A Performance-Oriented Optimization Framework Combining Meta-Heuristics and Entropy-Weighted TOPSIS for Multi-Objective Sustainable Supply Chain Network Design
Abstract
1. Introduction
2. Literature Review
2.1. Supply Chain Network Optimization
2.2. Supply Chain Performance Evaluation
2.3. Integrating of Network Optimization and Performance Evaluation
3. Model Formulation
3.1. Problem Description
3.2. Model Symbols
| Index of manufacturing centers, | |
| Index of distribution centers, | |
| Index of customers, | |
| Index of recycling centers, | |
| Index of disposal centers, | |
| Index of disposal centers, |
| Price of product from manufacturing | |
| Price of product from recycling center | |
| Transportation cost of product per unit weight from manufacturing center to distribution center by transportation mode | |
| Transportation cost of product per unit weight from distribution center to customer by transportation mode | |
| Transportation cost of product per unit weight from customer to recycling center by transportation mode | |
| Transportation cost of product per unit weight from recycling center to customer by transportation mode | |
| Transportation cost of product per unit weight from recycling center to disposal center by transportation mode | |
| Inventory holding cost of unit product in manufacturing center | |
| Inventory holding cost of unit product in distribution center | |
| Inventory holding cost of unit product in recycling center | |
| Inventory holding cost of unit product in disposal center | |
| Processing cost of unit product in manufacturing center | |
| Processing cost of unit product in distribution center | |
| Processing cost of unit product in recycling center | |
| Processing cost of unit product in disposal center | |
| Recycling price of the product in customer | |
| Unit transportation pollution emission from manufacturing center to distribution center by transportation mode | |
| Unit transportation pollution emission from distribution center to customer by transportation mode | |
| Unit transportation pollution emission from customer to recycling center by transportation mode | |
| Unit transportation pollution emission from recycling center to customer by transportation mode | |
| Unit transportation pollution emission from recycling center to disposal center by transportation mode | |
| Unit processing pollution emission in manufacturing center | |
| Unit processing pollution emission in distribution center | |
| Unit processing pollution emission in recycling center | |
| Unit processing pollution emission in disposal center | |
| Unit holding pollution emission in manufacturing center | |
| Unit holding pollution emission in distribution center | |
| Unit holding pollution emission in recycling center | |
| Unit holding pollution emission in disposal center | |
| Fixed job opportunity for manufacturing center | |
| Fixed job opportunity for distribution center | |
| Fixed job opportunity for recycling center | |
| Fixed job opportunity for disposal center | |
| Variable job opportunity for manufacturing center | |
| Variable job opportunity for distribution center | |
| Variable job opportunity for recycling center | |
| Variable job opportunity for disposal center | |
