Hybrid Modulated DCDC Boost Converter for Wearable Devices
Abstract
1. Introduction
2. Proposed DGM-PFM-PWM Hybrid Modulated DCDC Boost Converter
2.1. System Structure and DGM Operation Mode
2.2. PCMC-PFM control mode
2.3. Smooth switching from PCMC-PFM mode to PCMC-PWM mode
3. Implementation of Key Circuits
3.1. EA with H-Clamp and L-Clamp
3.2. Oscillation Unit
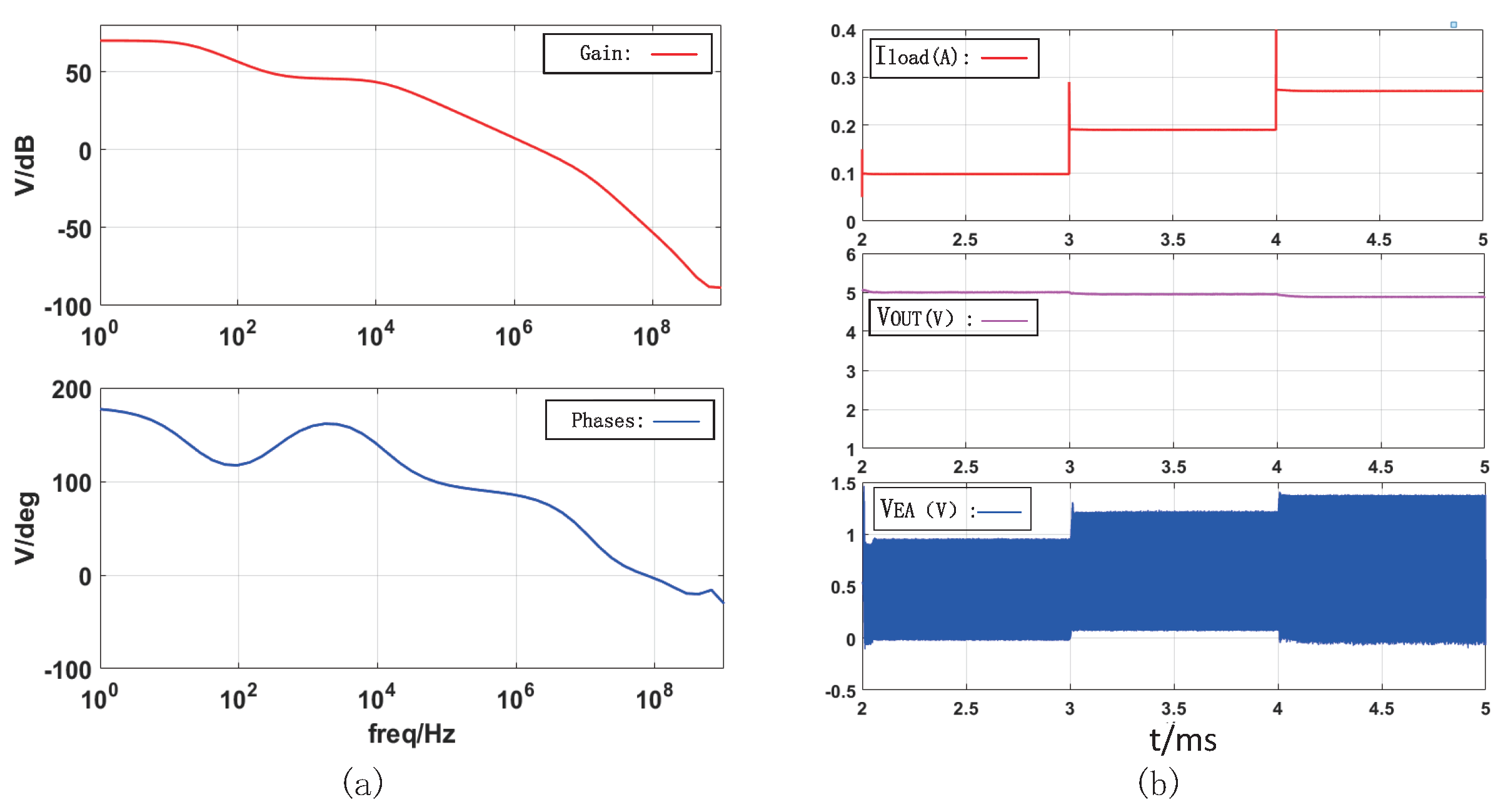
4. Measurement Results
5. Conclusions
Author Contributions
Funding
Conflicts of Interest
References
- IMARC Group. Available online: https://www.imarcgroup.com/global-wearable-technology-market/ (accessed on 19 September 2022).
