Local and Network Dynamics of a Non-Integer Order Resistor–Capacitor Shunted Josephson Junction Oscillators
Abstract
:1. Introduction
2. Fractional-Order JJ Oscillator (FJJO)
3. Dynamical Behavior and Its Transitions of FJJO
3.1. Infinitely Coexisting Periodic and Chaotic Attractors
3.2. Stability of the Equilibrium Points
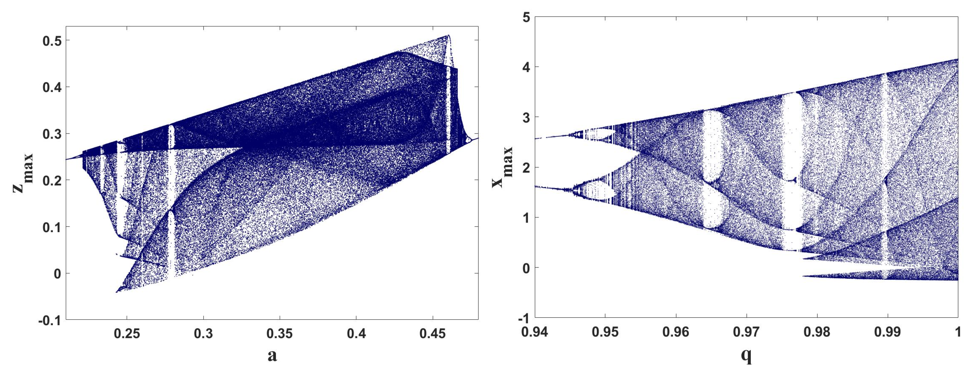
3.3. Dynamical Transitions through Bifurcation Analysis
4. Network of FJJ and Its Collective Dynamics
Impact of Distinct Intrinsic and Extrinsic Parameters in a Network of FJJ
5. Impact of Box–Muller (BM) Noise in a Network of FJJ
5.1. Noise Applied for the Entire Simulation Time Period
5.2. Noise Applied for a Specific Time Period between 500 and 700 s
6. Conclusions
Author Contributions
Funding
Institutional Review Board Statement
Informed Consent Statement
Data Availability Statement
Acknowledgments
Conflicts of Interest
References
- Akdemir, A.O.; Dutta, H.; Atangana, A. Fractional Order Analysis: Theory, Methods and Applications; John Wiley & Sons: New York, NY, USA, 2020. [Google Scholar]
- Kilbas, A.A.; Srivastava, H.M.; Trujillo, J.J. Theory and Applications of Fractional Differential Equations; Elsevier: Amsterdam, The Netherlands, 2006. [Google Scholar]
- Yu, C.H. Fractional derivatives of some fractional functions and their applications. Asian J. Appl. Sci. Technol. 2020, 4, 147–158. [Google Scholar] [CrossRef]
- Si, L.; Xiao, M.; Jiang, G.; Cheng, Z.; Song, Q.; Cao, J. Dynamics of fractional-order neural networks with discrete and distributed delays. IEEE Access 2019, 8, 46071–46080. [Google Scholar] [CrossRef]
- Kaslik, E.; Sivasundaram, S. Dynamics of fractional-order neural networks. In Proceedings of the 2011 International Joint Conference on Neural Networks, San Jose, CA, USA, 16–22 July 2011; pp. 611–618. [Google Scholar]
- Jacob, J.S.; Priya, J.H.; Karthika, A. Applications of fractional calculus in science and engineering. JCR 2020, 7, 4385–4394. [Google Scholar]
- Liu, H.; Li, S.; Cao, J.; Li, G.; Alsaedi, A.; Alsaadi, F.E. Adaptive fuzzy prescribed performance controller design for a class of uncertain fractional-order nonlinear systems with external disturbances. Neurocomputing 2017, 219, 422–430. [Google Scholar] [CrossRef]
- Das, S. Functional Fractional Calculus; Springer: Berlin, Germany, 2011. [Google Scholar]
- Ramadoss, J.; Aghababaei, S.; Parastesh, F.; Rajagopal, K.; Jafari, S.; Hussain, I. Chimera state in the network of fractional-order fitzhugh–nagumo neurons. Complexity 2021, 2021, 2437737. [Google Scholar] [CrossRef]
- Vázquez-Guerrero, P.; Gómez-Aguilar, J.F.; Santamaria, F.; Escobar-Jiménez, R.F. Synchronization patterns with strong memory adaptive control in networks of coupled neurons with chimera states dynamics. Chaos Solitons Fractals 2019, 128, 167–175. [Google Scholar] [CrossRef]
- He, S. Complexity and chimera states in a ring-coupled fractional-order memristor neural network. Front. Appl. Math. Stat. 2020, 6, 24. [Google Scholar]