| Fixed lost working days because of work damages in manufacturing center | |
| Fixed lost working days because of work damages in distribution center | |
| Fixed lost working days because of work damages in recycling center | |
| Fixed lost working days because of work damages in disposal center | |
| Variable lost working days because of work damages in manufacturing center | |
| Variable lost working days because of work damages in distribution center | |
| Variable lost working days because of work damages in recycling center | |
| Variable lost working days because of work damages in disposal center | |
| Processing capacity of manufacturing center | |
| Processing capacity of recycling center | |
| Processing capacity of disposal center | |
| Holding capacity of distribution center | |
| Holding capacity of recycling center | |
| Capacity of transportation mode | |
| Product demand of customer | |
| The weight of product |
| Number of products transited from manufacturing center to distribution center by transportation mode | |
| Number of products transited from distribution center to customer by transportation mode | |
| Number of products transited from customer to recycling center by transportation mode | |
| Number of products transited from recycling center to customer by transportation mode | |
| Number of products transited from recycling center to disposal center by transportation mode | |
3.3. Model Formulation
3.3.1. Economic Objective Function
3.3.2. Environmental Objective Function
3.3.3. Social Objective Function
3.3.4. Constraints
4. Performance-Oriented Optimization Framework
4.1. The Basic Framework
4.2. Performance Sorting Strategy
4.2.1. Standardization and Normalization
4.2.2. Indicators Weight
4.2.3. The Weighted Decision Matrix
4.2.4. The Ideal Solution
4.2.5. The Relative Distance Calculation
4.2.6. Performance Evaluation Value
4.3. Optimization Solution Strategy
4.3.1. Fast and Elitist Non-Dominated Sorting Genetic Algorithm (NSGA-II)
4.3.2. Multi-Objective Differential Evolution Algorithm (MODE)
4.3.3. Multi-Objective Particle Swarm Optimization (MOPSO) Algorithm
4.3.4. Multi-Objective Grey Wolf Optimization (MOGWO) Algorithm
- (1)
- Encircling
- (2)
- Hunting
5. Numerical Case
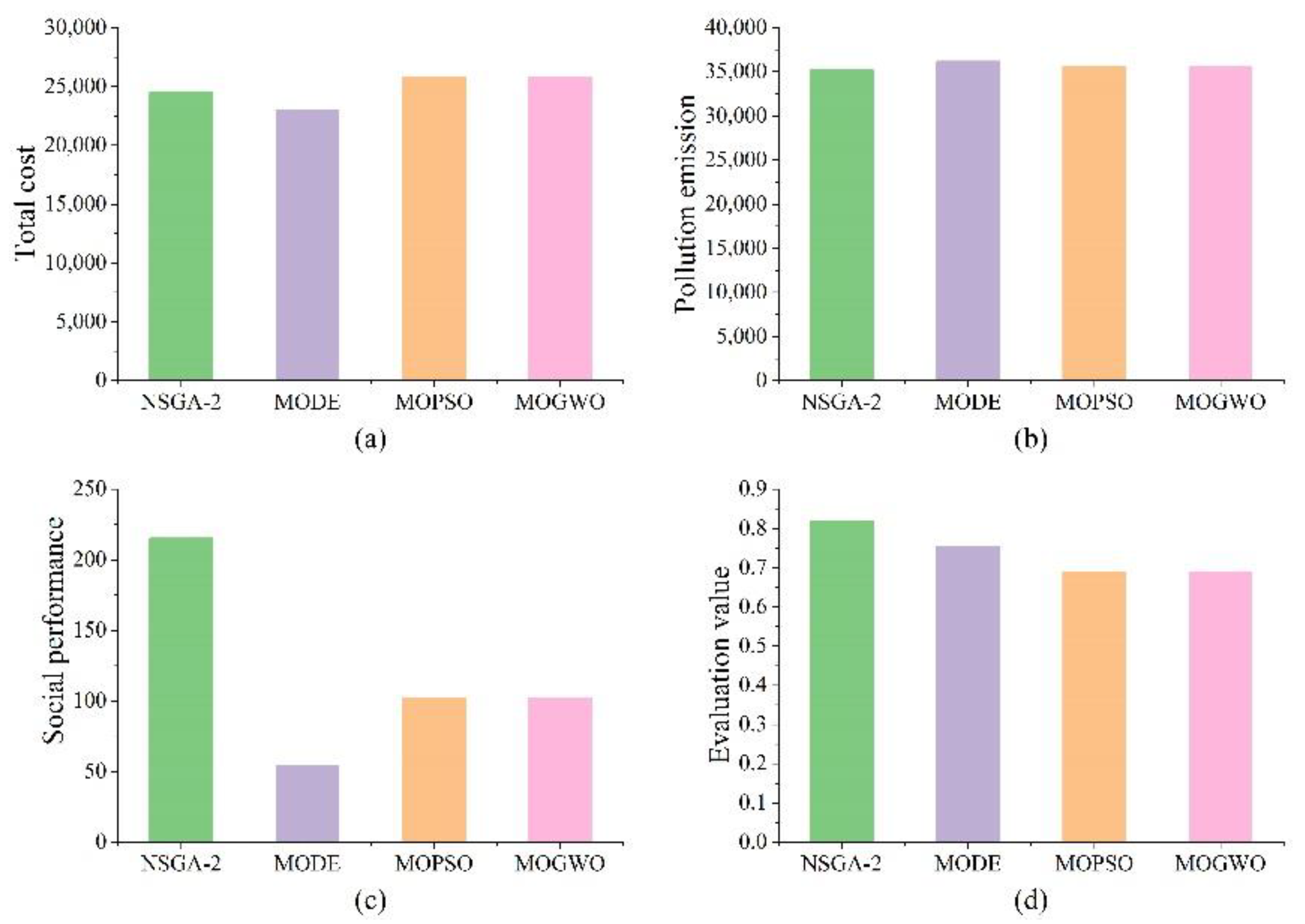
5.1. Results Analyses
5.2. Sensitivity Analyses
5.2.1. Effect of Performance Sorting Strategy on Meta-Heuristic Algorithms
5.2.2. Effect of Indicator Dimension on Sustainability Performance
5.3. Managerial Insights
- This article proposed a MOMIP model to address the problem of SSCN optimization and design, which provides managers with a good perspective to manage the supply chain and improve sustainability performance. The proposed model can assist managers in decision-making on the transportation mode selection, facilities location, suppliers selection and the flow of products.
- The triple bottom line of the SCC is utilized to determine optimization objectives and select the appropriate evaluation indicators in the proposed model and the solution method. The proposed model and method help supply chain managers achieve better sustainable performance. The results analyses prove that considering sustainability based on the triple bottom line can achieve greater sustainable performance than only considering a single dimension.