- Seneviratne, S.; Hu, Y.; Nguyen, T.; Lan, G.; Khalifa, S.; Thilakarathna, K.; Hassan, M.; Seneviratne, A. A Survey of Wearable Devices and Challenges. IEEE Commun. Surv. Tutor. 2017, 19, 2573–2620. [Google Scholar] [CrossRef]
- Motti, V.G. Introduction to Wearable Computers; Wearable Interaction; Springer: Cham, Switzerland, 2020; pp. 1–39. [Google Scholar]
- Jain, N.; Chaudhary, A.; Sindhwani, N.; Rana, A. Applications of Wearable devices in IoT. In Proceedings of the 2021 9th International Conference on Reliability, Infocom Technologies and Optimization (Trends and Future Directions) (ICRITO), Noida, India, 3–4 September 2021. [Google Scholar]
- ReadWrite. Available online: http://readwrite.com/2015/08/14/battery-innovation-needed/ (accessed on 8 November 2016).
- Ballo, A.; Grasso, A.D.; Palumbo, G. A Subthreshold Cross-Coupled Hybrid Charge Pump for 50-mV Cold-Start. IEEE Access 2020, 8, 188959–188969. [Google Scholar] [CrossRef]
- Im, J.P.; Wang, S.W.; Ryu, S.T.; Cho, G.H. A 40 mV transformer reuse self-startup boost converter with MPPT control for thermoelectric energy harvesting. IEEE J. Solid-State Circuits 2012, 47, 3055–3067. [Google Scholar] [CrossRef]
- Chen, P.H.; Fan, P.Y. An 83.4% peak efficiency single-inductor multiple-output based adaptive gate biasing DC-DC converter for thermoelectric energy harvesting. IEEE Trans. Circuits Syst. 2015, 62, 405–412. [Google Scholar] [CrossRef]
- Zhao, M.; Li, M.; Song, S.; Hu, Y.; Yao, Y.; Bai, X.; Hu, R.; Wu, X.; Tan, Z. An Ultra-Low Quiescent Current Tri-Mode DC-DC Buck Converter With 92.1% Peak Efficiency for IoT Applications. IEEE Trans. Circuits Syst. 2022, 69, 428–439. [Google Scholar] [CrossRef]
- Jiang, H.Y.; Guo, Y.; Wu, Z.; Zhang, C.; Jia, W.; Wang, Z. Implantable Wireless Intracranial Pressure Monitoring Based on Air Pressure Sensing. IEEE Trans. Biomed. Circuits Syst. 2018, 12, 1076–1087. [Google Scholar] [CrossRef]
- Tang, Z.; Fang, Y.; Shi, Z.; Yu, X.; Tan, N.N.; Pan, W. A 1770-um2 leakage-based digital temperature sensor with supply sensitivity suppression in 55-nm CMOS. IEEE-Solid-State Circuits 2020, 55, 781–793. [Google Scholar] [CrossRef]
- Van den Steen, S.; Eyerman, S.; De Pestel, S.; Mechri, M.; Carlson, T.E.; Black-Schaffer, D.; Hagersten, E.; Eeckhout, L. Analytical Processor Performance and Power Modeling Using Micro-Architecture Independent Characteristics. IEEE Trans. Comput. 2016, 65, 1557–9956. [Google Scholar] [CrossRef]
- Walravens, C.; Dehaene, W. Low-power digital signal processor architecture for wireless sensor nodes. IEEE Trans. Very Large Scale Integr. (VLSI) Syst. 2014, 22, 313–321. [Google Scholar] [CrossRef]