- Teka, W.W.; Upadhyay, R.K.; Mondal, A. Spiking and bursting patterns of fractional-order Izhikevich model. Commun. Nonlinear Sci. Numer. Simul. 2018, 56, 161–176. [Google Scholar] [CrossRef]
- Meng, F.; Zeng, X.; Wang, Z.; Wang, X. Adaptive synchronization of fractional-order coupled neurons under electromagnetic radiation. Int. J. Bifurc. Chaos 2020, 30, 2050044. [Google Scholar] [CrossRef]
- Ramakrishnan, B.; Parastesh, F.; Jafari, S.; Rajagopal, K.; Stamov, G.; Stamova, I. Synchronization in a Multiplex Network of Nonidentical Fractional-Order Neurons. Fractal Fract. 2022, 6, 251. [Google Scholar]
- Likharev, K.K. Dynamics of Josephson Junctions and Circuits; Routledge: London, UK, 2022. [Google Scholar]
- Josephson, B.D. The discovery of tunnelling supercurrents. Rev. Mod. Phys. 1974, 46, 251. [Google Scholar] [CrossRef]
- Wolf, E.L.; Arnold, G.B.; Gurvitch, M.A.; Zasadzinski, J.F. (Eds.) Josephson Junctions: History, Devices, and Applications; CRC Press: Boca Raton, FL, USA, 2017. [Google Scholar]
- Orlando, T.P.; Lloyd, S.; Levitov, L.S.; Berggren, K.K.; Feldman, M.J.; Bocko, M.F.; Mooij, J.E.; Harmans, C.J.; Van der Wal, C.H. Flux-based superconducting qubits for quantum computation. Phys. C 2002, 372, 194–200. [Google Scholar] [CrossRef]
- Chesca, B.; John, D.; Gaifullin, M.; Cox, J.; Murphy, A.; Savel’ev, S.; Mellor, C.J. Magnetic flux quantum periodicity of the frequency of the on-chip detectable electromagnetic radiation from superconducting flux-flow-oscillators. Appl. Phys. Lett. 2020, 117, 142601. [Google Scholar] [CrossRef]
- Pambianchi, M.S.; Li, W.; Coughlin, J.; Talej, E.N. Single-flux-quantum counters for advanced Josephson primary voltage standards. IEEE Trans. Instrum. Meas. 1999, 48, 285–288. [Google Scholar] [CrossRef]
- Golubov, A.A.; Kupriyanov, M.Y.; Il’Ichev, E. The current-phase relation in Josephson junctions. Rev. Mod. Phys. 2004, 76, 411. [Google Scholar] [CrossRef]
- Ben-Jacob, E.; Goldhirsch, I.; Imry, Y.; Fishman, S. Intermittent chaos in Josephson junctions. Phys. Rev. Lett. 1982, 49, 1599. [Google Scholar] [CrossRef]
- Lansiti, M.; Hu, Q.; Westervelt, R.M.; Tinkham, M. Noise and chaos in a fractal basin boundary regime of a Josephson junction. Phys. Rev. Lett. 1985, 55, 746. [Google Scholar] [CrossRef]
- Goldhirsch, I.; Imry, Y.; Wasserman, G.; Ben-Jacob, E. Studies of the intermittent-type chaos in ac-and dc-driven Josephson junctions. Phys. Rev. B 1984, 29, 1218. [Google Scholar] [CrossRef]
- Nayak, C.R.; Kuriakose, V.C. Dynamics of coupled Josephson junctions under the influence of applied fields. Phys. Lett. A 2007, 365, 284–289. [Google Scholar] [CrossRef]
- Tie-Ge, Z.; Jing, M.; Ting-Shu, L.; Yue, L.; Shao-Lin, Y. Phase Locking and Chaos in a Josephson Junction Array Shunted by a Common Resistance. Chin. Phys. Lett. 2009, 26, 077401. [Google Scholar] [CrossRef]
