Laboratorial Implementation of Future Intelligent Transmission Network Substation for Smart Grid
Abstract
:1. Introduction
2. Modelling and Test Process
2.1. Real-Time Digital Simulator (RTDS) Network Model
2.2. Modelling CT Saturation
2.3. Intentional Equipment or Fibre Failures in the Data Communication Network
2.3.1. HSR Configuration
- -
- Scenario A: No communication network component failure. In this scenario, the communication network functions at its full redundancy capability.
- -
- Scenario B: One optical fibre failure in the HSR ring. In this scenario, we assume that one fibre in the HSR ring is broken. As a result, either the sample value packets between the analogue merging unit (AMU) and IED or the GOOSE message between the IED and Circuit Breaker Controller (CBC) is transmitted and received over a longer distance.
- -
- Scenario C: Equipment AMU failure in the HSR ring. In this scenario, one protection device (either MP1 or MP2) in the ring has been incapacitated. In this test case, the sample values from the Vendor 2 AMU to MP1 (Vendor 1 IED—differential protection scheme) are no longer working. Therefore, the loss of connection between Vendor 2 AMU and MP1 (Vendor 1 IED) at the local end has blocked its pair of differential protection devices at the remote end.
2.3.2. PRP Configuration
3. Experimental Setup
3.1. HSR Configuration Lab Setup
3.2. PRP Configuration Lab Setup
4. Results and Discussions
4.1. No-CT Saturation Tests in HSR
4.1.1. CTSat0 Test Cases in Category 1: Three-Phase-to-Ground Fault at 50% of the Feeder
Case CTSat0-A1 (Ideal CT, No Faulty Components, 3ph-G Fault at 50% of the Feeder)
- -
- Yactual is the actual IED tripping times, expressed a function of the standard deviation (σ)
- -
- Ypredicted is the best fit for the tested IED tripping times as function of the standard deviation (σ)
- -
- Ymean is the mean of the tested IED tripping times.
Case CTSat0-B1: (Ideal CT, One Faulty Fibre, 3ph-G Fault at 50% of the Feeder)
Case CTSat0-C1 (No CT Saturation, One Faulty AMU, 3ph-G Fault at 50% of the Feeder)
Comparisons of Scenarios CTSat0-A1, CTSat0-B1, and CTSat0-C1
4.1.2. CTSat0 Test Cases in Category 2: Single-Phase-to-Ground Fault at 70% of the Feeder
Comparisons of All Scenarios CTSat0-A2, CTSat0-B2 and CTSat0-C2
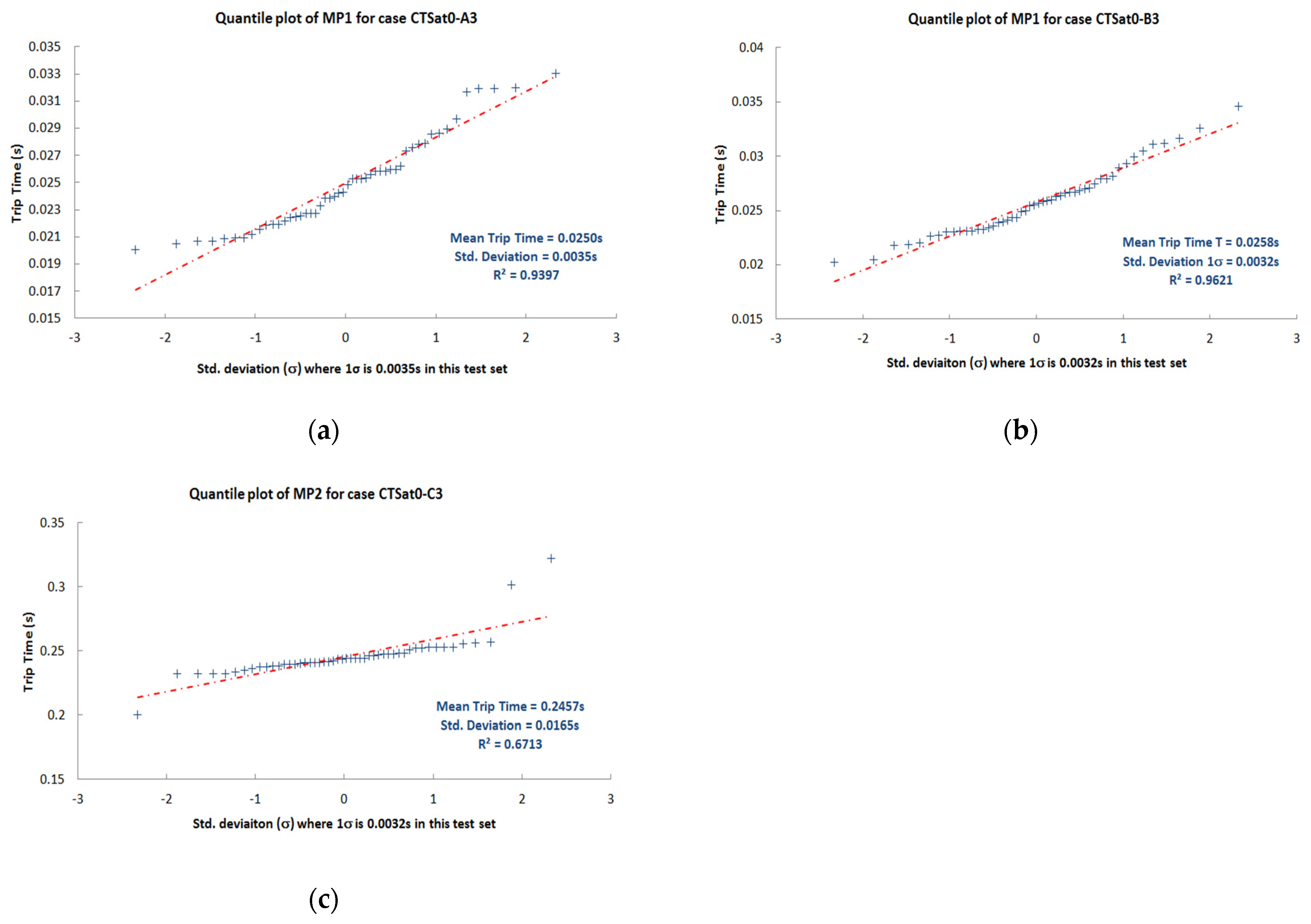
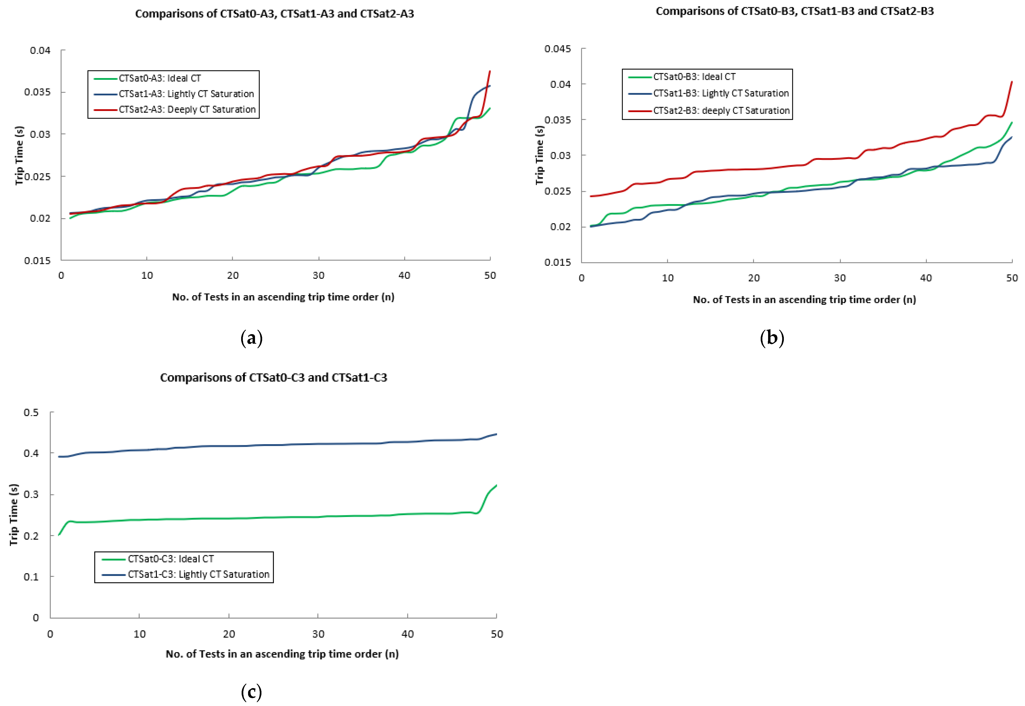
4.1.3. CTSat0 Test Cases in Category 3: Line-to-Line Fault at End (100%) of the Feeder
Comparisons of All Scenarios: CTSat0-A3, CTSat0-B3 and CTSat0-C3
4.2. Simulated CT Saturation Tests in HSR
