Toward Point-of-Interest Recommendation Systems: A Critical Review on Deep-Learning Approaches
Abstract
1. Introduction
1.1. Problem Statement
1.2. Definition of Research Question
- RQ1.
- What are the types of POI recommender systems, influencing factors, and challenges in their recommendation?
- RQ2.
- What are the traditional machine-learning methods and deep-learning models that have been considered in recent POI recommender systems?
- RQ3.
- What are the most widely employed evaluation metrics and popular datasets to evaluate POI recommendations based on deep learning?
- RQ4.
- What are the most significant future research trends and open issues?
1.3. Contributions of This Survey
2. Overview of POI Recommender Systems
2.1. Recommender System
- Acquire user preferences based on explicit and implicit data;
- Make recommendations using appropriate techniques;
- Present recommendation results to users.
2.1.1. Recommender Systems Based on Collaborative Filtering
2.1.2. Recommender Systems Based on Content Filtering
2.1.3. Recommender Systems Based on Other Methods
Recommender Systems Based on Graph
Recommender Systems Based on Knowledge
Recommender Systems Based on Demographic
Hybrid Recommender Systems
2.2. Social Recommender Systems
2.3. Point-of-Interest Recommender Systems
- User: individuals who are members of LBSNs to check-in;
- Location: the places that are visited by users;
- Region: an important factor in LBSN that can distinguish these systems from its traditional sample. This entity has two features: latitude and longitude. Due to this entity, users are more intent on visiting POIs that are close to their current location or that are placed in their area of interest;
- Time: This is very important for location-based recommender systems, and users may experience different behaviors at different times and events;
- Social relations: Some users are friends with each other in this network, which is called social relations. This feature is utilized to increase accuracy in location-based recommender systems because friends on LBSNs have more common interests than others.
2.4. Factors Influencing POI Recommendations
- Geographical influence: It is also called spatial influence. The behavior of the user’s check-in depends on the geographic characteristics of the location and has a tremendous impact on users’ visiting behaviors; the most important feature of POI recommender systems is compared to traditional ones [12,70,71]. According to Tobler’s first rule [72], users prefer to visit locations close to them instead of places far away, and as the distance increases, the probability of visiting a new location decreases.
- Temporal influence: For POI recommendation, temporal influence is a critical factor because check-in takes place with a certain pattern due to physical limitations [73]. As to routines in our daily lives, there are various possibilities for different places at different times of the day on different weekdays. Users’ check-in behaviors occur on weekdays due to work, lunch, or in the evening, and the POIs they check-in are next to work or home. On weekends, the behavior of check-ins changes, and that of users changes over time [74,75,76,77].
- Social influence and importance of friends’ behavior: The assumption is that the clients in their decisions are persuaded by the explanations and suggestions of their friends compared to other users. The importance of a friend [3] evaluates the influence of a friend while visiting the POI. Numerous studies [81,82,83,84,85,86] indicate that social relations are beneficial for the recommender systems, and the use of social factors to reinforce traditional recommendation systems has been investigated, both in memory-based methods [87,88] and in model-based techniques [89,90,91]. Attention to social influence and friend impression in POI selection has improved the recommendations of traditional recommender systems.
2.5. Challenges of POI Recommender Systems
- Heterogeneous data: LBSNs involve different kinds of information, containing not only geographical data about the position, locate descriptors, and check-in history, but, furthermore, media knowledge (e.g., comments and tweets on customers) and information about clients’ social relationships. This heterogeneous data illustrates user movements from different points of view, illuminating POI recommendation systems with various methods [12,31]. Extensive scientific research indicates that the social relationship between clients is a significant segment of the POI recommendation. In [27], a hybrid random walking method based on a graph with a star pattern was suggested, and it integrated multiple structures of heterogeneous links. In this article, frequency or the rating of social check-in is considered as an effective score to recommend;
- Physical limitations: Compared to services such as watching a film on Netflix and buying online from Amazon, physical restrictions limit check-in activity. Such constraints create check-in activity in LBSN, showing significant temporal and spatial features. For example, stores normally prepare tasks in a finite time;
- Complex relations: To provide online social networking tasks such as Instagram, Facebook, and Twitter, location is a new feature that creates novel relationships between spots as well as between spots and clients. Further, the spots where activities are shared change customer relationships who are ready for new friendships with geographic neighbors and to impact each other psychologically. Geographical proximity has a significant impact on the check-in of user behaviors and on points of interest. At LBSNs, customers are interacting with POIs physically, a unique phenomenon that is distinguished from traditional suggestions. Article authors [92] proposed a kernel density estimation approach for personal location recommendation based on social and geographic features (iGSLR) and used this structure to plot personal geographic and social influence. They estimated the interval distribution among each pair of places by kernel density estimation;
- Data Sparsity: The major issue in the POI recommendation strategy is data sparsity. Once someone is in a place and checks in a spot, the place and the time are registered by a check-in label and suggested to other clients to visit this place. For each person, repeating a visit to different locations is an item in the user-location sheet (matrix). Because not all places are visited by all users, a significant sparsity can be seen inside the matrix;
- Rich context: Different context knowledge of LBSNs, such as social relations, nearness to users, and geographical coordinates of the POI, can be observable. Context knowledge of this network is obscure and inadequate, making it difficult for the POI recommendation. For instance, the POI geographic distance of the concerned place can totally affect the user trajectory and behavior. Sometimes users visit a place such as a cinema that is close to their work or home and then suggest this certain place to friends.