- Yan, J.J.; Huang, C.F.; Lin, J.S. Robust synchronization of chaotic behavior in unidirectional coupled RCLSJ models subject to uncertainties. Nonlinear Anal. Real World Appl. 2009, 10, 3091–3097. [Google Scholar] [CrossRef]
- Njah, A.N.; Ojo, K.S.; Adebayo, G.A.; Obawole, A.O. Generalized control and synchronization of chaos in RCL-shunted Josephson junction using backstepping design. Phys. C 2010, 470, 558–564. [Google Scholar] [CrossRef]
- Neumann, E.; Pikovsky, A. Slow-fast dynamics in Josephson junctions. Eur. Phys. J. B 2003, 34, 293–303. [Google Scholar] [CrossRef]
- Kingni, S.T.; Kuiate, G.F.; Kengne, R.; Tchitnga, R.; Woafo, P. Analysis of a no equilibrium linear resistive-capacitive-inductance shunted junction model, dynamics, synchronization, and application to digital cryptography in its fractional-order form. Complexity 2017, 2017, 4107358. [Google Scholar] [CrossRef]
- Sathiyadevi, K.; Premraj, D.; Banerjee, T.; Zheng, Z.; Lakshmanan, M. Aging transition under discrete time-dependent coupling: Restoring rhythmicity from aging. Chaos Solitons Fractals 2022, 157, 111944. [Google Scholar] [CrossRef]
- Premraj, D.; Suresh, K.; Thamilmaran, K. Effect of processing delay on bifurcation delay in a network of slow-fast oscillators. Chaos Interdiscip. J. Nonlinear Sci. 2019, 29, 123127. [Google Scholar] [CrossRef]
- Sathiyadevi, K.; Chrasekar, V.K.; Senthilkumar, D.V.; Lakshmanan, M. Imperfect amplitude mediated chimera states in a nonlocally coupled network. Front. Appl. Math. Stat. 2018, 4, 58. [Google Scholar] [CrossRef]
- Gowthaman, I.; Sathiyadevi, K.; Chrasekar, V.K.; Senthilkumar, D.V. Symmetry breaking-induced state-dependent aging and chimera-like death state. Nonlinear Dyn. 2020, 101, 53–64. [Google Scholar] [CrossRef]
- Petrov, V.; Ouyang, Q.; Swinney, H.L. Resonant pattern formation in achemical system. Nature 1997, 388, 655–657. [Google Scholar] [CrossRef]
- Nayak, A.R.; Panfilov, A.V.; Pandit, R. Spiral-wave dynamics in a mathematical model of human ventricular tissue with myocytes and Purkinje fibers. Phys. Rev. E 2007, 95, 022405. [Google Scholar] [CrossRef] [PubMed]
- Rajagopal, K.; Karthikeyan, A. Spiral waves and their characterization through spatioperiod and spatioenergy under distinct excitable media. Chaos Solitons Fractals 2022, 158, 112105. [Google Scholar] [CrossRef]
- Rajagopal, K.; He, S.; Duraisamy, P.; Karthikeyan, A. Spiral waves in a hybrid discrete excitable media with electromagnetic flux coupling. Chaos 2021, 31, 113132. [Google Scholar] [CrossRef]
- Rybalova, E.; Bukh, A.; Strelkova, G.; Anishchenko, V. Spiral and target wave chimeras in a 2D lattice of map-based neuron models. Chaos 2019, 29, 101104. [Google Scholar] [CrossRef]
- Keener, J.P.; Tyson, J.J. Spiral waves in the Belousov-Zhabotinskii reaction. Phys. Nonlinear Phenom. 1986, 21, 307–324. [Google Scholar] [CrossRef]
- Wu, X.; Ma, J. The formation mechanism of defects, spiral wave in the network of neurons. PLoS ONE 2013, 8, e55403. [Google Scholar] [CrossRef]
