Design of Light-Weight Timing Error Detection and Correction Circuits for Energy-Efficient Near-Threshold Voltage Operation
Abstract
:1. Introduction
- A light-weight timing error-tolerant circuit, namely, the ETFF, is designed to extend the lowest operation voltage to 0.3 V with a 25.63% area reduction compared with the RFF design [13].
- Transistor sizing is used to improve the power-delay product (PDP) of the proposed ETFF by 9.16–99.84% at supply voltages of 1.1–0.3 V.
- Benefiting from the proposed EDAC design, a CNN accelerator implemented in the SMIC COMS 40 nm process can reliably perform the classification at the supply voltages in the NTV region with an energy saving of up to 55.29%.
2. Background and Related Work
2.1. Timing Issues in NTV Operation
2.2. EDAC Circuits
2.2.1. Timing Error Detection
2.2.2. Timing Error Correction
2.3. Monitored Point Selection
3. Proposed Timing Error-Tolerant Flip-Flop
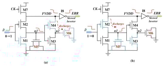
3.1. Node Transition Signal Detector (NTSD)
- The inverter I8 requires skewed transistor sizing to ensure that it has a sufficiently high logic threshold voltage regardless of process corners.
- The node capacitance at n1 and n2 must be increased through the transistor sizing to support sufficient charges.
- The transistor sizes of M5 and M6 must be enlarged to ensure the fast and sufficient voltage reduction at the floating node FVDD and a successful logic switch occurs at the node denoted by ERR.
3.2. Data Selection Error Correction (DSEC)
3.3. Transistor Sizing
3.4. Proposed MTTF-Aware Hybrid Selection (MAHS) Method
4. Application and Performance Analysis
4.1. Experiment Setup
4.2. Performance Analysis
5. Conclusions
Author Contributions
Funding
Acknowledgments
Conflicts of Interest
References
- Dreslinski, R.G.; Wieckowski, M.; Blaauw, D.; Sylvester, D.; Mudge, T. Near-threshold computing: Reclaiming Moore’s Law Through Energy Efficient Integrated Circuits. Proc. IEEE 2010, 98, 253–266. [Google Scholar] [CrossRef]
- Whatmough, P.N.; Lee, S.K.; Brooks, D.; Wei, G.-Y. DNN Engine: A 28-nm Timing-Error Tolerant Sparse Deep Neural Network Processor for IoT Applications. IEEE J. Solid-State Circuits 2018, 53, 2722–2731. [Google Scholar] [CrossRef]
- Kim, S.; Cerqueira, J.P.; Seok, M. A Near-Threshold Spiking Neural Network Accelerator with a Body-Swapping-Based In Situ Error Detection and Correction Technique. IEEE Trans. Very Large Scale Integr. VLSI Syst. 2019, 27, 1886–1896. [Google Scholar] [CrossRef]
- Agwa, S.; Yahya, E.; Ismail, Y. ERSUT: A Self-Healing Architecture for Mitigating PVT Variations without Pipeline Flushing. IEEE Trans. Circuits Syst. II Express Briefs 2016, 63, 1069–1073. [Google Scholar] [CrossRef]
- Shin, D.; Choi, W.; Park, J.; Ghosh, S. Sensitivity-Based Error Resilient Techniques with Heterogeneous Multiply–Accumulate Unit for Voltage Scalable Deep Neural Network Accelerators. IEEE J. Emerg. Sel. Top. Circuits Syst. 2019, 9, 520–531. [Google Scholar] [CrossRef]