3. Traditional Machine-Learning Methods and Deep-Learning Models in POI Recommendation
3.1. POI Recommender Systems Based on Traditional Machine-Learning Methods
3.1.1. POI Recommendation Systems Based on a Collaborative Filtering Method
3.1.2. POI Recommendation Systems Based on a Markov Chain Method
3.1.3. POI Recommendation Systems Based on a Matrix Factorization Method
3.1.4. POI Recommendation Systems Based on a Bayesian Personalized Ranking (BPR) Method
3.2. Deep-Learning Techniques in POI Recommender Systems
3.2.1. POI Recommendation System Based on the Multilayer Perceptron (MLP) Method
3.2.2. POI Recommendation System Based on the Autoencoder Method
3.2.3. POI Recommendation System Based on the Convolutional Neural Network (CNN) Method
3.2.4. POI Recommendation System Based on the Recurrent Neural Network (RNN) Method
3.2.5. POI Recommendation System Based on a Long Short-Term Memory (LSTM) Method
3.2.6. POI Recommendation System Based on the Gated Recurrent Unit (GRU) Method
3.2.7. POI Recommendation System Based on Deep Reinforcement Learning Method
3.3. Advantages and Disadvantages of Machine Learning and Deep Learning Models
4. The Most Widely Used Evaluation Metrics and Datasets
4.1. Review of Evaluation Metrics
4.2. Review of Datasets
5. Conclusions
- Many recent approaches on POI recommendations have used combination methods with deep-learning models to increase the accuracy of their recommendations and try to improve their suggestions to users;
- Geographic data, the importance of similar friendships, user preferences, and temporal data are the most commonly used factors in modeling solutions related to POI recommendations;
- The most widely used deep-learning methods in POI recommendation are LSTM and CNN, and the use of collaborative filtering models, matrix factorization, and its derivatives are popular along with another model;
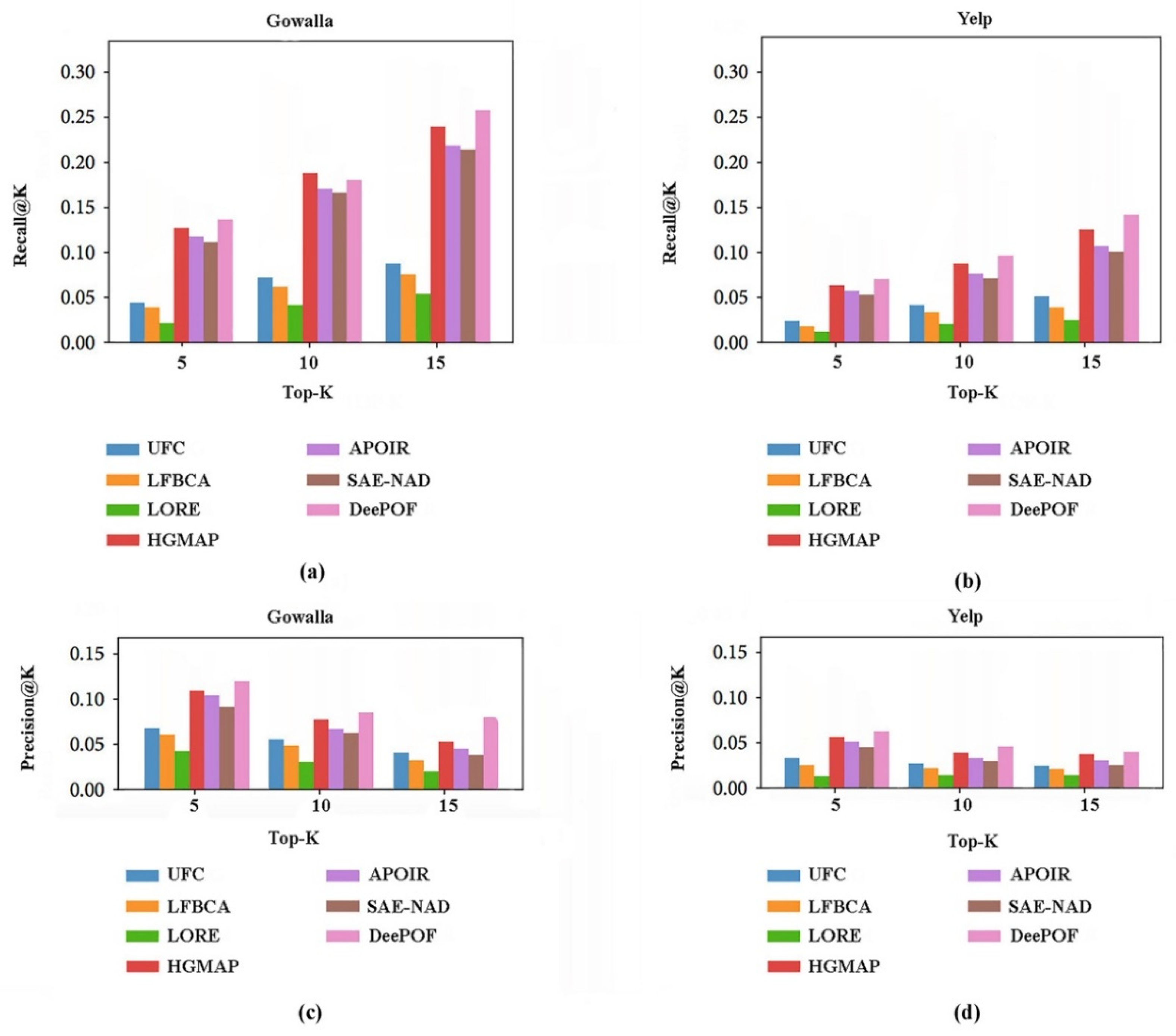
- Most of the datasets used in recent studies in the field of deep-learning-based POI recommendation have been extracted from data related to well-known LBSNs such as Foursquare, Gowalla and Yelp Moreover, evaluation metrics for comparison between approaches are mostly based on precision and recall measures, which illustrates the attention to accuracy.