- The proposed performance-oriented optimization framework can provide managers with a special optimal scheme with the best sustainable performance. On the one hand, meta-heuristic algorithms are proposed to deal with the optimization problem in this framework. Because SSCN optimization is a complex optimization problem, meta-heuristic algorithms are effective and realizable in solving this kind of problem. On the other hand, entropy-weighted TOPSIS weights each sustainable indicator and sorts the feasible schemes. The entropy weight method can effectively avoid the influence of artificial factors and calculate the objective weights. Furthermore, the selected evaluation indicators should be quantitative and can comprehensively embody the sustainability performance of the supply chain.
6. Conclusions
- Supply chain managers can obtain the feasible Pareto optimal solution set of the optimization model with the performance-oriented optimization framework. The sustainability performance of these solutions can be evaluated and sorted so as to determine the optimal solution in this framework.
- This framework can use the entropy weight method to obtain the objective weight of each performance evaluation indicator.
- The performance evaluation method can guide the evolution process of algorithms so as to make the population migrate to the individual with the greatest sustainability performance.
- This framework can flexibly combine a variety of optimization algorithms and multi-criteria decision-making methods.
Author Contributions
Funding
Data Availability Statement
Acknowledgments
Conflicts of Interest
References
- Rivera-Collazo, I. Environment, climate and people: Exploring human responses to climate change. J. Anthropol. Archaeol. 2022, 68, 101460. [Google Scholar] [CrossRef]
- Elkington, J. Partnerships from cannibals with forks: The triple bottom line of 21st-century business. Environ. Qual. Manag. 2007, 8, 37–51. [Google Scholar] [CrossRef]
- Ahmad, N.; Smajić, H.; Palalic, R.; Al-Riyami, S. Sustainability management research in the Arab world: A citation-based systematic literature review. Manag. Sustain. Arab Rev. 2022, 1, 14–37. [Google Scholar] [CrossRef]
- Sun, Y.; Shahzad, M.; Razzaq, A. Sustainable organizational performance through blockchain technology adoption and knowledge management in China. J. Innov. Knowl. 2022, 7, 100247. [Google Scholar] [CrossRef]
- Bartos, K.E.; Schwarzkopf, J.; Mueller, M.; Hofmann-Stoelting, C. Explanatory factors for variation in supplier sustainability performance in the automotive sector—A quantitative analysis. Clean. Logist. Supply Chain 2022, 5, 100068. [Google Scholar] [CrossRef]
- Jahani Sayyad Noveiri, M.; Kordrostami, S.; Wu, J.; Amirteimoori, A. Supply chains performance with undesirable factors and reverse flows: A DEA-based approach. J. Oper. Res. Soc. 2019, 70, 125–135. [Google Scholar] [CrossRef]
- Jia, F.; Zuluaga-Cardona, L.; Bailey, A.; Rueda, X. Sustainable supply chain management in developing countries: An analysis of the literature. J. Clean. Prod. 2018, 189, 263–278. [Google Scholar] [CrossRef]
- Carter, C.R.; Easton, P.L. Sustainable supply chain management: Evolution and future directions. Int. J. Phys. Distrib. Logist. Manag. 2011, 41, 46–62. [Google Scholar] [CrossRef]
- Ghadimi, P.; Wang, C.; Lim, M.K. Sustainable supply chain modeling and analysis: Past debate, present problems and future challenges. Resour. Conserv. Recycl. 2019, 140, 72–84. [Google Scholar] [CrossRef]