- Zhang, J.; Rangineni, K.; Ghodsi, Z.; Garg, S. Thundervolt: Enabling Aggressive Voltage Underscaling and Timing Error Resili-ence for Energy Efficient Deep Learning Accelerators. In Proceedings of the 55th Annual Design Automation Conference, San Francisco, CA, USA, 24–28 June 2018. [Google Scholar]
- Pandey, P.; Basu, P.; Chakraborty, K.; Roy, S. GreenTPU: Improving Timing Error Resilience of a Near-Threshold Tensor Pro-cessing Unit. In Proceedings of the 56th ACM/IEEE Design Automation Conference (DAC), Las Vegas, NV, USA, 2–6 June 2019. [Google Scholar]
- Zhang, J.; Ghodsi, Z.; Garg, S.; Rangineni, K. Enabling Timing Error Resilience for Low-Power Systolic-Array Based Deep Learning Accelerators. IEEE Des. Test 2019, 37, 93–102. [Google Scholar] [CrossRef]
- Whatmough, P.N.; Lee, S.K.; Lee, H.; Rama, S.; Brooks, D.; Wei, G. A 28 nm SoC with a 1.2 GHz 568nJ/Prediction Sparse Deep-Neural-Network Engine with >0.1 Timing Error Rate Tolerance for IoT Applications. In Proceedings of the IEEE International Solid-State Circuits Conference (ISSCC), San Francisco, CA, USA, 5–9 February 2017; pp. 242–243. [Google Scholar]
- Ghosh, A.; Naseem, M.S.; Kumar, C.I. Time-Borrowing Flip-Flop Architecture for Multi-Stage Timing Error Resilience in DVFS Processors. In Proceedings of the 2021 International Conference on Intelligent Technologies (CONIT), Hubli, India, 25–27 June 2021. [Google Scholar] [CrossRef]
- Fan, X.; Wang, R.; Zeng, Q.; Liu, H.; Lu, S. A Simple Steady Timing Resilient Sample Based on Delay Data Sense Detection. In Proceedings of the 2019 IEEE 13th International Conference on ASIC (ASICON), Chongqing, China, 29 October–1 November 2019. [Google Scholar] [CrossRef]
- Bull, D.; Das, S.; Shivashankar, K.; Dasika, G.S.; Flautner, K.; Blaauw, D. A Power-Efficient 32 bit ARM Processor Using Timing-Error Detection and Correc-tion for Transient-Error Tolerance and Adaptation to PVT Variation. IEEE J. Solid-State Circuits 2010, 46, 18–31. [Google Scholar] [CrossRef]
- Das, S.; Roberts, D.; Lee, S.; Pant, S.; Blaauw, D.; Austin, T.; Flautner, K.; Mudge, T. A Self-Tuning DVS Processor using Delay-error Detection and Correction. IEEE J. Solid-State Circuits 2006, 41, 792–804. [Google Scholar] [CrossRef]
- Sharma, P.; Das, B.P. Design and Analysis of Leakage-Induced False Error Tolerant Error Detecting Latch for Sub/Near-Threshold Applications. IEEE Trans. Device Mater. Reliab. 2020, 20, 366–375. [Google Scholar] [CrossRef]
- Bowman, K.A.; Tschanz, J.W.; Kim, N.S.; Lee, J.C.; Wilkerson, C.B.; Lu, S.-L.L.; Karnik, T.; De, V.K. Energy-Efficient and Metastability-Immune Resilient Circuits for Dynamic Variation Tolerance. IEEE J. Solid-State Circuits 2008, 44, 49–63. [Google Scholar] [CrossRef]
- Lee, S.K.; Whatmough, P.N.; Brooks, D.; Wei, G.Y. A 16-nm Always-On DNN Processor with Adaptive Clocking and Multi-Cycle Banked SRAMs. IEEE J. Solid-State Circuits 2019, 54, 1982–1992. [Google Scholar] [CrossRef]