- To make progress towards more useful POI recommendation systems and to promote high quality research, authors should present their problem-oriented strategy with a combination of up-to-date methods according to the audience and their concerns and needs and offer a proper solution.
- Researchers can develop a hybrid structure that incorporates the advantages of each technique and limits their disadvantages.
- Developing models to improve the realization of user behavior by incorporating influential factors such as geographical, temporal, social factors, textual data, sentiment analysis of images and videos, upcoming events, weather, traffic, use of IoT components, and sensors can be effective, and various methods such as natural language processing (NLP) and topic modeling help to create novel POI recommendation techniques. Some of these extra features may be useful to the user, some may be more appealing to POI owners, and depending on the type of issue, the best factors can be used.
- Users may have different choices depending on their situation in the city or or their traveling situation. Restrictions on the user’s choice of POI can be significant—factors such as a disease outbreak, telecommuting, the maximum travel length, the price of attractions, the unexpected crisis, staff strikes, and political conditions. It is recommended to use a more diverse dataset that examines the user from different angles because the user may have checked in under the conditions created by the system.
- In addition to accuracy, other dimensions of quality such as novelty and diversity can be considered in evaluations.
- Recommending system security and users’ privacy, paying attention to ethical issues, and preventing the misuse of users’ information are also important problems that should be investigated, and providing personal advice and hiding users’ sensitive information can be influential.
- Another issue is that few studies have demonstrated the code and how to preprocess data and implement them, so publishing this content realistically could help us to analyze the models and solutions better.
