Coal Thickness Prediction Method Based on VMD and LSTM
Abstract
:1. Introduction
2. Basic Principle of VMD and LSTM for Predicting Coal Thickness
2.1. Basic Principles of VMD
2.1.1. Construction of Variational Problems
2.1.2. Solution of Variational Problem
2.2. Basic Principles of LSTM
- (1)
- Calculate the value of the forget gate:
- (2)
- Calculate the value of the input gate:
- (3)
- Calculate the value of . It is used to describe the unit state of the current input, calculated from the previous output and the current input:
- (4)
- Calculates the cell state at the current time :
- (5)
- Calculate the value of the output gate:
- (6)
- Calculate the current cell output of LSTM:
2.3. Coal Thickness Prediction Process of VMD-LSTM
3. Numerical Calculation
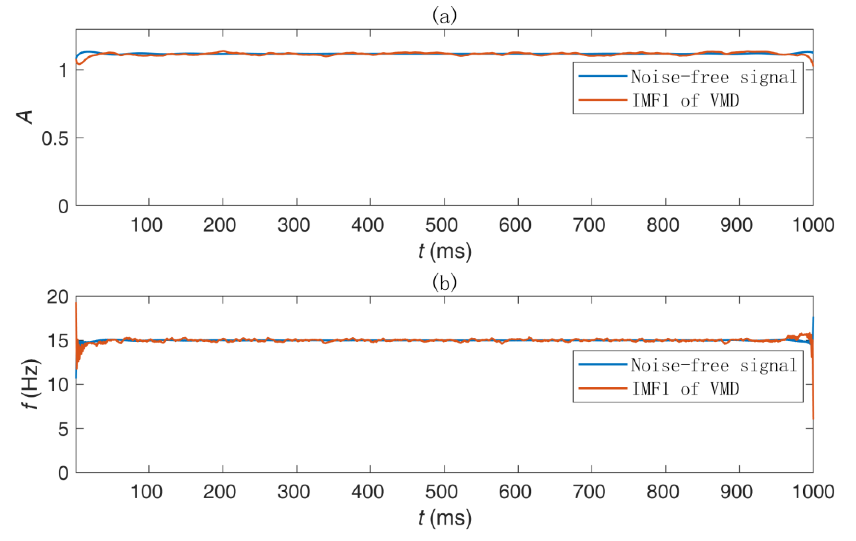
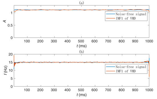
3.1. Simple Signal Test
3.2. VMD Decomposition of Coal Thickness Wedge Model
3.3. Seismic Attributes Analysis of Wedge Model Seismic Records
4. Application of VMD-LSTM Method in Coal Thickness Prediction
4.1. Geological Survey of the Working Area
4.2. Coal Thickness Prediction and Result Analysis
5. Conclusions
- (1)
- EMD and VMD were used to denoise simple signals. There is an obvious mode-aliasing problem in EMD decomposition, which cannot effectively decompose the random noise. VMD can be used in signal denoising, and the denoising effect is good.
- (2)
- It can be seen from the forward simulation of the coal thickness wedge model that there is a good positive correlation between the instantaneous amplitude attribute, the relative wave impedance attribute, and the coal thickness, while the instantaneous frequency attribute has a good negative correlation with the coal thickness, which indicates that the seismic attribute is feasible for coal thickness prediction.
- (3)
- It can be seen from the comparison with traditional BP neural network coal thickness prediction results that the VMD-LSTM method has higher prediction accuracy. The prediction results are in good agreement with the coal seam information exposed by the existing boreholes, which can be used as a new method for coal thickness prediction.
- (4)
- The influence of different seismic attributes on coal thickness prediction needs to be further explored. In the process of using LSTM to predict, different weights can be assigned to each seismic attribute. This will help improve the accuracy of coal thickness prediction. Further in-depth research is needed in the future.
