Transmit Beam Control in Low-Altitude Slow-Moving Small Targets Detection Based on Peak to Average Power Ratio Constraint
Abstract
1. Introduction
- The PAPR constraint is introduced for the radar transmitter power to improve the LSS target detection performance. This constraint can reduce the power loss of the radar transmitter, which is equivalent to increasing the transmit energy to a certain extent.
- To reduce the emission energy in the ground area, a sidelobe level constraint is devised. This constraint is imposed on the ground area to suppress the amplitude of radar transmitted beam pattern. It can reduce the energy of radar transmitting to the ground, thus fundamentally reducing the energy of ground clutter;
- To maintain the main lobe performance of transmit beamforming, amplitude invariant constraint is proposed for the direction of the desired signal, so that the transmit beam is directional and can have the basic function of radar detection of targets;
2. Methodology
2.1. Notation & Acronyms
2.2. Signal Model of LSS Detection
2.3. Proposed Algorithm
3. Simulation Analysis of the Proposed Method
3.1. Experiment 1: Proposed Beampattern versus Different Beamformers
3.2. Experiment 2: Beampattern under Different Sidelobe Thresholds
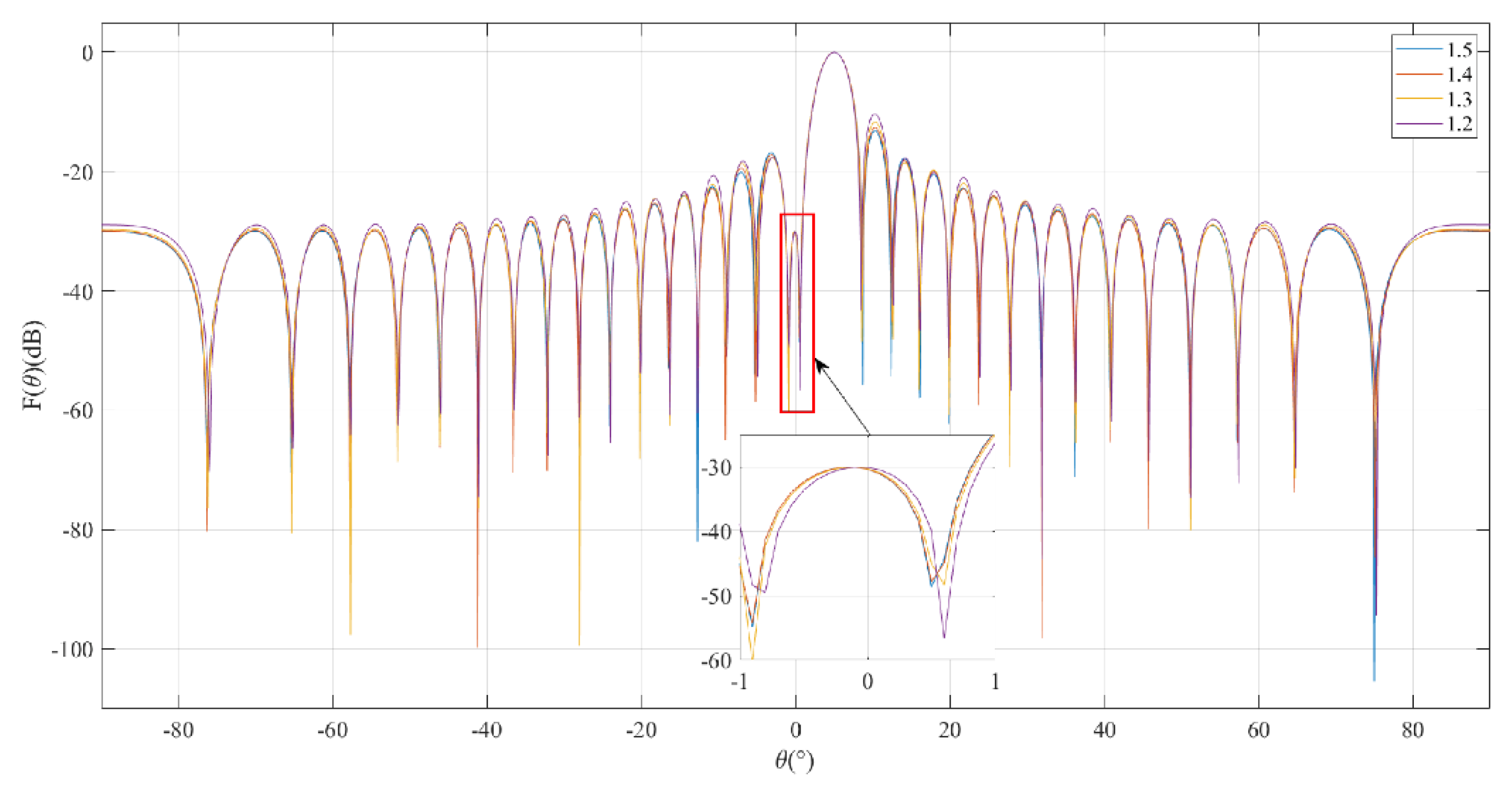
3.3. Experiment 3: Beampattern under Different PAPR Tolerances
4. Discussion
5. Conclusions
Author Contributions
Funding
Informed Consent Statement
Data Availability Statement
Conflicts of Interest
References
- Xu, C.; Jin, S.; Ding, Z.; Kuang, Q.; Zhuang, S.; Li, H. Transmit beam control in low-altitude slow-moving small targets detection. In Proceedings of the 2022 7th International Conference on Intelligent Computing and Signal Processing (ICSP), Xi’an, China, 15–17 April 2022; pp. 470–473. [Google Scholar]
- Dong, Q.; Zou, Q.H. Visual UAV detection method with online feature classification. In Proceedings of the 2017 IEEE 2nd Information Technology, Networking, Electronic and Automation Control Conference (ITNEC), Chengdu, China, 15–17 December 2017; pp. 429–432. [Google Scholar]
- Bisio, I.; Garibotto, C.; Lavagetto, F.; Sciarrone, A.; Zappatore, S. Blind Detection: Advanced Techniques for WiFi-Based Drone Surveillance. IEEE Trans. Veh. Technol. 2019, 68, 938–946. [Google Scholar] [CrossRef]
- Hu, J.S.; Wu, Y.P.; Chen, R.Q.; Shu, F.; Wang, J.Z. Optimal Detection of UAV’s Transmission with Beam Sweeping in Covert Wireless Networks. IEEE Trans. Veh. Technol. 2020, 69, 1080–1085. [Google Scholar] [CrossRef]
- Zhang, H.; Cao, C.H.; Xu, L.W.; Gulliver, T.A. A UAV Detection Algorithm Based on an Artificial Neural Network. IEEE Access 2018, 6, 24720–24728. [Google Scholar] [CrossRef]