Author Contributions
Funding
Informed Consent Statement
Data Availability Statement
Acknowledgments
Conflicts of Interest
References
- Felfernig, A.; Friedrich, G.; Schmidt-Thieme, L. Guest editors introduction: Recommender systems. IEEE Intell. Syst. 2007, 22, 18–21. [Google Scholar] [CrossRef]
- Gao, Y.; Duan, Z.; Shi, W.; Feng, J.; Chiang, Y.Y. Personalized Recommendation Method of POI Based on Deep Neural Network. In Proceedings of the 2019 6th International Conference on Behavioral, Economic and Socio-Cultural Computing (BESC), Beijing, China, 28–30 October 2019. [Google Scholar] [CrossRef]
- Safavi, S.; Jalali, M. RecPOID: POI recommendation with friendship aware and deep CNN. Future Internet 2021, 13, 79. [Google Scholar] [CrossRef]
- Sit, M.A.; Koylu, C.; Demir, I. Identifying disaster-related tweets and their semantic, spatial and temporal context using deep learning, natural language processing and spatial analysis: A case study of Hurricane Irma. Int. J. Digit. Earth 2019, 12, 1205–1229. [Google Scholar] [CrossRef]
- Zhong, J.; Liu, Z.; Han, Z.; Han, Y.; Zhang, W. A CNN-Based Defect Inspection Method for Catenary Split Pins in High-Speed Railway. IEEE Trans. Instrum. Meas. 2019, 68, 2849–2860. [Google Scholar] [CrossRef]
- Zhang, Z.; Li, C.; Wu, Z.; Sun, A.; Ye, D.; Luo, X. NEXT: A neural network framework for next POI recommendation. Front. Comput. Sci. 2020, 14, 314–333. [Google Scholar] [CrossRef]
- Lecun, Y.; Bengio, Y.; Hinton, G. Deep learning. Nature 2015, 521, 436–444. [Google Scholar] [CrossRef]
- Batmaz, Z.; Yurekli, A.; Bilge, A.; Kaleli, C. A review on deep learning for recommender systems: Challenges and remedies. Artif. Intell. Rev. 2019, 52, 1–37. [Google Scholar] [CrossRef]
- Huang, L.; Ma, Y.; Wang, S.; Liu, Y. An Attention-based Spatiotemporal LSTM Network for Next POI Recommendation. IEEE Trans. Serv. Comput. 2019, 14, 1585–1597. [Google Scholar] [CrossRef]
- Yuan, J.; Hou, X.; Xiao, Y.; Cao, D.; Guan, W.; Nie, L. Multi-criteria active deep learning for image classification. Knowl. Based Syst. 2019, 172, 86–94. [Google Scholar] [CrossRef]
- Liu, Y.; Pham, T.A.N.; Cong, G.; Yuan, Q. An experimental evaluation of pointofinterest recommendation in locationbased social networks. Proc. VLDB Endow. 2017, 10, 1010–1021. [Google Scholar] [CrossRef]
- Lian, D.; Zheng, K.; Ge, Y.; Cao, L.; Chen, E.; Xie, X. GeoMF++: Scalable location recommendation via joint geographical modeling and matrix factorization. ACM Trans. Inf. Syst. 2018, 36, 1–29. [Google Scholar] [CrossRef]
- Fernández-tobías, I.; Cantador, I.; Kaminskas, M.; Ricci, F. Cross-domain recommender systems: A survey of the State of the Art. Span. Conf. Inf. Retr. 2012, 24, 187–198. [Google Scholar]
- Burke, R. SpringerLink—User Modeling and User-Adapted Interaction, Volume 12, Number 4. User Model. User-Adapt. Interact. 2002, 12, 331–370. [Google Scholar] [CrossRef]
- Su, X.; Khoshgoftaar, T.M. A Survey of Collaborative Filtering Techniques. Adv. Artif. Intell. 2009, 2009, 421425. [Google Scholar] [CrossRef]
- Yu, Y.; Chen, X. A Survey of Point-of-Interest Recommendation in Location-Based Social Networks. In Proceedings of the WebMedia’20: Brazillian Symposium on Multimedia and the Web, São Luís, Brazil, 30 November–4 December 2015. [Google Scholar]
- Wang, H.; Wang, N.; Yeung, D.Y. Collaborative deep learning for recommender systems. In Proceedings of the 21th ACM SIGKDD International Conference on Knowledge Discovery and Data Mining, Sydney, Australia, 10–13 August 2015; Volume 2015, pp. 1235–1244. [Google Scholar] [CrossRef]
- Liu, J.; Wu, C. Deep learning based recommendation: A survey. In Lecture Notes in Electrical Engineering, Proceedings of the Information Science and Applications 2017, Macau, China, 20–23 March 2017; Springer: Cham, Switzerland, 2017; Volume 424, pp. 451–458. [Google Scholar] [CrossRef]
- Ricci, F.; Shapira, B.; Rokach, L. Recommender Systems Handbook, 2nd ed.; Springer: Boston, MA, USA, 2015. [Google Scholar]
- Jannach, D.; Zanker, M.; Felfernig, A.; Friedrich, G. Recommender Systems: An Introduction; Cambridge University Press: Cambridge, UK, 2010. [Google Scholar]
- Arafeh, M.; Ceravolo, P.; Mourad, A.; Damiani, E.; Bellini, E. Ontology based recommender system using social network data. Future Gener. Comput. Syst. 2021, 115, 769–779. [Google Scholar] [CrossRef]
- Wang, H.; Li, P.; Liu, Y.; Shao, J. Towards real-time demand-aware sequential POI recommendation. Inf. Sci. 2021, 547, 482–497. [Google Scholar] [CrossRef]