- Zhang, H.; He, W.; Sun, Y.; Seok, M. An Area-Efficient Scannable In Situ Timing Error Detection Technique Featuring Low Test Overhead for Resilient Circuits. In Proceedings of the 2021 IEEE/ACM International Conference On Computer Aided Design (ICCAD), Munich, Germany, 1–4 November 2021. [Google Scholar] [CrossRef]
- Sato, T.; Kunitake, Y. A Simple Flip-Flop Circuit for Typical-Case Designs for DFM. In Proceedings of the 8th International Symposium on Quality Electronic Design (ISQED’07), San Jose, CA, USA, 26–28 March 2007; pp. 539–544. [Google Scholar] [CrossRef]
- Zhang, J.; Garg, S. FATE: Fast and Accurate Timing Error Prediction Framework for Low Power DNN Accelerator Design. In Proceedings of the 2018 IEEE/ACM International Conference on Computer-Aided Design (ICCAD), San Diego, CA, USA, 5–8 November 2018. [Google Scholar]
- Jain, A.; Veggetti, A.M.; Crippa, D.; Benfante, A.; Gerardin, S.; Bagatin, M. Radiation Tolerant Multi-Bit Flip-Flop System with Embedded Timing Pre-Error Sensing. IEEE J. Solid-State Circuits 2022, 57, 2878–2890. [Google Scholar] [CrossRef]
- Uytterhoeven, R.; Dehaene, W. Design Margin Reduction Through Completion Detection in a 28-nm Near-Threshold DSP Processor. IEEE J. Solid-State Circuits 2021, 57, 651–660. [Google Scholar] [CrossRef]
- Choudhury, M.; Chandra, V.; Mohanram, K.; Aitken, R. TIMBER: Time Borrowing and Error Relaying for Online Timing Error Resilience. In Proceedings of the DATE, Dresden, Germany, 8–12 March 2010. [Google Scholar] [CrossRef]
- Hao, Z.; Xiang, X.; Chen, C.; Meng, J.; Ding, Y.; Yan, X. EDSU: Error Detection and Sampling Unified Flip-Flop with Ultra-Low Overhead. IEICE Electron. Express 2016, 13, 20160682. [Google Scholar] [CrossRef]
- Zhang, Y.; Khayatzadeh, M.; Yang, K.; Saligane, M.; Pinckney, N.; Alioto, M.; Blaauw, D.; Sylvester, D. iRazor: Current-Based Error Detection and Correction Scheme for PVT Varia-tion in 40-nm ARM Cortex-R4 Processor. IEEE J. Solid-State Circuits 2017, 53, 619–631. [Google Scholar] [CrossRef]
- Zhou, J.; Liu, X.; Lam, Y.H.; Wang, C.; Chang, K.H.; Lan, J.; Je, M. HEPP: A New In-Situ Timing-Error Prediction and Prevention Technique for Variation-Tolerant Ultra-Low-Voltage Designs. In Proceedings of the IEEE Asian Solid-State Circuits Conference (A-SSCC), Singapore, 11–13 November 2013; pp. 129–132. [Google Scholar]
- Shan, W.; Shang, X.; Shi, L.; Dai, W.; Yang, J. Timing Error Prediction AVFS With Detection Window Tuning for Wide-Operating-Range ICs. IEEE Trans. Circuits Syst. II Express Briefs 2017, 65, 933–937. [Google Scholar] [CrossRef]
- Fan, X.; Li, H.; Li, Q.; Wang, R.; Liu, H.; Lu, S. A Light-Weight Timing Resilient Scheme for Near-Threshold Efficient Digital ICs. In Proceedings of the IEEE Asia Pacific Conference on Circuits and Systems (APCCAS), Ha Long, Vietnam, 8–10 December 2020; pp. 133–136. [Google Scholar]
- Markovic, D.; Nikolic, B.; Brodersen, R.W. Analysis and Design of Low-Energy Flip-Flops. In Proceedings of the IEEE International Symposium on Low Power Electronics and Design (ISLPED), Huntington Beach, CA, USA, 6–7 August 2001; pp. 52–55. [Google Scholar]