- Neely, A.; Gregory, M.; Platts, K. Performance measurement system design: A literature review and research agenda. Int. J. Oper. Prod. Manag. 1995, 15, 80–116. [Google Scholar] [CrossRef]
- Ahi, P.; Searcy, C. An analysis of metrics used to measure performance in green and sustainable supply chains. J. Clean. Prod. 2015, 86, 360–377. [Google Scholar] [CrossRef]
- Wang, Y.; Shi, Q.; Hu, Q.W.; You, Z.F.; Bai, Y.S.; Guo, C.M. An efficiency sorting multi-objective optimization framework for sustainable supply network optimization and decision making. J. Clean. Prod. 2020, 272, 122842. [Google Scholar] [CrossRef]
- Badiezadeh, T.; Saen, R.F.; Samavati, T. Assessing sustainability of supply chains by double frontier network DEA: A big data approach. Comput. Oper. Res. 2018, 98, 284–290. [Google Scholar] [CrossRef]
- Wang, H.; Pan, C.; Wang, Q.W.; Zhou, P. Assessing sustainability performance of global supply chains: An input-output modeling approach. Eur. J. Oper. Res. 2020, 285, 393–404. [Google Scholar] [CrossRef]
- Mandal, P.; Mondal, S.C. Multi-objective optimization of Cu-MWCNT composite electrode in electro discharge machining using MOPSO-TOPSIS. Measurement 2021, 169, 108347. [Google Scholar] [CrossRef]
- Nayeri, S.; Paydar, M.M.; Asadi-Gangraj, E.; Emami, S. Multi-objective fuzzy robust optimization approach to sustainable closed-loop supply chain network design. Comput. Ind. Eng. 2020, 148, 106716. [Google Scholar] [CrossRef]
- Nayeri, S.; Torabi, S.A.; Tavakoli, M.; Sazvar, Z. A multi-objective fuzzy robust stochastic model for designing a sustainable-resilient-responsive supply chain network. J. Clean. Prod. 2021, 311, 127691. [Google Scholar] [CrossRef]
- Zhang, X.; Zhao, G.; Qi, Y.X.; Li, B.T. A Robust Fuzzy Optimization Model for Closed-Loop Supply Chain Networks Considering Sustainability. Sustainability 2019, 11, 5726. [Google Scholar] [CrossRef]
- Pourmehdi, M.; Paydar, M.M.; Asadi-Gangraj, E. Scenario-based design of a steel sustainable closed-loop supply chain network considering production technology. J. Clean. Prod. 2020, 277, 123298. [Google Scholar] [CrossRef]
- Soleimani, H.; Govindan, K.; Saghafi, H.; Jafari, H. Fuzzy Multi-Objective Sustainable and Green Closed-Loop Supply Chain Network Design. Comput. Ind. Eng. 2017, 109, 191–203. [Google Scholar] [CrossRef]
- Abad, A.R.K.K.; Pasandideh, S.H.R. Green closed-loop supply chain network design: A novel bi-objective chance-constraint approach. RAIRO-Oper. Res. 2021, 55, 811–840. [Google Scholar] [CrossRef]
- Fazli-Khalaf, M.; Mirzazadeh, A.; Pishvaee, M.S. A robust fuzzy stochastic programming model for the design of a reliable green closed-loop supply chain network. Hum. Ecol. Risk Assess. Int. J. 2017, 8, 2119–2149. [Google Scholar] [CrossRef]
- Li, J.; Fang, H.; Song, W.Y. Sustainable supplier selection based on SSCM practices: A rough cloud TOPSIS approach. J. Clean. Prod. 2019, 222, 606–621. [Google Scholar] [CrossRef]
- Cherier, M.A.; Meliani, S.M. Supplier selection on agrifood supply chain: A Delphi-AHP-TOPSIS methodology. Int. J. Knowl. Eng. Data Min. 2019, 6, 307–330. [Google Scholar] [CrossRef]
- Dyckhoff, H.; Souren, R. Integrating multiple criteria decision analysis and production theory for performance evaluation: Framework and review. Eur. J. Oper. Res. 2022, 297, 795–816. [Google Scholar] [CrossRef]
- Marzouk, M.; Sabbah, M. AHP-TOPSIS social sustainability approach for selecting supplier in construction supply chain. Clean. Environ. Syst. 2021, 2, 100034. [Google Scholar] [CrossRef]
