A Sparse Design for Aperture-Level Simultaneous Transmit and Receive Arrays
Abstract
1. Introduction
2. System Model
2.1. ALSTAR Architecture
2.2. Sparse Arrays Design for ALSTAR
- Initializing a binary population that satisfies a certain sparsity rate.
- The fitness of each individual in this population is calculated to determine whether the termination criterion is met, if the termination criterion is met, the operation is stopped and the optimal EII and individual are output as the optimization results.
- If the termination criterion is not met, genetic operations of selection, crossover and mutation are performed on individuals in the population to ensure that the sparsity rate of each individual in the newly generated population remains unchanged.
- For the evolved offspring population, the termination criterion is determined again, and the cycle continues until the termination condition is reached.
3. Experimental Results
3.1. Phased Arrays Design
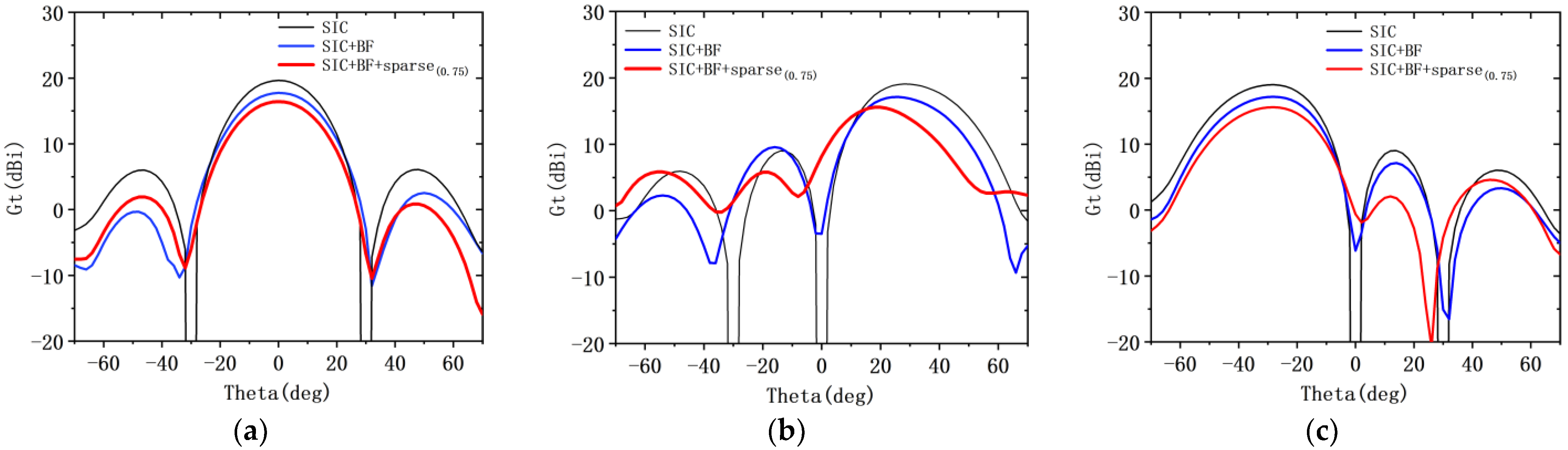
3.2. Performance Analyze with Sparse ALSTAR Arrays
4. Conclusions
Author Contributions
Funding
Conflicts of Interest
References
- Bliss, D.W.; Parker, P.A.; Margetts, A.R. Simultaneous Transmission and Reception for Improved Wireless Network Performance. In Proceedings of the 2007 IEEE/SP 14th Workshop on Statistical Signal Processing, Madison, WI, USA, 6–29 August 2007; pp. 478–482. [Google Scholar]
- Damith Liyanaarachchi, S.; Baquero Barneto, C.; Riihonen, T.; Heino, M.; Valkama, M. Joint Multi-User Communication and MIMO Radar Through Full-Duplex Hybrid Beamforming. In Proceedings of the 2021 1st IEEE International Online Symposium on Joint Communications & Sensing (JC&S), Dresden, Germany, 23–24 February 2021; pp. 1–5. [Google Scholar]
- Sharma, S.K.; Bogale, T.E.; Le, L.B.; Chatzinotas, S.; Wang, X.; Ottersten, B. Dynamic Spectrum Sharing in 5G Wireless Networks with Full-Duplex Technology: Recent Advances and Research Challenges. IEEE Commun. Surv. Tutor. 2017, 20, 674–707. [Google Scholar] [CrossRef]
- Riihonen, T.; Turunen, M.; Parlin, K.; Heino, M.; Marin, J.; Korpi, D. Full-Duplex Operation for Electronic Protection by Detecting Communication Jamming at Transmitter. In Proceedings of the 2020 IEEE 31st Annual International Symposium on Personal, Indoor and Mobile Radio Communications, London, UK, August 31–September 3 2020; pp. 1–5. [Google Scholar]
- Xie, M.; Wei, X.; Tang, Y.; Hu, D. A Robust Design for Aperture-Level Simultaneous Transmit and Receive with Digital Phased Array. Sensors 2021, 22, 109. [Google Scholar] [CrossRef] [PubMed]
- Adrat, M.; Keller, R.; Tschauner, M.; Wilden, S.; Le Nir, V.; Riihonen, T.; Pärlin, K. Full-Duplex Radio–Increasing the Spectral Efficiency for Military Applications. In Proceedings of the 2019 International Conference on Military Communications and Information Systems (ICMCIS), Budva, Montenegro, 14–15 May 2019; pp. 1–5. [Google Scholar]