4.2.1. CT Saturation Test Cases in Fault Category 1: Three-Phase-to-Ground Fault at 50% of the Feeder
- CTSat1-A1 (light CT saturation, no faulty components, 3Ph-G fault at 50% of the feeder);
- CTSat2-A1 (deep CT saturation, no faulty components, 3Ph-G fault at 50% of the feeder);
- CTSat1-B1 (light CT saturation, one faulty fibre, 3Ph-G fault at 50% of the feeder);
- CTSat2-B1 (deep CT saturation, one faulty fibre, 3Ph-G fault at 50% of the feeder);
- CTSat1-C1 (light CT saturation, one faulty AMU, 3Ph-G fault at 50% of the feeder);
- CTSat2-C1 (deep CT saturation, one faulty AMU, 3Ph-G fault at 50% of the feeder).
Comparisons of Scenarios CTSat1-A1, CTSat1-B1 and CTSat1-C1
Comparisons of Scenarios CTSat2-A1 and CTSat2-B1
4.2.2. CT Saturation Test Cases in Fault Category 3: Line-to-Line Fault at End of the Feeder
- CTSat1-A3 (light CT saturation, no faulty components, L-L-G fault at 100% of the feeder);
- CTSat2-A3 (deep CT saturation, no faulty components, L-L-G fault at 100% of the feeder);
- CTSat1-B3 (light CT saturation, one faulty fibre, L-L-G fault at 100% of the feeder);
- CTSat2-B3 (deep CT saturation, one faulty fibre, L-L-G fault at 100% of the feeder);
- CTSat1-C3 (light CT saturation, one faulty AMU, L-L-G fault at 100% of the feeder);
- CTSat2-C3 (deep CT saturation, one faulty AMU, L-L-G fault at 100% of the feeder).