- Erol, I.; Sencer, S.; Sari, R. A new fuzzy multi-criteria framework for measuring sustainability performance of a supply chain. Ecol. Econ. 2011, 70, 1088–1100. [Google Scholar] [CrossRef]
- Tavassoli, M.; Fathi, A.; Saen, R.F. Assessing the sustainable supply chains of tomato paste by fuzzy double frontier network DEA model. Ann. Oper. Res. 2021. [Google Scholar] [CrossRef]
- Sun, L.Y.; Miao, C.L.; Yang, L. Ecological-economic efficiency evaluation of green technology innovation in strategic emerging industries based on entropy weighted TOPSIS method. Ecol. Indic. 2017, 73, 554–558. [Google Scholar] [CrossRef]
- Venkatesh, V.G.; Zhang, A.; Deakins, E.; Luthra, S.; Mangla, S. A fuzzy AHP-TOPSIS approach to supply partner selection in continuous aid humanitarian supply chains. Ann. Oper. Res. 2019, 283, 1517–1550. [Google Scholar] [CrossRef]
- Jellali, A.; Hachicha, W.; Aljuaid, A.M. Sustainable Configuration of the Tunisian Olive Oil Supply Chain Using a Fuzzy TOPSIS-Based Approach. Sustainability 2021, 13, 722. [Google Scholar] [CrossRef]
- Basilio, M.P.; Pereira, V.; Costa, H.G.; Ghosh, A. A Systematic Review of the Applications of Multi-Criteria Decision Aid Methods (1977–2022). Electronics 2022, 11, 1720. [Google Scholar] [CrossRef]
- Validi, S.; Bhattacharya, A.; Byrne, P.J. A case analysis of a sustainable food supply chain distribution system—A multi-objective approach. Int. J. Prod. Econ. 2014, 152, 71–87. [Google Scholar] [CrossRef]
- Lahri, V.; Shaw, K.; Ishizaka, A. Sustainable supply chain network design problem: Using the integrated BWM, TOPSIS, possibilistic programming, and ε-constrained methods. Expert Syst. Appl. 2021, 168, 114373. [Google Scholar] [CrossRef]
- Moheb-Alizadeh, A.; Handfield, R.; Warsing, D. Efficient and sustainable closed-loop supply chain network design: A two-stage stochastic formulation with a hybrid solution methodology. J. Clean. Prod. 2021, 308, 127323. [Google Scholar] [CrossRef]
- Goodarzian, F.; Hosseini-Nasab, H.; Muñuzuri, J.; Fakhrzad, M. A multi-objective pharmaceutical supply chain network based on a robust fuzzy model: A comparison of meta-heuristics. Appl. Soft Comput. 2020, 92, 106331. [Google Scholar] [CrossRef]
- Tsao, Y.; Nugraha Ridhwan Amir, E.; Thanh, V.; Dachyar, M. Designing an eco-efficient supply chain network considering carbon trade and trade-credit: A robust fuzzy optimization approach. Comput. Ind. Eng. 2021, 160, 107595. [Google Scholar] [CrossRef]
- Rothenberg, S.; Pil, F.; & Maxwell, J. Lean, green, and the quest for superior environmental performance. Prod. Oper. Manag. 2001, 10, 228–243. [Google Scholar] [CrossRef]
- Cruz, J.M. Dynamics of supply chain networks with corporate social responsibility through integrated environmental decision-making. Eur. J. Oper. Res. 2008, 184, 1005–1031. [Google Scholar] [CrossRef]
- Pishvaee, M.S.; Razmi, J. Environmental supply chain network design using multi-objective fuzzy mathematical programming. Appl. Math. Model. 2012, 36, 3433–3446. [Google Scholar] [CrossRef]
- Deb, K.; Pratap, A.; Agarwal, S.; Meyarivan, T. A fast and elitist multiobjective genetic algorithm: NSGA-II. IEEE Trans. Evol. Comput. 2002, 6, 182–197. [Google Scholar] [CrossRef]










| Crowding Distance Sorting Strategy |
|---|
| of all the individuals to zero, |
| for is the number of fitness functions. |
|
| Set the infinite distance to each individual. |