- Hu, X.; Xu, J.; Wang, W.; Li, Z.; Liu, A. A graph embedding based model for fine-grained POI recommendation. Neurocomputing 2021, 428, 376–384. [Google Scholar] [CrossRef]
- Huo, Y.; Chen, B.; Tang, J.; Zeng, Y. Privacy-preserving point-of-interest recommendation based on geographical and social influence. Inf. Sci. 2021, 543, 202–218. [Google Scholar] [CrossRef]
- Bin Suhaim, A.; Berri, J. Context-Aware Recommender Systems for Social Networks: Review, Challenges and Opportunities. IEEE Access 2021, 9, 57440–57463. [Google Scholar] [CrossRef]
- Zeng, J.; Tang, H.; Zhao, Y.; Gao, M.; Wen, J. PR-RCUC: A POI Recommendation Model Using Region-Based Collaborative Filtering and User-Based Mobile Context. Mob. Netw. Appl. 2021, 26, 2434–2444. [Google Scholar] [CrossRef]
- Ye, M.; Yin, P.; Lee, W.C.; Lee, D.L. Exploiting geographical influence for collaborative point-of-interest recommendation. In Proceedings of the SIGIR’11—34th International ACM SIGIR Conference on Research and Development in Information, Beijing, China, 25–29 July 2011; pp. 325–334. [Google Scholar] [CrossRef]
- Cai, L.; Wen, W.; Wu, B.; Yang, X. A coarse-to-fine user preferences prediction method for point-of-interest recommendation. Neurocomputing 2021, 422, 1–11. [Google Scholar] [CrossRef]
- He, J.; Qi, J.; Ramamohanarao, K. TimeSAN: A Time-Modulated Self-Attentive Network for Next Point-of-Interest Recommendation. In Proceedings of the 2020 International Joint Conference on Neural Networks (IJCNN), Glasgow, UK, 19–24 July 2020. [Google Scholar] [CrossRef]
- Huang, L.; Ma, Y.; Liu, Y.; He, K. DAN-SNR: A Deep Attentive Network for Social-aware Next Point-of-interest Recommendation. ACM Trans. Internet Technol. 2021, 21, 1–25. [Google Scholar] [CrossRef]
- Doan, T.N.; Lim, E.P. Modeling location-based social network data with area attraction and neighborhood competition. Data Min. Knowl. Discov. 2019, 33, 58–95. [Google Scholar] [CrossRef]
- Zhao, H.; Yao, Q.; Kwok, J.T.; Lee, D.L. Collaborative filtering with social local models. In Proceedings of the 2017 IEEE International Conference on Data Mining (ICDM), New Orleans, LA, USA, 18–21 November 2017; Volume 2017, pp. 645–654. [Google Scholar] [CrossRef]
- Abrishami, S.; Naghibzadeh, M.; Jalali, M. Web page recommendation based on semantic web usage mining. In Lecture Notes in Computer Science, Proceedings of the 4th International Conference, SocInfo 2012, Lausanne, Switzerland, 5–7 December 2012; Springer: Cham, Switzerland, 2012; Volume 7710, pp. 393–405. [Google Scholar] [CrossRef]
- Wang, X.; Jin, H.; Zhang, A.; He, X.; Xu, T.; Chua, T.S. Disentangled Graph Collaborative Filtering. In Proceedings of the 43rd International ACM SIGIR Conference on Research and Development in Information Retrieval, Virtual Event, China, 25–30 July 2020; pp. 1001–1010. [Google Scholar] [CrossRef]
- Wang, X.; He, X.; Wang, M.; Feng, F.; Chua, T.S. Neural graph collaborative filtering. In Proceedings of the 42nd International ACM SIGIR Conference on Research and Development in Information Retrieval, Paris, France, 21–25 July 2019; pp. 165–174. [Google Scholar] [CrossRef]
- Zarzour, H.; Al-Sharif, Z.; Al-Ayyoub, M.; Jararweh, Y. A new collaborative filtering recommendation algorithm based on dimensionality reduction and clustering techniques. In Proceedings of the 2018 9th International Conference on Information and Communication Systems (ICICS), Irbid, Jordan, 3–5 April 2018; Volume 2018, pp. 102–106. [Google Scholar] [CrossRef]
- Xue, F.; He, X.; Wang, X.; Xu, J.; Liu, K.; Hong, R. Deep item-based collaborative filtering for top-N recommendation. ACM Trans. Inf. Syst. 2019, 37, 1–25. [Google Scholar] [CrossRef]
- Xin, X.; He, X.; Zhang, Y.; Zhang, Y.; Jose, J. Relational collaborative filtering: Modeling multiple item relations for recommendation. In Proceedings of the SIGIR’19: 42nd International ACM SIGIR Conference on Research and Development in Information Retrieval, Paris, France, 21–25 July 2019; pp. 125–134. [Google Scholar] [CrossRef]
- Liu, K.; Zheng, W.; Xiao, Y.; Zhai, X. POI Recommendation Algorithm based on Region Transfer Collaborative Filtering. In Proceedings of the 2022 IEEE 25th International Conference on Computer Supported Cooperative Work in Design (CSCWD), Hangzhou, China, 4–6 May 2022; pp. 903–907. [Google Scholar]
- Deldjoo, Y.; Schedl, M.; Knees, P. Content-based Music Recommendation: Evolution, State of the Art, and Challenges. arXiv 2021, arXiv:2107.11803. Available online: http://arxiv.org/abs/2107.11803 (accessed on 20 May 2022).