Comparisons of CTSat1-A3, CTSat1-B3 and CTSat1-C3
Comparisons of CTSat2-A3, CTSat2-B3
4.3. Comparison Studies
4.3.1. Comparisons of Three-Phase-to-Ground Faults
4.3.2. Comparisons of Line-to-Line Ground (L-L-G) Faults
4.4. No CT Saturation Tests in PRP
4.4.1. CTSat0 Test Case Category 1: Three-Phase-to-Ground Fault at 50% of the Feeder
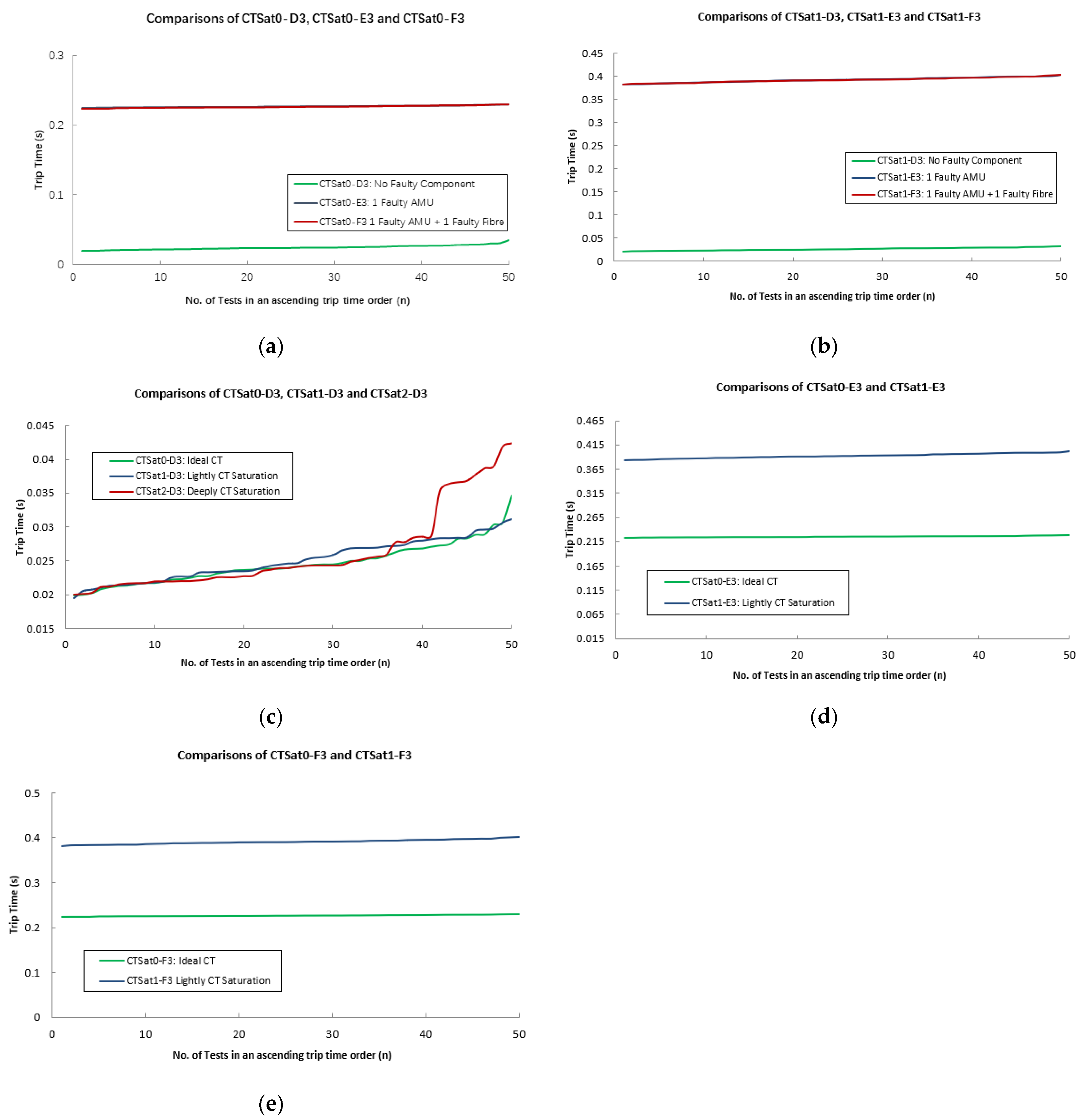
Scenario CTSat0-D1 (Ideal CT, No Faulty Components, 3ph-G Fault at 50% of the Feeder)
Scenario CTSat0-E1 (Ideal CT, One Faulty AMU, 3ph-G Fault at 50% of the Feeder)
Scenario CTSat0-F1: One Faulty AMU and Fibre in the PRP Configuration
4.4.2. CTSat0 Test Cases in Category 2: Single-Phase-to-Ground Fault at 70% of the Feeder
4.4.3. CTSat0 Test Cases in Category 3: Line-to-Line Fault at End (100%) of the Feeder
4.5. Tests with CT Saturation
- -
- Test case IV: three-phase-to-ground fault
- -
- Test case V: line-to-line fault.