- Aldowesh, A.; Alnuaim, T.; Alzogaiby, A. Slow-Moving Micro-UAV detection with a small scale Digital Array Radar. In Proceedings of the 2019 IEEE Radar Conference (Radarconf), Boston, MA, USA, 22–26 April 2019. [Google Scholar]
- Al-Nuaim, T.; Alam, M.; Aldowesh, A. Low-Cost Implementation of a Multiple-Input Multiple-Output Radar Prototype for Drone Detection. In Proceedings of the 2019 International Symposium ELMAR, Zadar, Croatia, 23–25 September 2019; pp. 183–186. [Google Scholar]
- Frankford, M.T.; Stewart, K.B.; Majurec, N.; Johnson, J.T. Numerical and Experimental Studies of Target Detection with MIMO Radar. IEEE Trans. Aerosp. Electron. Syst. 2014, 50, 1569–1577. [Google Scholar] [CrossRef]
- Yang, F.; Xu, F.; Yang, X.; Liu, Q. DDMA MIMO radar system for low, slow, and small target detection. J. Eng. 2019, 2019, 5932–5935. [Google Scholar] [CrossRef]
- Yang, F.W.; Qu, K.Y.; Hao, M.W.; Liu, Q.H.; Chen, X.Y.; Xu, F. Practical Investigation of a MIMO Radar System for Small Drones Detection. In Proceedings of the 2019 International Radar Conference (RADAR 2019), Toulon, France, 23–27 September 2019; pp. 156–160. [Google Scholar] [CrossRef]
- Shi, X.F.; Yang, C.Q.; Xie, W.G.; Liang, C.; Shi, Z.G.; Chen, J.M. Anti-Drone System with Multiple Surveillance Technologies: Architecture, Implementation, and Challenges. IEEE Commun. Mag. 2018, 56, 68–74. [Google Scholar] [CrossRef]
- Xu, Q.Y.; Jiang, C.X.; Han, Y.; Wang, B.B.; Liu, K.J.R. Waveforming: An Overview with Beamforming. IEEE Commun. Surv. Tutor. 2018, 20, 132–149. [Google Scholar] [CrossRef]
- Xu, J.W.; Liao, G.S.; Huang, L.; So, H.C. Robust Adaptive Beamforming for Fast-Moving Target Detection With FDA-STAP Radar. IEEE Trans. Signal Process. 2017, 65, 973–984. [Google Scholar] [CrossRef]
- Curtis, C.D.; Yeary, M.; Lake, J.L. Adaptive Nullforming to Mitigate Ground Clutter on the National Weather Radar Testbed Phased Array Radar. IEEE Trans. Geosci. Remote Sens. 2016, 54, 1282–1291. [Google Scholar] [CrossRef]
- Paul, B.; Chiriyath, A.R.; Bliss, D.W. Survey of RF Communications and Sensing Convergence Research. IEEE Access 2017, 5, 252–270. [Google Scholar] [CrossRef]
- Liu, F.; Masouros, C.; Li, A.; Sun, H.F.; Hanzo, L. MU-MIMO Communications with MIMO Radar: From Co-Existence to Joint Transmission. IEEE Trans. Wirel. Commun. 2018, 17, 2755–2770. [Google Scholar] [CrossRef]
- Liu, X.; Huang, T.Y.; Shlezinger, N.; Liu, Y.M.; Zhou, J.; Eldar, Y.C. Joint Transmit Beamforming for Multiuser MIMO Communications and MIMO Radar. IEEE Trans. Signal Process. 2020, 68, 3929–3944. [Google Scholar] [CrossRef]