Author Contributions
Funding
Institutional Review Board Statement
Informed Consent Statement
Data Availability Statement
Conflicts of Interest
References
- Sun, Z.W. Numerical simulation of geostress field distribution in local variation area of coal seam thickness. Ground Press. Strata Control 2003, 5, 95–97. [Google Scholar]
- Zhong, Q.T. Research and Application of Coal Seam Thickness Inversion Method. Ph.D. Thesis, China University of Mining and Technology, Xuzhou, China, 2001. [Google Scholar]
- Shang, X.Q.; Yang, H.Y.; Ai, G. Study on the evolution and impact of mining-induced stress in coal thickness variation area. China Min. Mag. 2020, 29, 148–151+157. [Google Scholar]
- Cui, W.X.; Wang, B.L.; Wang, Y.H. High-precision inversion method of coal seam thickness based on transmission channel wave. J. China Coal Soc. 2020, 45, 2482–2490. [Google Scholar]
- Zeng, A.P.; Zhang, J.W.; Ren, E.M.; Liu, T.; Jiang, F.; Liu, X.J.; Jiang, F. Research on coal thickness prediction method based on VMD and SVM. Coal Geol. Explor. 2021, 49, 243–250. [Google Scholar]
- Li, Q.H.; Zhang, C.Z.; Li, K.X. Analysis of influencing factors of mining surface subsidence under huge thick unconsolidated strata. Coal Sci. Technol. 2020, 49, 191–199. [Google Scholar]
- Dong, S.H.; Xu, Y.Z. Inversion of coal seam thickness from seismic data by spectral moment method. J. Liaoning Tech. Univ. 2005, 24, 38–40. [Google Scholar]
- Zou, G.G.; Peng, S.P.; Hao, X.X.; Zhang, J.; Wang, L. The relationship between coal thickness and seismic amplitude is analyzed based on wedge model. Coal Sci. Technol. 2014, 42, 88–91+100. [Google Scholar]
- Guo, Y.X.; Meng, Z.P.; Yang, R.Z.; Zhang, L.H.; Liu, Y.C.; Sun, X.Y.; Zhao, G.P. Seismic attribute and its application to coal seam thickness prediction. J. China Univ. Min. Technol. 2004, 33, 67–72. [Google Scholar]
- Lin, J.D.; Huo, Q.M.; Wu, Y.F. Application of multi-well constrained 3D seismic inversion technique in coal thickness prediction. Coal Geol. China 2003, 15, 47–49. [Google Scholar]
- Yu, S.J.; Wang, Z.S.; Liu, Y.X. Application of wavelet multiscale analysis in coal thickness detection. Coal Geol. Explor. 2005, 33, 73–75. [Google Scholar]
- Du, W.F.; Peng, S.P. Use geostatistics to predict coal seam thickness. Chin. J. Rock Mech. Eng. 2010, 29, 2762–2767. [Google Scholar]
- Cheng, Y. Geological statistics coal thickness prediction method and application analysis. China Min. Mag. 2019, 28, 245–249. [Google Scholar]
- Liu, Z.L.; Wang, J. Periods of refracted P-waves in coal seams and their applications in coal thickness estimations. Acta Geophys. 2020, 68, 1753–1762. [Google Scholar] [CrossRef]
- Brosig, A.; Knobloch, A.; Barth, A.; Legler, C.; Hielscher, P.; Noack, S.; Etzold, S.; Dickmayer, E.; Kaufmann, H.; Franke, D. Mineral predictive mapping in 2D, 2.5D and 3D using Artificial Neural Networks—Case study of Sn and W deposits in the Erzgebirge, Germany. Miner. Prospect. Curr. Approaches Future Innov. Orléans 2017, 1, 24–26. [Google Scholar]
- Noack, S.; Barth, A.; Irkhin, A.; Bennewitz, E.; Schmidt, F. Spatial modeling of natural phenomena and events with Artificial Neural Networks and GIS. Int. J. Appl. Geospat. Res. 2012, 3, 1–20. [Google Scholar] [CrossRef] [Green Version]