- Ma, S.; Wu, T.; Zhang, J.; Ren, J. A 5G wireless event-driven sensor chip for online power-line disturbances detecting network in 0.25 um GaAs process. IEEE Trans. Ind. Electron. 2021, 68, 5271–5280. [Google Scholar] [CrossRef]
- Seth, S.; Kwon, D.H.; Venugopalan, S.; Son, S.W.; Zuo, Y.; Bhagavatula, V.; Lim, J.; Oh, D.; Cho, T.B. A Dynamically Biased Multiband 2G/3G/4G Cellular Transmitter in 28 nm CMOS. IEEE J.-Solid-State Circuits 2016, 51, 1096–1108. [Google Scholar] [CrossRef]
- Hong, W.; Lee, M. A 7.4-MHz tri-mode DC-DC buck converter with load current prediction scheme and seamless mode transition for IoT applications. IEEE Trans. Circuits Syst. 2020, 67, 4544–4555. [Google Scholar] [CrossRef]
- Zeng, W.L.; Ren, Y.; Lam, C.S.; Sin, S.W.; Che, W.K.; Ding, R.; Martins, R.P. A 470-nA Quiescent Current and 92.7%/94.7% Efficiency DCT/PWM Control Buck Converter With Seamless Mode Selection for IoT Application. IEEE Trans. Circuits Syst. 2020, 67, 4085–4098. [Google Scholar] [CrossRef]
- Ballo, A.; Grasso, A.D.; Palumbo, G. A Review of Charge Pump Topologies for the Power Management of IoT Nodes. Electronics 2019, 8, 480. [Google Scholar] [CrossRef]
- Ballo, A.; Grasso, A.D.; Palumbo, G. Current-mode body-biased switch to increase performance of linear charge pumps. Int. J. Circuit Theory Appl. 2020, 48, 1864–1872. [Google Scholar] [CrossRef]
- Ming, D.L.; Lee, Y.H.; Chen, K.H. A high efficiency adaptive frequency hopping controlled 1/3× step-down switch capacitor DC-DC converter with deep-green mode operation. In Proceedings of the 2012 IEEE International Symposium on Circuits and Systems (ISCAS), Seoul, Korea, 20–23 May 2012. [Google Scholar]
- Lee, M.C.; Li, C.H.; Yang, X.X. Implementation of DC-DC PFM Boost Power Converter for Low-power Energy Harvesting Applications. In Proceedings of the 2021 11th International Conference on Power, Energy and Electrical Engineering (CPEEE), Shiga, Japan, 26–28 February 2021. [Google Scholar]
- Zhang, S.; Zhao, M.; Wu, X.; Zhang, H. Dual-phase DC–DC buck converter with light-load performance enhancement for portable applications. IET Power Electron. 2018, 11, 719–726. [Google Scholar] [CrossRef]
- Chen, P.H.; Cheng, H.C.; Ai, Y.A.; Chung, W.T. Automatic modeselected energy harvesting interface with >80% power efficiency over 200 nW to 10 mW. IEEE Trans. Very Large Scale Integr. (VLSI) Syst. 2018, 26, 2898–2906. [Google Scholar] [CrossRef]
- Sansen, W.M.C. Analog Design Essentials; Tsinghua University Press: Beijing, China, 2022; pp. 144–151. [Google Scholar]
- Hsu, Y.C.; Chen, D.; Hsiao, S.F.; Cheng, H.Y.; Huang, C.S. Modeling of the control behavior of current-mode constant on-time boost converters. In Proceedings of the 2015 IEEE 2nd International Future Energy Electronics Conference (IFEEC), Taipei, Taiwan, 1–4 November 2015. [Google Scholar]