- Markovic, D.; Wang, C.C.; Alarcon, L.P.; Liu, T.-T.; Rabaey, J.M. Ultralow-Power Design in Near-Threshold Region. Proc. IEEE 2010, 98, 237–252. [Google Scholar] [CrossRef]
- Maheshwari, N.; Sapatnekar, S. Timing Analysis and Optimization of Sequential Circuits; Springer Science & Business Media: Berlin/Heidelberg, Germany, 1998. [Google Scholar]
- Zhou, J.; Jayapal, S.; Busze, B.; Huang, L.; Stuyt, J. A 40 nm Dual-Width Standard Cell Library for Near/Sub-Threshold Operation. IEEE Trans. Circuits Syst. I Regul. Pap. 2012, 59, 2569–2577. [Google Scholar] [CrossRef]
- Iizuka, S.; Masuda, Y.; Hashimoto, M.; Onoye, T. Stochastic Timing Error Rate Estimation Under Process and Temporal Variations. In Proceedings of the IEEE International Test Conference (ITC), Anaheim, CA, USA, 6–8 October 2015. [Google Scholar]
- Brglez, F.; Bryan, D.; Kozminski, K. Combinational Profiles of Sequential Benchmark Circuits. In Proceedings of the IEEE Inter-national Symposium on Circuits and Systems, Portland, OR, USA, 8–11 May 1989; pp. 1929–1934. [Google Scholar]
- Lecun, Y.; Bottou, L.; Bengio, Y.; Haffner, P. Gradient-based Learning Applied to Document Recognition. Proc. IEEE 1998, 86, 2278–2324. [Google Scholar] [CrossRef] [Green Version]










| Nodes and Transistors | D | CK | M7 | M2 & M3 | M1 & M4 | n1 | M5 | n2 | M6 | FVDD | ERR |
|---|---|---|---|---|---|---|---|---|---|---|---|
| operations or voltage states | 0 | 1 | off | on | off | 1 | on | 0 | off | 1 | 0 |
| 0→1 | on→off | off→on | 1→0 | off | 0→1 | On (charged) | 1→0 | 0→1 | |||
| 1 | off | on | 0 | off | 1 | on | 1 | 0 | |||
| 1→0 | off→on | on→off | 0→1 | On (charged) | 1→0 | off | 1→0 | 0→1 |
| Characteristics | The Number of Transistors | CLK-Q Delay (ns) | D-TD Delay (ns) | Area (μm2) | Switching Energy (μW) |
|---|---|---|---|---|---|
| TGFF [28] | 24 | 1.07 | --- | 3.59 | 0.42 |
| Razor [13] | 44 | 1.06 (no error) 1 cycle re-execution | 1.18 | 8.23 | 0.89 |
| Proposed ETTF | 33 | 0.31 (no error) 1.39 (with errors) | 1.26 | 6.12 | 0.69 |
| Voltage (V) | 120 nm | 300 nm | 400 nm | 500 nm | 800 nm | ||||||||||
|---|---|---|---|---|---|---|---|---|---|---|---|---|---|---|---|
| Power (nW) | Delay (nS) | PDP (f J) | Power (nW) | Delay (nS) | PDP (f J) | Power (nW) | Delay (nS) | PDP (f J) | Power (nW) | Delay (nS) | PDP (f J) | Power (nW) | Delay (nS) | PDP (f J) | |
| 1 | 5571.70 | 45.18 | 251.71 | 5480.3 | 12.80 | 70.15 | 5407.40 | 0.16 | 0.88 | 5212.60 | 0.09 | 0.46 | 5046.3 | 0.08 | 0.39 |
| 0.9 | 2445.80 | 50.58 | 123.70 | 2408.8 | 18.30 | 44.08 | 2378.10 | 2.03 | 4.83 | 2296.40 | 0.19 | 0.43 | 2211.3 | 0.15 | 0.34 |
| 0.8 | 916.24 | 54.76 | 50.18 | 901.87 | 21.60 | 19.48 | 889.94 | 5.67 | 5.05 | 860.96 | 0.47 | 0.40 | 825.33 | 0.37 | 0.30 |
| 0.7 | 294.56 | 56.76 | 16.72 | 289.12 | 22.90 | 6.62 | 285.32 | 6.81 | 1.94 | 275.86 | 1.28 | 0.35 | 266.02 | 0.99 | 0.26 |