- Riihonen, T.; Korpi, D.; Rantula, O.; Rantanen, H.; Saarelainen, T.; Valkama, M. Inband Full-Duplex Radio Transceivers: A Paradigm Shift in Tactical Communications and Electronic Warfare? IEEE Commun. Mag. 2017, 55, 30–36. [Google Scholar] [CrossRef]
- Everett, E.; Shepard, C.; Zhong, L.; Sabharwal, A. SoftNull: Many-Antenna Full-Duplex Wireless via Digital Beamforming. IEEE Trans. Wirel. Commun. 2016, 15, 8077–8092. [Google Scholar] [CrossRef]
- Qiu, J.; Yao, Y.; Wu, G. Research on aperture-level simultaneous transmit and receive. J. Eng. 2019, 2019, 8006–8008. [Google Scholar] [CrossRef]
- Liang, D.; Xiao, P.; Chen, G.; Ghoraishi, M.; Tafazolli, R. Digital Self-Interference Cancellation for Full-Duplex MIMO Systems. In Proceedings of the 2015 International Wireless Communications and Mobile Computing Conference (IWCMC), Dubrovnik, Croatia, 24–28 August 2015; pp. 403–407. [Google Scholar]
- Zhang, J.; Li, S.; Chang, W.; Jiang, T.; Li, B.; Liang, Z. Study on Full-Duplex Channel Characteristic for Simultaneous Transmit and Receive Used in Phased Array. In Proceedings of the 2019 IEEE International Symposium on Antennas and Propagation and USNC-URSI Radio Science Meeting, Atlanta, GA, USA, 7–12 July 2019; pp. 1495–1496. [Google Scholar]
- Zhang, J.; Chang, W.; Zheng, J. Study on Different Array Allocation for Simultaneous Transmit and Receive Used in Phased Array. In Proceedings of the 2019 IEEE International Symposium on Phased Array System & Technology (PAST), Waltham, MA, USA, 15–18 October 2019; pp. 1–5. [Google Scholar]
- Doane, J.P.; Kolodziej, K.E.; Perry, B.T. Simultaneous Transmit and Receive with Digital Phased Arrays. In Proceedings of the 2016 IEEE International Symposium on Phased Array Systems and Technology (PAST), Waltham, MA, USA, 18–21 October 2016; pp. 1–6. [Google Scholar]
- Cummings, I.T.; Doane, J.P.; Schulz, T.J.; Havens, T.C. Aperture-Level Simultaneous Transmit and Receive with Digital Phased Arrays. IEEE Trans. Signal Process. 2020, 68, 1243–1258. [Google Scholar] [CrossRef]
- Cummings, I.T.; Schulz, T.J.; Havens, T.C.; Doane, J.P. Optimizing the Information-Theoretic Partitioning of Simultaneous Transmit and Receive Phased Arrays. In Proceedings of the 2018 IEEE International Symposium on Antennas and Propagation & USNC/URSI National Radio Science Meeting, Boston, MA, USA, 8–13 July 2018; pp. 565–566. [Google Scholar]
- Cummings, I.T.; Schulz, T.J.; Doane, J.P.; Havens, T.C. An Information-theoretic Approach to Partitioning Simultaneous Transmit and Receive Digital Phased Arrays. In Proceedings of the 2018 IEEE Radar Conference (RadarConf18), Oklahoma City, OK, USA, 23–27 April 2018; pp. 0478–0483. [Google Scholar]
- Liu, Y.; Liu, Q.H.; Nie, Z. Reducing the Number of Elements in Multiple-Pattern Linear Arrays by the Extended Matrix Pencil Methods. IEEE Trans. Antennas Propag. 2013, 62, 652–660. [Google Scholar] [CrossRef]
- Liu, N.; Qu, S.-W. A Novel Optimization Method for Sparse Array with Large Element Spacing. In Proceedings of the 2021 IEEE International Workshop on Electromagnetics: Applications and Student Innovation Competition (iWEM), Guangzhou, China, 7–9 November 2021; pp. 1–2. [Google Scholar]