4.5.1. CT Saturation Test Cases in Fault Category 1: Three-Phase-to-Ground Fault at 50% of the Feeder
4.5.2. CT Saturation Test Cases in Category 3: Line-to-Line Fault at End of the Feeder
5. Conclusions
Author Contributions
Funding
Institutional Review Board Statement
Informed Consent Statement
Data Availability Statement
Conflicts of Interest
References
- Song, E.Y.; FitzPatrick, G.J.; Lee, K.B.; Griffor, E. A Methodology for Modeling Interoperability of Smart Sensors in Smart Grids. IEEE Trans. Smart Grid 2022, 13, 555–563. [Google Scholar] [CrossRef]
- Powroźnik, P.; Szcześniak, P.; Turchan, K.; Krysik, M.; Koropiecki, I.; Piotrowski, K. An Elastic Energy Management Algorithm in a Hierarchical Control System with Distributed Control Devices. Energies 2022, 15, 4750. [Google Scholar] [CrossRef]
- Wang, C.-H.; Huang, C.-H.; You, D.-G. Condition-Based Multi-State-System Maintenance Models for Smart Grid System with Stochastic Power Supply and Demand. Sustainability 2022, 14, 7848. [Google Scholar] [CrossRef]
- Berger, L.T.; Schwager, A.; Escudero-Garzá, J.J. Power Line Communications for Smart Grid Applications. J. Electr. Comput. Eng. 2013, 2013, 712376. [Google Scholar] [CrossRef]
- Liao, L.; Ji, C. Smart Grid Dispatching Optimization for System Resilience Improvement. Complexity 2020, 2020, 8884279. [Google Scholar] [CrossRef]
- Kumari, A.; Chintukumar Sukharamwala, U.; Tanwar, S.; Raboaca, M.S.; Alqahtani, F.; Tolba, A.; Sharma, R.; Aschilean, I.; Mihaltan, T.C. Blockchain-Based Peer-to-Peer Transactive Energy Management Scheme for Smart Grid System. Sensors 2022, 22, 4826. [Google Scholar] [CrossRef] [PubMed]
- Kim, J.; Cho, S.; Shin, H. Advanced Power Distribution System Configuration for Smart Grid. IEEE Trans. Smart Grid 2013, 4, 353–358. [Google Scholar] [CrossRef]
- Nan, D.; Wang, W.; Mahfoud, R.J.; Haes Alhelou, H.; Siano, P.; Parente, M.; Zhang, L. Risk assessment of smart substation relay protection system based on markov model and risk transfer network. Energies 2020, 13, 1777. [Google Scholar] [CrossRef]
- Ali, I.; Thomas, M.S. Substation Communication Networks Architecture. In Proceedings of the 2008 Joint International Conference on Power System Technology and IEEE Power India Conference, New Delhi, India, 12–15 October 2008; pp. 1–8. [Google Scholar]
- Wang, Q.; Zhiqian, B.; Yingke, Z.; Yi, Z.; Wang, L.; Xiaowei, M.; Ming, Z. Novel protection & control architecture based on virtual devices in digital substation. In Proceedings of the 2016 IEEE Power and Energy Society General Meeting (PESGM), Boston, MA, USA, 17–21 July 2016; pp. 1–5. [Google Scholar]
- Holbach, J.; Rodriguez, J.; Wester, C.; Baigent, D.; Frisk, L.; Kunsman, S.; Hossenlopp, L. Status on the first IEC61850 based protection and control, multi-vendor project in the United States. In Proceedings of the 2007 Power Systems Conference: Advanced Metering, Protection, Control, Communication, and Distributed Resources, Clemson, SC, USA, 13–16 March 2007; pp. 254–277. [Google Scholar]