- Parastesh, F.; Rajagopal, K.; Alsaadi, F.E.; Hayat, T.; Pham, V.T.; Hussain, I. Birth and death of spiral waves in a network of Hindmarsh–Rose neurons with exponential magnetic flux and excitable media. Appl. Math. Comput. 2019, 354, 377–384. [Google Scholar] [CrossRef]
- Ma, J.; Tang, J. A review for dynamics of collective behaviors of network of neurons. Sci. China Technol. Sci. 2015, 58, 2038–2045. [Google Scholar] [CrossRef]
- Woo, S.J.; Lee, J.; Lee, K.J. Spiral waves in a coupled network of sine-circle maps. Phys. Rev. E 2003, 68, 016208. [Google Scholar] [CrossRef]
- Totz, J.F.; Rode, J.; Tinsley, M.R.; Showalter, K.; Engel, H. Spiral wave chimera states in large populations of coupled chemical oscillators. Nat. Phys. 2018, 14, 282–285. [Google Scholar] [CrossRef]
- Guo, S.; Dai, Q.; Cheng, H.; Li, H.; Xie, F.; Yang, J. Spiral wave chimera in two-dimensional nonlocally coupled Fitzhugh–Nagumo systems. Chaos, Solitons Fractals 2018, 114, 394–399. [Google Scholar] [CrossRef]
- Santos, M.S.; Protachevicz, P.R.; Caldas, I.L.; Iarosz, K.C.; Viana, R.L.; Szezech, J.D.; de Souza, S.L.; Batista, A.M. Spiral wave chimera states in regular and fractal neuronal networks. J. Physics Complex. 2020, 2, 015006. [Google Scholar] [CrossRef]
- Feng, Y.; Khalaf, A.J.M.; Alsaadi, F.E.; Hayat, T.; Pham, V.T. Spiral wave in a two-layer neuronal network. Eur. Phys. J. Spec. Top. 2019, 228, 2371–2379. [Google Scholar] [CrossRef]
- Yan, B.; He, S.; Wang, S. Multistability and formation of spiral waves in a fractional-order memristor-based hyperchaotic lü system with No equilibrium points. Math. Probl. Eng. 2020, 2020, 2468134. [Google Scholar] [CrossRef]
- Rajagopal, K.; Panahi, S.; Chen, M.; Jafari, S.; Bao, B. Suppressing spiral wave turbulence in a simple fractional-order discrete neuron map using impulse triggering. Fractals 2021, 29, 2140030. [Google Scholar] [CrossRef]
- Ramakrishnan, B.; Moroz, I.; Li, C.; Karthikeyan, A.; Rajagopal, K. Effects of noise on the wave propagation in an excitable media with magnetic induction. Eur. Phys. J. Spec. Top. 2021, 2, 3369–3379. [Google Scholar] [CrossRef]
- Rajagopal, K.; Jafari, S.; Moroz, I.; Karthikeyan, A.; Srinivasan, A. Noise induced suppression of spiral waves in a hybrid FitzHugh–Nagumo neuron with discontinuous resetting. Chaos 2021, 31, 073117. [Google Scholar] [CrossRef]
- Adelakun, A.O.; Ogunjo, S.T.; Fuwape, I.A. Chaos suppression in fractional order systems using state-dependent noise. SN Appl. Sci. 2019, 1, 1608. [Google Scholar] [CrossRef]
- Xing, L.; Liu, J.; Shang, G. Noise-induced and noise-enhanced complete synchronization of fractional order chaotic systems. In Proceedings of the 29th Chinese Control Conference, Hong Kong, China, 29 July–1 August 2019; pp. 352–356. [Google Scholar]
