoperability of Critical Infrastructures. Reliab. Eng. Syst. Saf. 2012, 105, 51–63. [Google Scholar] [CrossRef]
- De Domenico, M.; Solé-Ribalta, A.; Omodei, E.; Gómez, S.; Arenas, A. Ranking in interconnected multilayer networks reveals versatile nodes. Nat. Commun. 2015, 6, 6868. [Google Scholar] [CrossRef] [PubMed]
- Zio, E.; Ferrario, E. A framework for the system-of-systems analysis of the risk for a safety-critical plant exposed to external events. Reliab. Eng. Syst. Saf. 2013, 114, 114–125. [Google Scholar] [CrossRef][Green Version]
- Chen, T.; Wu, S.; Yang, J.; Cong, G. Risk Propagation Model and Its Simulation of Emergency Logistics Network Based on Material Reliability. Int. J. Environ. Res. Public Health 2019, 16, 4677. [Google Scholar] [CrossRef] [PubMed]
- Li, M.; Wang, Y.; Jia, L.; Cui, Y. Risk propagation analysis of urban rail transit based on network model. Alex. Eng. J. 2020, 59, 1319–1331. [Google Scholar] [CrossRef]
- Zhu, B.; Deng, S.; Xu, Y.; Yuan, X.; Zhang, Z. Information Security Risk Propagation Model Based on the SEIR Infectious Disease Model for Smart Grid. Information 2019, 10, 323. [Google Scholar] [CrossRef]
- Mao, Q.; Li, N. Assessment of the impact of interdependencies on the resilience of networked critical infrastructure systems. Nat. Hazards 2018, 93, 315–337. [Google Scholar] [CrossRef]
- Galbusera, L.; Trucco, P.; Giannopoulos, G. Modeling interdependencies in multi-sectoral critical infrastructure systems: Evolving the DMCI approach. Reliab. Eng. Syst. Saf. 2020, 203, 107072. [Google Scholar] [CrossRef]
- Goldbeck, N.; Angeloudis, P.; Ochieng, W.Y. Resilience assessment for interdependent urban infrastructure systems using dynamic network flow models. Reliab. Eng. Syst. Saf. 2019, 188, 62–79. [Google Scholar] [CrossRef]
- Stergiopoulos, G.; Dedousis, P.; Gritzalis, D. Automatic analysis of attack graphs for risk mitigation and prioritization on large-scale and complex networks in Industry 4.0. Int. J. Inf. Secur. 2022, 21, 37–59. [Google Scholar] [CrossRef]
- Ouyang, M. Review on modeling and simulation of interdependent critical infrastructure systems. Reliab. Eng. Syst. Saf. 2014, 121, 43–60. [Google Scholar] [CrossRef]
- Polish Parliament. Act on the National Cybersecurity System. J. Laws 2018, 2018, 1560. Available online: https://isap.sejm.gov.pl/isap.nsf/download.xsp/WDU20180001560/U/D20181560Lj.pdf (accessed on 29 September 2022).
- Setola, R.; Rosato, V.; Kyriakides, E.; Rome, E. Managing the Complexity of Critical Infrastructures; Studies in Systems, Decision and Control; Springer International Publishing: Berlin/Heidelberg, Germany, 2016; Volume 90. [Google Scholar] [CrossRef]
- Saaty, T. Relative measurement and its generalization in decision making why pairwise comparisons are central in mathematics for the measurement of intangible factors the analytic hierarchy/Network Process. RACSAM Rev. R. Acad. Cien. Serie A Mat. 2008, 102, 251–318. [Google Scholar] [CrossRef]
- Janiszewski, M.; Felkner, A.; Lewandowski, P. A Novel Approach to National-level Cyber Risk Assessment Based on Vulnerability Management and Threat Intelligence. J. Telecommun. Inf. Technol. 2019, 2, 5–14. [Google Scholar] [CrossRef]
- CVSS Special Interest Group. Common Vulnerability Scoring System Version 3.1: Specification Document. In FIRST—Forum of Incident Response and Security Teams; FIRST: Cary, NC, USA, 2019; Standard; Available online: https://www.first.org/cvss/specification-document (accessed on 29 September 2022).
- Kim, A.; Kang, M.H.; Luo, J.Z.; Velasquez, A. A Framework for Event Prioritization in Cyber Network Defense; Technical Report; US Dept. of the Navy: Arlington County, VA, USA, 2014. [Google Scholar] [CrossRef]












| Feature | CVSS Value | Numerical Value |
|---|---|---|
| Confidentiality/Integrity/Availability | High | 1 |
| Low | 0.3 | |
| None | 0 | |
| Attack Vector | Network | 1 |
| Adjacent | 0.8 | |
| Local | 0.4 | |
| Physical | 0.2 | |
| Privileges Required | High | 1 |
| Low | 0.3 | |
| None | 0 |
| Object | Minimum | Maximum |
|---|---|---|
| [min] | [min] | |
| 60 | 240 | |
| 120 | 720 | |
| 3 | 480 | |
| P | 240 | 4320 |
| A | 120 | 120 |
| H | 240 | 240 |
| L | 480 | 480 |
| Object | Object | Object | Object | ||||
|---|---|---|---|---|---|---|---|
| ES1 | 0.555 | P3 | 0.021 | A3 | 0.021 | H3 | 0.682 |
| ES2 | 0.444 | P4 | 0.035 | A4 | 0.072 | L1 | 0.286 |
| IS1 | 0.083 | P5 | 0.028 | A5 | 0,27 | L2 | 0.286 |
| IS2 | 0.116 | P6 | 0.056 | A6 | 0.005 | EX1 | 0.083 |
| IS3 | 0.035 | P7 | 0.056 | A7 | 0.008 | EX2 | 0.008 |
| IS4 | 0.083 | P8 | 0.056 | A8 | 0.011 | EX3 | 0.172 |
| IS5 | 0.116 | P9 | 0.056 | A9 | 0.056 | EX4 | 0.086 |
| IS6 | 0.116 | P10 | 0.116 | A10 | 0.2 | EX5 | 0.057 |
| IS7 | 0.116 | P11 | 0.132 | A11 | 0.034 | ||
| P1 | 0.132 | A1 | 0.066 | H1 | 0.389 | ||
| P2 | 0.122 | A2 | 0.179 | H2 | 0.389 |
Publisher’s Note: MDPI stays neutral with regard to jurisdictional claims in published maps and institutional affiliations. |
© 2022 by the authors. Licensee MDPI, Basel, Switzerland. This article is an open access article distributed under the terms and conditions of the Creative Commons Attribution (CC BY) license (https://creativecommons.org/licenses/by/4.0/).
Share and Cite
Amanowicz, M.; Kamola, M. Building Security Awareness of Interdependent Services, Business Processes, and Systems in Cyberspace. Electronics 2022, 11, 3835. https://doi.org/10.3390/electronics11223835
Amanowicz M, Kamola M. Building Security Awareness of Interdependent Services, Business Processes, and Systems in Cyberspace. Electronics. 2022; 11(22):3835. https://doi.org/10.3390/electronics11223835
Chicago/Turabian StyleAmanowicz, Marek, and Mariusz Kamola. 2022. "Building Security Awareness of Interdependent Services, Business Processes, and Systems in Cyberspace" Electronics 11, no. 22: 3835. https://doi.org/10.3390/electronics11223835
APA StyleAmanowicz, M., & Kamola, M. (2022). Building Security Awareness of Interdependent Services, Business Processes, and Systems in Cyberspace. Electronics, 11(22), 3835. https://doi.org/10.3390/electronics11223835