- Yang, M.T.; Gu, J.C.; Lin, P.C.; Huang, Y.L.; Huang, C.W.; Guan, J.L. Interoperability and performance analysis of IEC61850 based substation protection system. In Proceedings of World Academy of Science, Engineering and Technology. Int. J. Inf. Commun. Eng. 2013, 7, 138. [Google Scholar]
- Kirrmann, H.; Kleineberg, O.; Weber, K.; Weibel, H. HSR: Zero recovery time and low-cost redundancy for industrial Ethernet (high availability seamless redundancy IEC 62439-3). In Proceedings of the 2009 IEEE Conference on Emerging Technologies & Factory Automation, Palma de Mallorca, Spain, 22–25 September 2009; pp. 1–4. [Google Scholar]
- Kirrmann, H.; Weber, K.; Kleineberg, O.; Weibel, H. Seamless and low-cost redundancy for substation automation systems (high availability seamless redundancy HSR). In Proceedings of the 2011 IEEE Power and Energy Society General Meeting, Detroit, MI, USA, 24–28 July 2011; pp. 1–7. [Google Scholar]
- Heine, H.; Kleineberg, O. The high availability seamless redundancy protocol (HSR): Robust fault-tolerant networking and loop prevention through duplicate discard. In Proceedings of the 2012 9th IEEE International Workshop on Factory Communication Systems, Lemgo, Germany, 21–24 May 2012; pp. 213–222. [Google Scholar]
- Ngo, H.; Yang, H. Latency and Traffic Reduction for Process-Level Network in Smart Substation Based on High-Availability Seamless Redundancy. IEEE Trans. Ind. Electron. 2016, 63, 2181–2189. [Google Scholar] [CrossRef]
- Molina, E.; Jacob, E.; Toledo, N.; Astarloa, A. Performance Enhancement of High-Availability Seamless Redundancy (HSR) Networks Using OpenFlow. IEEE Commun. Lett. 2016, 20, 364–367. [Google Scholar] [CrossRef]
- Gutiérrez-Rivas, J.L.; López-Jiménez, J.; Ros, E.; Díaz, J. White Rabbit HSR: A Seamless Subnanosecond Redundant Timing System with Low-Latency Data Capabilities for the Smart Grid. IEEE Trans. Ind. Inform. 2018, 14, 3486–3494. [Google Scholar] [CrossRef]
- Araujo, J.Á.; Lázaro, J.; Astarloa, A.; Zuloaga, A.; Gárate, J.I. PRP and HSR for High Availability Networks in Power Utility Automation: A Method for Redundant Frames Discarding. IEEE Trans. Smart Grid 2015, 6, 2325–2332. [Google Scholar] [CrossRef]
- Urbina, M.; Acosta, T.; Lázaro, J.; Astarloa, A.; Bidarte, U. Smart Sensor: SoC Architecture for the Industrial Internet of Things. IEEE Internet Things J. 2019, 6, 6567–6577. [Google Scholar] [CrossRef]
- Popovic, M.; Mohiuddin, M.; Tomozei, D.; Boudec, J.L. iPRP—The Parallel Redundancy Protocol for IP Networks: Protocol Design and Operation. IEEE Trans. Ind. Inform. 2016, 12, 1842–1854. [Google Scholar] [CrossRef]
- Bertrand, P.; Mendik, M.; Hazel, T.; Tantin, P. CT Saturation Calculations: IEC standards and nonconventional instrument transformers. IEEE Ind. Appl. Mag. 2011, 18, 12–20. [Google Scholar] [CrossRef]
- Cao, W.; Qi, X.; Zhang, K.; Yin, X.; Zhang, Z.; Guo, Q. The impact of the CT saturation on the HVDC protection and its countermeasure. IEEJ Trans. Electr. Electron. Eng. 2017, 12, 834–840. [Google Scholar] [CrossRef]