- Vahidnia, M.H. Point-of-Interest Recommendation in Location-based Social Networks Based on Collaborative Filtering and Spatial Kernel Weighting. Geocarto Int. 2022, 37. [Google Scholar] [CrossRef]
- Javed, U.; Shaukat, K.; Hameed, I.A.; Iqbal, F.; Alam, T.M.; Luo, S. A Review of Content-Based and Context-Based Recommendation Systems. Int. J. Emerg. Technol. Learn. 2021, 16, 274–306. [Google Scholar] [CrossRef]
- Geetha, G.; Safa, M.; Fancy, C.; Saranya, D. A Hybrid Approach using Collaborative filtering and Content based Filtering for Recommender System. J. Phys. Conf. Ser. 2018, 1000, 012101. [Google Scholar] [CrossRef]
- Son, J.; Kim, S.B. Content-based filtering for recommendation systems using multiattribute networks. Expert Syst. Appl. 2017, 89, 404–412. [Google Scholar] [CrossRef]
- Al-Bakri, N.F.; Hashim, S.H. Reducing Data Sparsity in Recommender Systems. J. Al-Nahrain Univ. Sci. 2018, 21, 138–147. [Google Scholar] [CrossRef]
- Pal, A.; Parhi, P.; Aggarwal, M. An improved content based collaborative filtering algorithm for movie recommendations. In Proceedings of the 2017 Tenth International Conference on Contemporary Computing (IC3), Noida, India, 10–12 August 2017; Volume 2018, pp. 1–3. [Google Scholar] [CrossRef]
- Vijesh Joe, C.; Raj, J.S. Location-based Orientation Context Dependent Recommender System for Users. J. Trends Comput. Sci. Smart Technol. 2021, 3, 14–23. [Google Scholar] [CrossRef]
- Qiao, Y.; Luo, X.; Li, C.; Tian, H.; Ma, J. Heterogeneous graph-based joint representation learning for users and POIs in location-based social network. Inf. Process. Manag. 2020, 57, 102151. [Google Scholar] [CrossRef]
- Wang, H.; Terrovitis, M.; Mamoulis, N. Location recommendation in location-based social networks using user check-in data. In Proceedings of the ACM International Symposium on Advances in Geographic Information Systems, Orlando, FL, USA, 5–8 November 2013; pp. 364–373. [Google Scholar] [CrossRef]
- Chen, H.; Wang, L.; Lin, Y.; Yeh, C.C.M.; Wang, F.; Yang, H. Structured graph convolutional networks with stochastic masks for recommender systems. In Proceedings of the 44th International ACM SIGIR Conference on Research and Development in Information Retrieval, Virtual Event, 11–15 July 2021; pp. 614–623. [Google Scholar] [CrossRef]
- Zhang, C.; Li, T.; Gou, Y.; Yang, M. KEAN: Knowledge Embedded and Attention-based Network for POI Recommendation. In Proceedings of the 2020 IEEE International Conference on Artificial Intelligence and Computer Applications (ICAICA), Dalian, China, 27–29 June 2020; Volume 2020, pp. 847–852. [Google Scholar] [CrossRef]
- Zhao, G.; Lou, P.; Qian, X.; Hou, X. Personalized location recommendation by fusing sentimental and spatial context. Knowl.-Based Syst. 2020, 196, 105849. [Google Scholar] [CrossRef]
- Colombo-Mendoza, L.O.; Valencia-García, R.; Rodríguez-González, A.; Colomo-Palacios, R.; Alor-Hernández, G. Towards a knowledge-based probabilistic and context-aware social recommender system. J. Inf. Sci. 2018, 44, 464–490. [Google Scholar] [CrossRef]
- Sridevi, M.; Rao, R.R. DECORS: A Simple and Efficient Demographic Collaborative Recommender System for Movie Recommendation. Adv. Comput. Sci. Technol. 2017, 10, 1969–1979. Available online: http://www.ripublication.com (accessed on 20 May 2022).
- Safoury, L.; Salah, A. Exploiting User Demographic Attributes for Solving Cold-Start Problem in Recommender System. In Proceedings of the 2018 7th International Conference on Software and Computing Technologies (ICSCT 2018), Kuala Lumpur, Malaysia, 7–9 April 2013; Volume 1, pp. 303–307. [Google Scholar] [CrossRef]
- Anwar, T.; Uma, V. Comparative study of recommender system approaches and movie recommendation using collaborative filtering. Int. J. Syst. Assur. Eng. Manag. 2021, 12, 426–436. [Google Scholar] [CrossRef]
- Qureshi, S.A. A Novel Model for Explainable Hostel Recommender System Using Hybrid Filtering. Lgurjcsit 2021, 5, 1–12. Available online: http://lgurjcsit.lgu.edu.pk/index.php/lgurjcsit/article/view/185 (accessed on 20 May 2022).