- McCormick, P.M.; Blunt, S.D.; Metcalf, J.G. Simultaneous Radar and Communications Emissions from a Common Aperture, Part I: Theory. In Proceedings of the 2017 IEEE Radar Conference (Radarconf), Seattle, WA, USA, 8–12 May 2017; pp. 1685–1690. [Google Scholar]
- McCormick, P.M.; Ravenscroft, B.; Blunt, S.D.; Duly, A.J.; Metcalf, J.G. Simultaneous Radar and Communication Emissions from a Common Aperture, Part II: Experimentation. In Proceedings of the 2017 IEEE Radar Conference (Radarconf), Seattle, WA, USA, 8–12 May 2017; pp. 1697–1702. [Google Scholar]
- Euziere, J.; Guinvarc’h, R.; Lesturgie, M.; Uguen, B.; Gillard, R. Dual function Radar Communication Time-Modulated Array. In Proceedings of the 2014 International Radar Conference (Radar), Lille, France, 13–17 October 2014. [Google Scholar]
- Hassanien, A.; Amin, M.G.; Zhang, Y.M.D.; Ahmad, F. Dual-Function Radar-Communications: Information Embedding Using Sidelobe Control and Waveform Diversity. IEEE Trans. Signal Process. 2016, 64, 2168–2181. [Google Scholar] [CrossRef]
- Vorobyov, S.A.; Gershman, A.B.; Luo, Z.Q. Robust adaptive beamforming using worst-case performance optimization: A solution to the signal mismatch problem. IEEE Trans. Signal Process. 2003, 51, 313–324. [Google Scholar] [CrossRef]
- Khabbazibasmenj, A.; Vorobyov, S.A.; Hassanien, A. Robust Adaptive Beamforming Based on Steering Vector Estimation with as Little as Possible Prior Information. IEEE Trans. Signal Process. 2012, 60, 2974–2987. [Google Scholar] [CrossRef]
- Landau, L.; de Lamare, R.C.; Haardt, M. Robust Adaptive Beamforming Algorithms Using Low-Complexity Mismatch Estimation. In Proceedings of the 2011 IEEE Statistical Signal Processing Workshop (Ssp), Nice, France, 28–30 June 2011; pp. 445–448. [Google Scholar]
- Somasundaram, S.D.; Parsons, N.H.; Li, P.; De Lamare, R.C. Reduced-Dimension Robust Capon Beamforming Using Krylov-Subspace Techniques. IEEE Trans. Aerosp. Electron. Syst. 2015, 51, 270–289. [Google Scholar] [CrossRef]
- Li, H.T. Research on Key Technologies of Adaptive Digital Beamforming. Ph.D. Dissertation, Nanjing University of Science and Technology, Nanjing, China, 2012. [Google Scholar]
- Zhang, J.; Jin, S.; Lu, M.; Zhu, R.; Zhuang, S.; Li, H. Robust Adaptive Beamforming Based on SOCP. In Proceedings of the 2022 7th International Conference on Intelligent Computing and Signal Processing (ICSP), Xi’an, China, 15–17 April 2022; pp. 1518–1521. [Google Scholar]
- Cheng, Z.Y.; He, Z.S.; Liao, B.; Fang, M. MIMO Radar Waveform Design with PAPR and Similarity Constraints. IEEE Trans. Signal Process. 2018, 66, 968–981. [Google Scholar] [CrossRef]