- He, X.; Alistarh, C.; Podilchak, S.K. Optimal MIMO Sparse Array Design Based on Simulated Annealing Particle Swarm Optimization. In Proceedings of the 2022 16th European Conference on Antennas and Propagation (EuCAP), Madrid, Spain, 27 March–1 April 2022; pp. 1–5. [Google Scholar]
- Lou, M.; Jin, J.; Wang, H.; Xia, L.; Wang, Q.; Yuan, Y. Applying Sparse Array in Massive MIMO Via Convex Optimization. In Proceedings of the 2020 IEEE Asia-Pacific Microwave Conference (APMC), Virtual, 8–11 December 2020; pp. 721–723. [Google Scholar]
- Lou, M.; Jin, J.; Wang, H.; Wu, D.; Xia, L.; Wang, Q.; Yuan, Y.; Wang, J. Performance analysis of sparse array based massive MIMO via joint convex optimization. China Commun. 2022, 19, 88–100. [Google Scholar] [CrossRef]
- Pal, P.; Mondal, D. Adaptive Antenna Array Pattern Synthesis for Suppressed Sidelobe Level and Controlled Null Using Genetic Algorithm. In Proceedings of the International Conference for Convergence for Technology-2014, Pune, India, 6–8 April 2014; pp. 1–6. [Google Scholar] [CrossRef]
- Rajamaki, R.; Chepuri, S.P.; Koivunen, V. Hybrid Beamforming for Active Sensing Using Sparse Arrays. IEEE Trans. Signal Process. 2020, 68, 6402–6417. [Google Scholar] [CrossRef]
- Samaiyar, A.; Son, D.C.; Elmansouri, M.A.; Filipovic, D.S. Simultaneous Transmit and Receive with Shared-Aperture Arrays. In Proceedings of the 2020 International Applied Computational Electromagnetics Society Symposium (ACES), Monterey, CA, USA, 27–31 July 2020; pp. 1–2. [Google Scholar]
- Hu, D.; Wei, X.; Xie, M.; Tang, Y. A Method to Improve the Performance of Arrays for Aperture-Level Simultaneous Transmit and Receive. Int. J. Antennas Propag. 2022, 2022, 1687–5869. [Google Scholar] [CrossRef]







Publisher’s Note: MDPI stays neutral with regard to jurisdictional claims in published maps and institutional affiliations. |
© 2022 by the authors. Licensee MDPI, Basel, Switzerland. This article is an open access article distributed under the terms and conditions of the Creative Commons Attribution (CC BY) license (https://creativecommons.org/licenses/by/4.0/).
Share and Cite
Hu, D.; Wei, X.; Xie, M.; Tang, Y. A Sparse Design for Aperture-Level Simultaneous Transmit and Receive Arrays. Electronics 2022, 11, 3381. https://doi.org/10.3390/electronics11203381
Hu D, Wei X, Xie M, Tang Y. A Sparse Design for Aperture-Level Simultaneous Transmit and Receive Arrays. Electronics. 2022; 11(20):3381. https://doi.org/10.3390/electronics11203381
Chicago/Turabian StyleHu, Dujuan, Xizhang Wei, Mingcong Xie, and Yanqun Tang. 2022. "A Sparse Design for Aperture-Level Simultaneous Transmit and Receive Arrays" Electronics 11, no. 20: 3381. https://doi.org/10.3390/electronics11203381
APA StyleHu, D., Wei, X., Xie, M., & Tang, Y. (2022). A Sparse Design for Aperture-Level Simultaneous Transmit and Receive Arrays. Electronics, 11(20), 3381. https://doi.org/10.3390/electronics11203381