- Tian, Y.; Zheng, B.; Wang, Y.; Zhang, Y.; Wu, Q. College library personalized recommendation system based on hybrid recommendation algorithm. Procedia CIRP 2019, 83, 490–494. [Google Scholar] [CrossRef]
- Li, L.; Zhang, Z.; Zhang, S. Hybrid Algorithm Based on Content and Collaborative Filtering in Recommendation System Optimization and Simulation. Sci. Program. 2021, 2021, 7427409. [Google Scholar] [CrossRef]
- Fu, M.; Qu, H.; Yi, Z.; Lu, L.; Liu, Y. A Novel Deep Learning-Based Collaborative Filtering Model for Recommendation System. IEEE Trans. Cybern. 2019, 49, 1084–1096. [Google Scholar] [CrossRef]
- Fu, L.; Ma, X. An Improved Recommendation Method Based on Content Filtering and Collaborative Filtering. Complexity 2021, 2021, 5589285. [Google Scholar] [CrossRef]
- Shokeen, J.; Rana, C. A study on features of social recommender systems. Artif. Intell. Rev. 2020, 53, 965–988. [Google Scholar] [CrossRef]
- Sun, J.; Ying, R.; Jiang, Y.; He, J.; Ding, Z. Leveraging friend and group information to improve social recommender system. Electron. Commer. Res. 2020, 20, 147–172. [Google Scholar] [CrossRef]
- Dakhel, A.M.; Malazi, H.T.; Mahdavi, M. A social recommender system using item asymmetric correlation. Appl. Intell. 2018, 48, 527–540. [Google Scholar] [CrossRef]
- Ahmadian, S.; Joorabloo, N.; Jalili, M.; Ren, Y.; Meghdadi, M.; Afsharchi, M. A social recommender system based on reliable implicit relationships. Knowl. Based Syst. 2020, 192, 105371. [Google Scholar] [CrossRef]
- Singh, R.K.; Singh, P.; Bathla, G. User-review oriented social recommender system for event planning. Int. Inf. Eng. Technol. Assoc. 2020, 25, 669–675. [Google Scholar] [CrossRef]
- Li, N.; Chen, G. Analysis of a location-based social network. In Proceedings of the 2009 International Conference on Computational Science and Engineering, Vancouver, BC, Canada, 29–31 August 2009; Volume 4, pp. 263–270. [Google Scholar] [CrossRef]
- Huang, C.-M.H.C.-M.; Huang, C.-Y.W.C.-M. The Point Of Interest (POI) Recommendation for Mobile Digital Culture Heritage (M-DCH) Based on the Behavior Analysis using the Recurrent Neural Networks (RNN) and User-Collaborative Filtering. J. Internet Technol. 2021, 22, 821–833. [Google Scholar] [CrossRef]
- Sun, L. POI Recommendation Method Based on Multi-Source Information Fusion Using Deep Learning in Location-Based Social Networks. J. Inf. Process. Syst. 2021, 17, 352–368. [Google Scholar] [CrossRef]
- Li, K.; Wei, H.; He, X.; Tian, Z. Relational POI recommendation model combined with geographic information. PLoS ONE 2022, 17, e0266340. [Google Scholar] [CrossRef]
- Dai, S.; Yu, Y.; Fan, H.; Dong, J. Spatio-Temporal Representation Learning with Social Tie for Personalized POI Recommendation. Data Sci. Eng. 2022, 7, 44–56. [Google Scholar] [CrossRef]
- Tobler, A.W.R. Clark University. Science 1889, 13, 462–465. [Google Scholar] [CrossRef]
- Liu, X.; Yang, Y.; Xu, Y.; Yang, F.; Huang, Q.; Wang, H. Real-time POI recommendation via modeling long-and short-term user preferences. Neurocomputing 2022, 467, 454–464. [Google Scholar] [CrossRef]
- Kefalas, P.; Symeonidis, P.; Manolopoulos, Y. Recommendations based on a heterogeneous spatio-temporal social network. World Wide Web 2018, 21, 345–371. [Google Scholar] [CrossRef]
- Yuan, Q.; Cong, G.; Sun, A. Graph-based point-of-interest recommendation with geographical and temporal influences. In Proceedings of the CIKM’14: 2014 ACM Conference on Information and Knowledge Management, Shanghai, China, 3–7 November 2014; pp. 659–668. [Google Scholar] [CrossRef]