- Ciuonzo, D.; De Maio, A.; Foglia, G.; Piezzo, M. Intrapulse Radar-Embedded Communications Via Multiobjective Optimization. IEEE Trans. Aerosp. Electron. Syst. 2015, 51, 2960–2974. [Google Scholar] [CrossRef]
- Cheng, X.; Aubry, A.; Ciuonzo, D.; De Maio, A.; Wang, X.S. Robust Waveform and Filter Bank Design of Polarimetric Radar. IEEE Trans. Aerosp. Electron. Syst. 2017, 53, 370–384. [Google Scholar] [CrossRef]





| Acronym | Full Name | Acronym | Full Name |
|---|---|---|---|
| LSS | low altitude, small, and slow-moving | SLLs | sidelobe levels |
| RCS | radar cross section | RAB | robust adaptive beamforming |
| UAV | unmanned aerial vehicle | PAPR | peak to average power ratio |
| DFRC | dual functional radar-communication | ULA | uniform liner array |
| SOCP | second-order cone programming |
| Method | Actual PAPR | Ground Region Amplified Power (dB) |
|---|---|---|
| Static | 1 | −13.24 |
| Proposed method | 1.1475 | −30.00 |
| Constant modulus | 1 | −21.29 |
| Sidelobe constraint | 1.4760 | −30.41 |
| Sidelobe Thresholds (dB) | Actual PAPR | Ground Region Amplified Power (dB) |
|---|---|---|
| −20 | 1.1819 | −20 |
| −25 | 1.1625 | −25 |
| −30 | 1.1475 | −30 |
| −35 | 1.1375 | −35 |
| −40 | 1.1314 | −40 |
| −50 | 1.1257 | −50 |
Publisher’s Note: MDPI stays neutral with regard to jurisdictional claims in published maps and institutional affiliations. |
© 2022 by the authors. Licensee MDPI, Basel, Switzerland. This article is an open access article distributed under the terms and conditions of the Creative Commons Attribution (CC BY) license (https://creativecommons.org/licenses/by/4.0/).
Share and Cite
Li, H.; Ding, Z.; Tian, S.; Jin, S. Transmit Beam Control in Low-Altitude Slow-Moving Small Targets Detection Based on Peak to Average Power Ratio Constraint. Electronics 2022, 11, 3456. https://doi.org/10.3390/electronics11213456
Li H, Ding Z, Tian S, Jin S. Transmit Beam Control in Low-Altitude Slow-Moving Small Targets Detection Based on Peak to Average Power Ratio Constraint. Electronics. 2022; 11(21):3456. https://doi.org/10.3390/electronics11213456
Chicago/Turabian StyleLi, Hongtao, Zhoupeng Ding, Sirui Tian, and Songpo Jin. 2022. "Transmit Beam Control in Low-Altitude Slow-Moving Small Targets Detection Based on Peak to Average Power Ratio Constraint" Electronics 11, no. 21: 3456. https://doi.org/10.3390/electronics11213456
APA StyleLi, H., Ding, Z., Tian, S., & Jin, S. (2022). Transmit Beam Control in Low-Altitude Slow-Moving Small Targets Detection Based on Peak to Average Power Ratio Constraint. Electronics, 11(21), 3456. https://doi.org/10.3390/electronics11213456