| is the size of the population |
|
| end for |
| end for |
| Parameter | Value | Parameter | Value |
|---|---|---|---|
| [50, 60] | [45, 48] | ||
| Unif(5, 10) | Unif(15, 20) | ||
| Unif(5, 10) | Unif(20, 25) | ||
| Unif(5, 10) | Unif(5, 10) | ||
| Unif(5, 10) | Unif(150, 200) | ||
| Unif(150, 200) | Unif(15, 25) | ||
| Unif(15, 25) | Unif(8000, 9000) | ||
| Unif(8000, 9000) | Unif(1000, 2000) | ||
| Unif(70, 80) | 5 |
| Algorithms | NSGA-2 | MODE | MOPSO | MOGWO |
|---|---|---|---|---|
| Population size | 500 | 500 | 500 | 500 |
| Maximum iterations | 1000 | 1000 | 1000 | 1000 |
| Mutation rate | 0.9 | 0.9 | ||
| Crossover rate | 0.8 | 0.8 | ||
| Archive size | 200 | 200 | ||
| Inertia weight | 0.7299 | |||
| Cognitive and social coefficient | 1.4962 | |||
| Leader Selection Pressure Parameter | 4 | |||
| Number of Grids per each Dimension | 10 | |||
| Grid Inflation Parameter | 0.1 | |||
| Extra Repository Member Selection Pressure | 2 |
| DMU | Minimum Indicators | Maximum Indicators | Evaluation Value | ||||||||
|---|---|---|---|---|---|---|---|---|---|---|---|
| Transportation Cost | Inventory Cost | Processing Cost | Recycling Cost | Transportation Emission | Holding Emission | Processing Emission | Lost Working Days | Revenue | Job Opportunities | ||
| Indicators Weight | |||||||||||
| 0.11 | 0.06 | 0.13 | 0.09 | 0.06 | 0.16 | 0.07 | 0.13 | 0.05 | 0.14 | ||
| 1 | 14,724.73 | 29,898.52 | 13,837.40 | 10,749.65 | 14,344.75 | 13,887.65 | 11,485.77 | 161.20 | 39,677.62 | 1487.51 | 0.8865 |
| 2 | 14,361.68 | 28,563.62 | 13,763.66 | 10,205.04 | 14,589.06 | 12,653.68 | 10,927.86 | 159.74 | 39,677.62 | 1421.82 | 0.5949 |
| 3 | 13,932.28 | 28,527.10 | 14,455.33 | 10,423.81 | 13,797.14 | 11,799.13 | 11,221.76 | 176.82 | 39,677.69 | 1634.16 | 0.5546 |
| 4 | 14,656.03 | 28,003.41 | 13,366.75 | 11,399.21 | 14,310.72 | 12,323.26 | 11,480.53 | 185.17 | 39,677.69 | 1634.27 | 0.5472 |
| 5 | 14,070.74 | 28,816.63 | 13,393.86 | 10,778.25 | 14,435.16 | 12,385.55 | 10,343.62 | 170.97 | 39,677.64 | 1454.93 | 0.5225 |
| 6 | 14,059.53 | 26,451.98 | 14,325.75 | 10,859.70 | 14,150.35 | 11,902.80 | 11,154.19 | 167.00 | 39,677.63 | 1404.28 | 0.5212 |
| 7 | 14,344.86 | 29,566.65 | 12,141.93 | 10,735.51 | 14,205.79 | 12,441.38 | 10,552.93 | 165.59 | 39,677.62 | 1469.18 | 0.4130 |
| 8 | 14,677.20 | 28,801.65 | 12,320.07 | 11,075.90 | 14,489.32 | 11,909.75 | 11,259.94 | 177.86 | 39,677.69 | 1625.41 | 0.3990 |
| 9 | 14,600.93 | 29,315.84 | 12,139.80 | 10,883.61 | 14,246.32 | 12,128.20 | 11,086.38 | 168.38 | 39,677.52 | 1478.81 | 0.3987 |
| 10 | 14,199.48 | 27,639.80 | 12,051.31 | 11,176.67 | 14,542.70 | 12,302.48 | 12,132.20 | 168.00 | 39,677.65 | 1475.56 | 0.3852 |
| 11 | 14,797.54 | 29,774.89 | 11,401.13 | 11,027.97 | 14,102.98 | 12,540.79 | 10,495.07 | 162.38 | 39,677.61 | 1538.99 | 0.3768 |
| 12 | 14,890.58 | 30,405.61 | 10,849.30 | 11,184.85 | 14,095.77 | 12,092.77 | 10,879.46 | 170.19 | 39,677.62 | 1424.98 | 0.3466 |
| 13 | 14,581.27 | 27,850.74 | 11,811.93 | 10,521.09 | 14,521.72 | 12,634.31 | 10,344.06 | 175.28 | 39,677.69 | 1597.48 | 0.3368 |
| 14 | 15,206.74 | 28,856.92 | 10,919.89 | 10,581.38 | 14,406.65 | 12,540.09 | 10,515.66 | 182.81 | 39,677.69 | 1610.47 | 0.3221 |
| 15 | 14,347.65 | 28,837.43 | 12,218.86 | 10,373.78 | 14,366.42 | 11,736.28 | 9696.27 | 177.63 | 39,677.69 | 1585.83 | 0.3173 |
| DMU | Minimum Indicators | Maximum Indicators | Evaluation Value | ||||||||
|---|---|---|---|---|---|---|---|---|---|---|---|