- Lee, D.-G.; Kang, S.-H.; Nam, S.-R. Phasor estimation algorithm based on the least square technique during CT saturation. J. Electr. Eng. Technol. 2011, 6, 459–465. [Google Scholar] [CrossRef] [Green Version]


































| Test Case | Description | CT Model Parameters | 
|---|---|---|
| CT-Sat0 | Ideal CT or no CT saturation | Rburden = 0.5 ohm; L = 0.035 H | 
| CT-Sat1 | Light CT saturation | Rburden = 5 ohm; L = 0.35 H | 
| CT-Sat2 | Deep CT saturation | Rburden = 50 ohm; L = 3.5 H (initial operating point close to knee point) | 
| Scenario | Description | 
|---|---|
| A | No faulty device or fibre in the HSR configuration. | 
| B | One optical fibre has failed in the HSR configuration. The redundancy capability of the network is reduced. | 
| C | One AMU from a piece of equipment has failed in the HSR configuration. MP1—differential protection relay blocks their trip function. | 
| Scenario | Description | 
|---|---|
| D | No faulty device or fibre in the PRP configuration. | 
| E | One equipment AMU failure, and MP1—differential protection relays block their trip function. | 
| F | Equipment AMU failure + one fibre in PRP network is discounted. The redundancy capability of the network is reduced. | 
| Scenario | Description | Mean Trip Time [s] | Std. Deviation [s] | 
|---|---|---|---|
| CTSat0-A1 | Ideal CT, no faulty comp, 3Ph-G fault | 0.02634 | 0.0044 | 
| CTSat0-B1 | Light CT Sat, 1 faulty fibre, 3Ph-G fault | 0.02779 | 0.0052 | 
| CTSat0-C1 | Deep CT Sat, 1 faulty AMU, 3Ph-G fault | 0.03612 | 0.0028 | 
| Scenario | Description | Mean Trip Time [s] | Std. Deviation [s] | 
|---|---|---|---|
| CTSat0-A2 | Ideal CT, no faulty comp, 1Ph-G fault | 0.02556 | 0.0041 | 
| CTSat0-B2 | Ideal CT, 1 faulty fibre, 1Ph-G fault | 0.02675 | 0.0055 | 
| CTSat0-C2 | Ideal CT, 1 faulty AMU, 1Ph-G fault | 0.03758 | 0.0028 | 
| Scenario | Description | Mean Trip Time [s] | Std. Deviation [s] | 
|---|---|---|---|
| CTSat0-A3 | Ideal CT, no faulty comp, line-to-line fault | 0.02497 | 0.0035 | 
| CTSat0-B3 | Ideal CT, 1 faulty fibre, line-to-line fault | 0.02580 | 0.0032 | 
| CTSat0-C3 | Ideal CT, 1 faulty AMU, line-to-line fault | 0.2457 | 0.0165 | 
| Saturation | Case Sat0: No Saturation | Case Sat1: Lightly CT-Saturated | Case Sat 2: Deeply CT-Saturated | |
|---|---|---|---|---|
| Communication Faults | ||||
| Scenario A: full architecture | Trip | Trip | Trip | |
| Scenario B: 1 faulty fibre | Trip | Trip | Trip | |
| Scenario C: 1 faulty AMU | Trip | Trip | - | |
| Saturation | Case Sat0: No Saturation | Case Sat1: Lightly CT-Saturated | Case Sat 2: Deeply CT-Saturated | |
|---|---|---|---|---|
| Communication Faults | ||||
| Scenario A: full architecture | 0.02634 | 0.02405 | 0.02394 | |
| Scenario B: 1 faulty fibre | 0.02779 | 0.02500 | 0.02429 | |
| Scenario C: 1 faulty AMU | 0.02512 | 0.41187 | - | |
| Scenario | Description | Mean Trip Time [s] | Std. Deviation [s] | 
|---|---|---|---|
| CTSat0-D1 | No faulty device in architecture | 0.0263 | 0.048 | 
| CTSat0-E1 | 1 faulty AMU | 0.0321 | 0.070 | 