- Palanivel, J.; Suresh, K.; Premraj, D.; Thamilmaran, K. Effect of fractional-order, time-delay and noisy parameter on slow-passage phenomenon in a nonlinear oscillator. Chaos Solitons Fractals 2018, 106, 35–43. [Google Scholar] [CrossRef]
- Talla, F.C.; Tchitnga, R.; Fotso, P.L.; Kengne, R.; Nana, B.; Fomethe, A. Unexpected Behaviors in a Single Mesh Josephson Junction Based Self-Reproducing Autonomous System. Int. J. Bifurc. Chaos 2020, 30, 2050097. [Google Scholar] [CrossRef]
- Zhou, P.; Ma, J.; Tang, J. Clarify the physical process for fractional dynamical systems. Nonlinear Dyn. 2020, 100, 2353–2364. [Google Scholar] [CrossRef]
- Liang, G.; Ma, L. Multivariate theory-based passivity criteria for linear fractional networks. Int. J. Circuit Theory Appl. 2018, 46, 1358–1371. [Google Scholar] [CrossRef]
- Diethelm, K.; Ford, N.J.; Freed, A.D. A predictor-corrector approach for the numerical solution of fractional differential equations. Nonlinear Dyn. 2002, 29, 3–22. [Google Scholar] [CrossRef]
- Diethelm, K.; Ford, N.J.; Freed, A.D. Detailed error analysis for a fractional Adams method. Numer. Algorithms 2004, 36, 31–52. [Google Scholar] [CrossRef] [Green Version]
- Zhang, K.; Vijayakumar, M.D.; Jamal, S.S.; Natiq, H.; Rajagopal, K.; Jafari, S.; Hussain, I. A novel megastable oscillator with a strange structure of coexisting attractors: Design, analysis, and FPGA implementation. Complexity 2021, 2021, 2594965. [Google Scholar] [CrossRef]
- Jafari, S.; Rajagopal, K.; Hayat, T.; Alsaedi, A.; Pham, V.T. Simplest megastable chaotic oscillator. Int. J. Bifurc. Chaos 2019, 29, 1950187. [Google Scholar] [CrossRef]










Publisher’s Note: MDPI stays neutral with regard to jurisdictional claims in published maps and institutional affiliations. |
© 2022 by the authors. Licensee MDPI, Basel, Switzerland. This article is an open access article distributed under the terms and conditions of the Creative Commons Attribution (CC BY) license (https://creativecommons.org/licenses/by/4.0/).
Share and Cite
Kanagaraj, S.; Durairaj, P.; Prince, A.A.; Rajagopal, K. Local and Network Dynamics of a Non-Integer Order Resistor–Capacitor Shunted Josephson Junction Oscillators. Electronics 2022, 11, 2812. https://doi.org/10.3390/electronics11182812
Kanagaraj S, Durairaj P, Prince AA, Rajagopal K. Local and Network Dynamics of a Non-Integer Order Resistor–Capacitor Shunted Josephson Junction Oscillators. Electronics. 2022; 11(18):2812. https://doi.org/10.3390/electronics11182812
Chicago/Turabian StyleKanagaraj, Sathiyadevi, Premraj Durairaj, A. Amalin Prince, and Karthikeyan Rajagopal. 2022. "Local and Network Dynamics of a Non-Integer Order Resistor–Capacitor Shunted Josephson Junction Oscillators" Electronics 11, no. 18: 2812. https://doi.org/10.3390/electronics11182812
APA StyleKanagaraj, S., Durairaj, P., Prince, A. A., & Rajagopal, K. (2022). Local and Network Dynamics of a Non-Integer Order Resistor–Capacitor Shunted Josephson Junction Oscillators. Electronics, 11(18), 2812. https://doi.org/10.3390/electronics11182812