| Transportation Cost | Inventory Cost | Processing Cost | Recycling Cost | Transportation Emission | Holding Emission | Processing Emission | Lost Working Days | Revenue | Job Opportunities | ||
| Indicators Weight | |||||||||||
| 0.09 | 0.12 | 0.09 | 0.09 | 0.10 | 0.08 | 0.11 | 0.12 | 0.09 | 0.11 | ||
| 1 | 13,939.98 | 28,989.29 | 12,762.36 | 11,064.01 | 14,135.09 | 12,837.14 | 10,049.19 | 188.97 | 38,453.00 | 1796.97 | 0.7535 |
| 2 | 14,196.11 | 28,636.41 | 12,955.28 | 11,541.15 | 14,881.02 | 11,089.41 | 9848.86 | 209.27 | 38,394.00 | 1575.75 | 0.5872 |
| 3 | 13,742.01 | 28,144.53 | 11,938.37 | 10,825.11 | 13,708.81 | 11,280.24 | 10,746.18 | 215.47 | 38,208.00 | 1856.64 | 0.5275 |
| 4 | 13,558.88 | 26,889.80 | 11,865.69 | 10,482.14 | 13,740.00 | 13,165.77 | 11,957.38 | 149.89 | 38,039.00 | 1370.14 | 0.3393 |
| 5 | 13,855.49 | 27,587.60 | 12,579.15 | 9943.16 | 12,700.14 | 11,537.24 | 10,189.36 | 153.49 | 37,663.00 | 1427.07 | 0.7070 |
| 6 | 13,795.81 | 26,653.46 | 12,709.03 | 10,586.51 | 13,331.72 | 11,544.01 | 9935.29 | 196.39 | 37,105.00 | 1793.63 | 0.6445 |
| 7 | 13,909.61 | 27,631.68 | 11,426.34 | 10,717.19 | 13,397.26 | 9784.08 | 9191.08 | 207.11 | 37,576.00 | 1869.41 | 0.3504 |
| DMU | Minimum Indicators | Maximum Indicators | Evaluative Value | ||||||||
|---|---|---|---|---|---|---|---|---|---|---|---|
| Transportation Cost | Inventory Cost | Processing Cost | Recycling Cost | Transportation Emission | Holding Emission | Processing Emission | Lost Working Days | Revenue | Job Opportunities | ||
| Indicators Weight | |||||||||||
| 0.10 | 0.07 | 0.14 | 0.08 | 0.09 | 0.09 | 0.07 | 0.11 | 0.04 | 0.22 | ||
| 1 | 13,333.96 | 26,196.12 | 11,495.71 | 10,696.50 | 13,435.46 | 12,055.04 | 10,612.45 | 80.35 | 35,051.00 | 718.51 | 0.8191 |
| 2 | 12,725.70 | 26,101.28 | 12,602.84 | 10,470.25 | 13,195.01 | 12,117.34 | 10,227.88 | 98.17 | 35,412.00 | 932.25 | 0.7267 |
| 3 | 13,328.37 | 25,557.21 | 10,898.89 | 9891.87 | 13,562.62 | 11,574.82 | 9641.73 | 79.05 | 35,159.00 | 725.60 | 0.6358 |
| 4 | 12,759.50 | 26,231.09 | 11,710.94 | 10,909.18 | 12,505.41 | 12,530.63 | 9222.37 | 91.80 | 35,051.00 | 725.03 | 0.6266 |
| 5 | 13,294.91 | 27,316.45 | 10,518.21 | 10,610.48 | 13,676.42 | 11,510.63 | 9245.45 | 81.80 | 35,147.00 | 737.04 | 0.5473 |
| 6 | 12,784.99 | 25,180.15 | 11,262.00 | 10,314.70 | 14,008.49 | 11,286.81 | 9721.50 | 99.43 | 35,355.00 | 935.41 | 0.5462 |
| 7 | 13,041.41 | 25,536.22 | 10,395.48 | 10,299.27 | 13,620.61 | 11,187.26 | 9922.26 | 87.19 | 35,149.00 | 771.63 | 0.5180 |
| 8 | 13,006.47 | 26,397.21 | 11,080.56 | 10,483.44 | 12,740.59 | 10,936.56 | 9254.18 | 104.42 | 35,412.00 | 927.92 | 0.4364 |
| 9 | 12,863.93 | 25,357.85 | 10,302.66 | 10,326.86 | 13,503.35 | 11,460.39 | 10,280.31 | 77.23 | 35,147.00 | 744.44 | 0.4201 |
| 10 | 13,311.10 | 26,801.62 | 9739.46 | 9906.41 | 13,128.22 | 12,065.88 | 9890.65 | 91.27 | 35,159.00 | 741.98 | 0.4133 |
| 11 | 12,810.66 | 26,344.41 | 11,197.97 | 10,391.45 | 12,818.32 | 10,612.50 | 9871.11 | 96.93 | 35,147.00 | 711.86 | 0.4094 |
| 12 | 12,700.18 | 25,264.54 | 11,161.52 | 10,897.25 | 13,711.56 | 9700.43 | 9542.20 | 97.83 | 35,144.00 | 839.29 | 0.3996 |
| 13 | 12,874.01 | 25,388.72 | 11,577.28 | 10,092.38 | 13,106.03 | 10,501.45 | 8803.32 | 85.77 | 35,051.00 | 759.94 | 0.3795 |
| 14 | 12,875.37 | 25,970.89 | 11,012.95 | 10,369.57 | 13,211.26 | 9158.74 | 8565.61 | 100.36 | 35,412.00 | 890.89 | 0.3702 |
| 15 | 13,675.22 | 25,491.12 | 10,011.61 | 10,688.65 | 12,938.79 | 9814.93 | 9396.28 | 85.94 | 35,111.00 | 757.05 | 0.3451 |