- Sun, Y.; Zhang, L.; Zhu, J.; Xue, T.; Ding, J. Application of seismic attribute parameters in coal seam thickness prediction. Coal Geol. Explor. 2008, 36, 58–60. [Google Scholar]
- Wu, W.W.; Yang, Y.G.; Chen, Y.K. Prediction of coal thickness Change by Kriging Method based on LSSVM Optimization. Coal Technol. 2015, 34, 89–91. [Google Scholar]
- Guo, C.F.; Zhen, Y.; Shuai, C.; Ren, T.; Yao, W.L. Precise Identification of Coal Thickness by Channel Wave Based on a Hybrid Algorithm. Appl. Sci. 2019, 9, 1493. [Google Scholar] [CrossRef] [Green Version]
- Dragomiretskiy, K.; Zosso, D. Variational mode decomposition. IEEE Trans. Signal Process 2014, 62, 531–544. [Google Scholar] [CrossRef]
- Hochreiter, S.; Schmidhuber, J. Long short-term memory. Neural Comput. 1997, 9, 1735–1780. [Google Scholar] [CrossRef]
- Huang, N.E.; Shen, Z.; Long, S.R.; Wu, M.C.; Shih, H.H.; Zheng, Q.; Yen, N.C.; Tung, C.C.; Liu, H.H. The empirical mode decomposition and the Hilbert spectrum for nonlinear and non-stationary time series analysis. Proc. R. Soc. 1998, 454, 903–995. [Google Scholar] [CrossRef]
- Lian, J.; Liu, Z.; Wang, H.; Dong, X. Adaptive variational mode decomposition method for signal processing based on mode characteristic. Mech. Syst. Signal Process. 2018, 107, 53–77. [Google Scholar] [CrossRef]
- Hochreiter, S.; Yoshua, B.; Paolo, F.; Schmidhuber, J. Gradient flow in recurrent nets: The difficulty of learning long-term dependencies. In A Field Guide To Dynamical Recurrent Neural Networks; IEEE Press: Piscataway Township, NJ, USA, 2001. [Google Scholar]
- Sherstinsky, A. Fundamentals of Recurrent Neural Network (RNN) and Long Short-Term Memory (LSTM) Network. Phys. D Nonlinear Phenom. 2020, 404, 1–45. [Google Scholar] [CrossRef] [Green Version]
- Cao, C.F. Research and Application of Coal Mine Floor Water Inrush Warning Model Based on LSTM. Master’s Thesis, Xi’an University of Architecture and Technology, Xi’an, China, 2017. [Google Scholar]














Publisher’s Note: MDPI stays neutral with regard to jurisdictional claims in published maps and institutional affiliations. |
© 2022 by the authors. Licensee MDPI, Basel, Switzerland. This article is an open access article distributed under the terms and conditions of the Creative Commons Attribution (CC BY) license (https://creativecommons.org/licenses/by/4.0/).
Share and Cite
Huang, Y.; Yan, L.; Cheng, Y.; Qi, X.; Li, Z. Coal Thickness Prediction Method Based on VMD and LSTM. Electronics 2022, 11, 232. https://doi.org/10.3390/electronics11020232
Huang Y, Yan L, Cheng Y, Qi X, Li Z. Coal Thickness Prediction Method Based on VMD and LSTM. Electronics. 2022; 11(2):232. https://doi.org/10.3390/electronics11020232
Chicago/Turabian StyleHuang, Yaping, Lei Yan, Yan Cheng, Xuemei Qi, and Zhixiong Li. 2022. "Coal Thickness Prediction Method Based on VMD and LSTM" Electronics 11, no. 2: 232. https://doi.org/10.3390/electronics11020232
APA StyleHuang, Y., Yan, L., Cheng, Y., Qi, X., & Li, Z. (2022). Coal Thickness Prediction Method Based on VMD and LSTM. Electronics, 11(2), 232. https://doi.org/10.3390/electronics11020232