| 0.6 | 83.01 | 56.74 | 4.71 | 81.27 | 21.70 | 1.76 | 80.09 | 7.03 | 0.56 | 77.49 | 3.74 | 0.29 | 75.40 | 3.00 | 0.23 |
| 0.5 | 6.46 | 58.16 | 0.376 | 6.36 | 24.60 | 0.16 | 6.14 | 16.20 | 0.10 | 5.77 | 12.30 | 0.07 | 5.45 | 10.40 | 0.06 |
| 0.4 | 5.85 | 75.02 | 0.439 | 5.76 | 51.90 | 0.30 | 5.71 | 46.80 | 0.27 | 5.68 | 42.30 | 0.24 | 5.64 | 38.00 | 0.21 |
| 0.3 | 1.39 | 161.51 | 0.224 | 1.38 | 157.00 | 0.22 | 1.39 | 154.00 | 0.21 | 1.38 | 152.00 | 0.21 | 1.38 | 147.00 | 0.20 |
| Circuit | s838 | s13207 | s35932 | s38417 | s38584 | CNN |
|---|---|---|---|---|---|---|
| Total paths | 65 | 491 | 3456 | 3030 | 2538 | 874 |
| The common method | 24 | 57 | 1137 | 420 | 667 | 64 |
| The proposed method | 20 | 68 | 798 | 19 | 106 | 39 |
| Reference | [2] | [4] | [6] | [10] | [16] | This Work |
|---|---|---|---|---|---|---|
| Technology | CMOS 28 nm | CMOS 90 nm | CMOS 40 nm | FinFET 15 nm | CMOS 16 nm | CMOS 40 nm |
| Accelerator | FC-DNN | MAC | TPU | TPU | FC-DNN | CNN |
| TED method (Extra # of transistors *) | Razor FF | Razor FF | Razor FF | Razor FF | DSTB (Latch) | NTSD (FF) |
| 20 | 24 | 20 | 20 | 26 | 9 | |
| TEC method | TB | MUX | TE-Drop | TE-Drop & TB | TB | DSEC |
| # of monitored points | 896/8460 (10.6%) | No Report | 14/40 (35%) | No Report | 896/8460 (10.6%) | 39/831 (4.69%) |
| Duty clock loading | Yes | Yes | Yes | Yes | No | No |
| Voltage range | 1.1–0.6 V | No Report | 1–0.65 V | Nomal–0.45 V | 1.0–0.4 V | 1.1–0.3 V |
| EDAC area overhead | 13.6% | 20.9% | No Report | 1.8% | <2% (all cells) | 3.5% |
| Energy saving | 30% | No Report | 20% | No Report | 10–31% | 55.27% (@0.5V) |
Publisher’s Note: MDPI stays neutral with regard to jurisdictional claims in published maps and institutional affiliations. |
© 2022 by the authors. Licensee MDPI, Basel, Switzerland. This article is an open access article distributed under the terms and conditions of the Creative Commons Attribution (CC BY) license (https://creativecommons.org/licenses/by/4.0/).
Share and Cite
Fan, X.; Liu, H.; Li, H.; Lu, S.; Han, J. Design of Light-Weight Timing Error Detection and Correction Circuits for Energy-Efficient Near-Threshold Voltage Operation. Electronics 2022, 11, 2879. https://doi.org/10.3390/electronics11182879
Fan X, Liu H, Li H, Lu S, Han J. Design of Light-Weight Timing Error Detection and Correction Circuits for Energy-Efficient Near-Threshold Voltage Operation. Electronics. 2022; 11(18):2879. https://doi.org/10.3390/electronics11182879
Chicago/Turabian StyleFan, Xuemei, Hao Liu, Hongwei Li, Shengli Lu, and Jie Han. 2022. "Design of Light-Weight Timing Error Detection and Correction Circuits for Energy-Efficient Near-Threshold Voltage Operation" Electronics 11, no. 18: 2879. https://doi.org/10.3390/electronics11182879
APA StyleFan, X., Liu, H., Li, H., Lu, S., & Han, J. (2022). Design of Light-Weight Timing Error Detection and Correction Circuits for Energy-Efficient Near-Threshold Voltage Operation. Electronics, 11(18), 2879. https://doi.org/10.3390/electronics11182879