| 16 | 12,817.27 | 25,605.42 | 9998.83 | 9638.21 | 12,726.34 | 11,768.65 | 9330.87 | 99.04 | 35,355.00 | 839.15 | 0.3231 |
| 17 | 12,812.90 | 25,358.07 | 10,588.46 | 10,459.20 | 13,029.05 | 9406.98 | 9758.30 | 87.51 | 34,379.00 | 770.12 | 0.3094 |
| 18 | 13,297.80 | 24,567.79 | 9789.91 | 9786.23 | 13,486.21 | 10,612.81 | 10,046.96 | 92.04 | 35,051.00 | 744.89 | 0.3066 |
| 19 | 12,493.09 | 24,130.95 | 10,242.25 | 10,527.24 | 13,248.25 | 10,766.47 | 9342.81 | 101.51 | 35,415.00 | 918.55 | 0.2111 |
| DMU | Minimum Indicators | Maximum Indicators | Evaluative Value | ||||||||
|---|---|---|---|---|---|---|---|---|---|---|---|
| Transportation Cost | Inventory Cost | Processing Cost | Recycling Cost | Transportation Emission | Holding Emission | Processing Emission | Lost Working Days | Revenue | Job Opportunities | ||
| Indicators Weight | |||||||||||
| 0.08 | 0.17 | 0.08 | 0.11 | 0.06 | 0.10 | 0.11 | 0.14 | 0.08 | 0.09 | ||
| 1 | 13,240.40 | 27,658.40 | 11,877.34 | 11,304.27 | 13,939.78 | 10,909.30 | 9866.20 | 123.93 | 36,989.00 | 1063.04 | 0.3607 |
| 2 | 14,176.28 | 27,623.41 | 11,814.75 | 10,510.77 | 12,708.78 | 11,334.77 | 10,099.29 | 109.39 | 37,065.00 | 929.66 | 0.6214 |
| 3 | 13,983.93 | 26,314.16 | 11,189.53 | 10,603.97 | 13,689.62 | 11,305.18 | 9139.43 | 111.26 | 37,012.00 | 912.26 | 0.3470 |
| 4 | 13,678.85 | 27,037.43 | 10,628.18 | 10,040.56 | 13,765.30 | 11,245.05 | 9934.84 | 111.35 | 36,989.00 | 1093.58 | 0.3972 |
| 5 | 13,735.49 | 26,352.19 | 11,221.07 | 10,938.28 | 14,381.12 | 11,773.15 | 10,467.18 | 129.31 | 36,989.00 | 1062.69 | 0.6127 |
| 6 | 13,488.60 | 26,380.91 | 11,436.97 | 9897.41 | 13,624.51 | 12,072.35 | 9201.91 | 131.94 | 36,909.00 | 1099.82 | 0.2443 |
| 7 | 13,760.54 | 26,772.81 | 10,983.38 | 10,975.26 | 13,666.55 | 12,220.23 | 10,883.07 | 120.35 | 36,941.00 | 1104.67 | 0.6896 |
| 8 | 14,264.81 | 26,985.37 | 11,174.11 | 10,248.38 | 13,940.30 | 10,674.86 | 10,872.93 | 132.92 | 36,989.00 | 1141.80 | 0.3152 |
Publisher’s Note: MDPI stays neutral with regard to jurisdictional claims in published maps and institutional affiliations. |
© 2022 by the authors. Licensee MDPI, Basel, Switzerland. This article is an open access article distributed under the terms and conditions of the Creative Commons Attribution (CC BY) license (https://creativecommons.org/licenses/by/4.0/).
Share and Cite
Guo, Y.; Shi, Q.; Guo, C. A Performance-Oriented Optimization Framework Combining Meta-Heuristics and Entropy-Weighted TOPSIS for Multi-Objective Sustainable Supply Chain Network Design. Electronics 2022, 11, 3134. https://doi.org/10.3390/electronics11193134
Guo Y, Shi Q, Guo C. A Performance-Oriented Optimization Framework Combining Meta-Heuristics and Entropy-Weighted TOPSIS for Multi-Objective Sustainable Supply Chain Network Design. Electronics. 2022; 11(19):3134. https://doi.org/10.3390/electronics11193134
Chicago/Turabian StyleGuo, Yurong, Quan Shi, and Chiming Guo. 2022. "A Performance-Oriented Optimization Framework Combining Meta-Heuristics and Entropy-Weighted TOPSIS for Multi-Objective Sustainable Supply Chain Network Design" Electronics 11, no. 19: 3134. https://doi.org/10.3390/electronics11193134
APA StyleGuo, Y., Shi, Q., & Guo, C. (2022). A Performance-Oriented Optimization Framework Combining Meta-Heuristics and Entropy-Weighted TOPSIS for Multi-Objective Sustainable Supply Chain Network Design. Electronics, 11(19), 3134. https://doi.org/10.3390/electronics11193134