| CTSat0-1F | 1 faulty AMU + 1 disconnected fibre connection | 0.0307 | 0.043 | 
| Scenario | Description | Mean Trip Time [s] | Std. Deviation [s] | 
|---|---|---|---|
| CTSat0-D2 | No faulty device in architecture | 0.0277 | 0.0057 | 
| CTSat0-E2 | 1 faulty AMU | 0.0355 | 0.0050 | 
| CTSat0-F2 | 1 faulty AMU + 1 disconnected fibre connection | 0.0320 | 0.0058 | 
| Scenario | Description | Mean Trip Time [s] | Std. Deviation [s] | 
|---|---|---|---|
| CTSat0-D3 | No faulty device in architecture | 0.0245 | 0.0030 | 
| CTSat0-E3 | 1 faulty AMU | 0.2263 | 0.0013 | 
| CTSat0-F3 | 1 faulty AMU + 1 disconnected fibre connection | 0.2262 | 0.0014 | 
| Saturation | Case Sat0: No Saturation | Case Sat1: Lightly CT-Saturated | Case Sat 2: Deeply CT-Saturated | |
|---|---|---|---|---|
| Communication Faults | ||||
| Scenario A: full architecture | Trip | Trip | Trip | |
| Scenario B: 1 comm. fault | Trip | Trip | - | |
| Scenario C: 2 comm. faults | Trip | Trip | - | |
| Saturation | Case Sat0: No Saturation | Case Sat1: Lightly CT-Saturated | Case Sat 2: Deeply CT-Saturated | |
|---|---|---|---|---|
| Communication Faults | ||||
| Scenario A: full architecture | 0.0263 s | 0.0240 s | 0.0242 s | |
| Scenario B: 1 comm. fault | 0.0321 s | 0.3757 s | - | |
| Scenario C: 2 comm. faults | 0.0306 s | 0.3755 s | - | |
| Saturation | Case Sat0: No Saturation | Case Sat1: Lightly CT-Saturated | Case Sat 2: Deeply CT-Saturated | |
|---|---|---|---|---|
| Communication Faults | ||||
| Scenario A: full architecture | 0.0245 s | 0.0250 s | 0.0262 s | |
| Scenario B: 1 comm. fault | 0.2263 s | 0.3920 s | - | |
| Scenario C: 2 comm. faults | 0.2261 s | 0.3913 s | - | |
| Publisher’s Note: MDPI stays neutral with regard to jurisdictional claims in published maps and institutional affiliations. | 
© 2022 by the authors. Licensee MDPI, Basel, Switzerland. This article is an open access article distributed under the terms and conditions of the Creative Commons Attribution (CC BY) license (https://creativecommons.org/licenses/by/4.0/).
Share and Cite
Xu, L.; Huang, H.; Zhou, Y.; Deng, Y.; Li, H. Laboratorial Implementation of Future Intelligent Transmission Network Substation for Smart Grid. Electronics 2022, 11, 2659. https://doi.org/10.3390/electronics11172659
Xu L, Huang H, Zhou Y, Deng Y, Li H. Laboratorial Implementation of Future Intelligent Transmission Network Substation for Smart Grid. Electronics. 2022; 11(17):2659. https://doi.org/10.3390/electronics11172659
Chicago/Turabian StyleXu, Luoyun, Haizhou Huang, Yuhao Zhou, Yan Deng, and Haiyu Li. 2022. "Laboratorial Implementation of Future Intelligent Transmission Network Substation for Smart Grid" Electronics 11, no. 17: 2659. https://doi.org/10.3390/electronics11172659
APA StyleXu, L., Huang, H., Zhou, Y., Deng, Y., & Li, H. (2022). Laboratorial Implementation of Future Intelligent Transmission Network Substation for Smart Grid. Electronics, 11(17), 2659. https://doi.org/10.3390/electronics11172659
 
         
                                                


 
       