- Chen, P.H.; Shiang, C.; Lin, K.C. A 50 nW to 10 mW output power tri-mode digital buck converter with self-tracking zero current detection for photovoltaic energy harvesting. IEEE J. Solid-State Circuits 2016, 51, 523–532. [Google Scholar]
- Park, Y.J.; Park, J.H.; Kim, H.J.; Ryu, H.; Kim, S.; Pu, Y.; Hwang, K.C.; Yang, Y.; Lee, M.Y.; Lee, K. A Design of a 92.4% Efficiency Triple Mode Control DC–DC Buck Converter With Low Power Retention Mode and Adaptive Zero Current Detector for IoT/Wearable Applications. IEEE Trans. Power Electron. 2017, 32, 6946–6960. [Google Scholar] [CrossRef]
- Park, W.; Namgoong, G.; Choi, E.; Lee, B.; Park, H.; Ma, H.; Bien, F. A 94% Peak Efficiency Dual Mode Buck Converter with Fully Integrated On-time-based Mode Control for Implantable Medical Devices. IEEE Trans. Circuits Syst. II Express Briefs 2022, 1. [Google Scholar] [CrossRef]

















| [26] | [27] | [16] | [9] | [28] | This Work | |
|---|---|---|---|---|---|---|
| Technology (um) | 0.18 | 0.13 | 0.18 | 0.18 | 0.18 | 0.18 |
| Switching freq. (MHz) | 1.65 | 2.5 | 7.4 | 4 | 1.7 | 1.65 |
| Input Voltage (V) | 0.55–1 | 2.2–3.3 | 2.0–3.3 | 2.7–4.7 | 2.2–5.0 | 0.8–5.0 |
| Onput Voltage (V) | 0.35–0.5 | 1.7 | 1.2 | 1.6 | 1.8 | 5.0 |
| Mode | PWM/PFM/ AM 1 | PWM/PFM/ SSCG 2 | MSPWM 3/ PFM/PWM | PWM/PFM/DGM | On–time–based | PCMC–PFM/PCMC–PWM/DGM |
| Load current (mA) | 0.1–20 | 0.01–20 | 200 | 0.001–100 | 0.2–100 | 5–300 |
| Peak efficiency (%) | 92 | 92.4 | 91 | 92.1 | 94 | 94.7 |
| Die Area (mm2) | 1.2 × 1.2 | 0.82 × 0.8 | 0.97 × 0.88 | 1.0 × 0.55 | 1.35 × 1.2 | 1.24 × 0.78 |
| Inductor (uH) | 4.7 | 3.0 | 1 | 4.7 | 4.7 | 2.2 |
| Capacitor (uF) | – | 3.0 | 2.2 | 4.7 | 1 | 20 |
Publisher’s Note: MDPI stays neutral with regard to jurisdictional claims in published maps and institutional affiliations. |
© 2022 by the authors. Licensee MDPI, Basel, Switzerland. This article is an open access article distributed under the terms and conditions of the Creative Commons Attribution (CC BY) license (https://creativecommons.org/licenses/by/4.0/).
Share and Cite
Li, T.; Gan, Y. Hybrid Modulated DCDC Boost Converter for Wearable Devices. Electronics 2022, 11, 3418. https://doi.org/10.3390/electronics11203418
Li T, Gan Y. Hybrid Modulated DCDC Boost Converter for Wearable Devices. Electronics. 2022; 11(20):3418. https://doi.org/10.3390/electronics11203418
Chicago/Turabian StyleLi, Tong, and Yebing Gan. 2022. "Hybrid Modulated DCDC Boost Converter for Wearable Devices" Electronics 11, no. 20: 3418. https://doi.org/10.3390/electronics11203418
APA StyleLi, T., & Gan, Y. (2022). Hybrid Modulated DCDC Boost Converter for Wearable Devices. Electronics, 11(20), 3418. https://doi.org/10.3390/electronics11203418