- Yuan, F.; Jose, J.M.; Guo, G.; Chen, L.; Yu, H.; Alkhawaldeh, R.S. Joint Geo-Spatial Preference and Pairwise Ranking for Point-of-Interest Recommendation. In Proceedings of the 2016 IEEE 28th International Conference on Tools with Artificial Intelligence (ICTAI), San Jose, CA, USA, 6–8 November 2016; Volume 9781509044, pp. 46–53. [Google Scholar] [CrossRef]
- Gao, H.; Tang, J.; Hu, X.; Liu, H. Exploring Temporal Effects for Location Recommendation on location-based social networks. In Proceedings of the 7th ACM Conference on Recommender Systems, Hong Kong, China, 12–16 October 2013. [Google Scholar]
- Zhao, S.; Lyu, M.R.; King, I. Geo-teaser: Geo-temporal sequential embedding rank for POI recommendation. In SpringerBriefs Computer Science; Springer Nature: Cham, Switzerland, 2018; pp. 57–78. [Google Scholar] [CrossRef]
- Xie, W.; Bindel, D.; Demers, A.; Gehrke, J. Edge-Weighted Personalized PageRank. In Proceedings of the KDD’15: The 21th ACM SIGKDD International Conference on Knowledge Discovery and Data Mining, Sydney, Australia, 10–13 August 2015; pp. 1325–1334. [Google Scholar] [CrossRef]
- Hossain, M.B.; Arefin, M.S.; Sarker, I.H.; Kowsher, M.; Dhar, P.K.; Koshiba, T. CARAN: A Context-Aware Recency-Based Attention Network for Point-of-Interest Recommendation. IEEE Access 2022, 10, 36299–36310. [Google Scholar] [CrossRef]
- Cheng, C.; Yang, H.; King, I.; Lyu, M.R. Fused matrix factorization with geographical and social influence in location-based social networks. Proc. Natl. Conf. Artif. Intell. 2012, 1, 17–23. [Google Scholar] [CrossRef]
- Li, H.; Ge, Y.; Hong, R.; Zhu, H. Point-of-interest recommendations: Learning potential check-ins from friends. In Proceedings of the KDD’16: The 22nd ACM SIGKDD International Conference on Knowledge Discovery and Data Mining, San Francisco, CA, USA, 13–17 August 2016; pp. 975–984. [Google Scholar] [CrossRef]
- Zhang, C.; Zhang, K.; Yuan, Q.; Zhang, L.; Hanratty, T.; Han, J. GMove: Group-level mobility modeling using geo-tagged social media. In Proceedings of the KDD’16: The 22nd ACM SIGKDD International Conference on Knowledge Discovery and Data Mining, 13–17August 2016; pp. 1305–1314. [Google Scholar] [CrossRef]
- Li, J.; Wang, X.; Feng, W. A Point-of-Interest Recommendation Algorithm Combining Social Influence and Geographic Location Based on Belief Propagation. IEEE Access 2020, 8, 165748–165756. [Google Scholar] [CrossRef]
- Yu, D.; Wanyan, W.; Wang, D. Leveraging contextual influence and user preferences for point-of-interest recommendation. Multimed. Tools Appl. 2021, 80, 1487–1501. [Google Scholar] [CrossRef]
- Cai, Z.; Yuan, G.; Qiao, S.; Qu, S.; Zhang, Y.; Bing, R. FG-CF: Friends-aware graph collaborative filtering for POI recommendation. Neurocomputing 2022, 488, 107–119. [Google Scholar] [CrossRef]
- Mei, J.P.; Yu, H.; Shen, Z.; Miao, C. A social influence based trust model for recommender systems. Intell. Data Anal. 2017, 21, 263–277. [Google Scholar] [CrossRef]
- Liu, G.; Qiu, H.; Shi, B.; Wang, Z. Imitation and memory-based self-organizing behaviors under voluntary vaccination. In Proceedings of the 2017 International Conference on Security, Pattern Analysis, and Cybernetics (SPAC), Shenzhen, China, 15–17 December 2017; pp. 491–496. [Google Scholar] [CrossRef]
- Lovreglio, R.; Ronchi, E.; Nilsson, D. An Evacuation Decision Model based on perceived risk, social influence and behavioural uncertainty. Simul. Model. Pract. Theory 2016, 66, 226–242. [Google Scholar] [CrossRef]
- Win, N.N.; Aung, P.P.; Phyo, M.T. Factors Influencing Behavioral Intention to Use and Use Behavior of Mobile Banking in Myanmar Using a Model Based on Unified Acceptance Theory. Hum. Behav. Dev. Soc. 2021, 22, 19–30. [Google Scholar]
- Antelmi, A.; Cordasco, G.; Spagnuolo, C.; Szufel, P. Social Influence Maximization in Hypergraphs. Entropy 2021, 23, 796. [Google Scholar] [CrossRef] [PubMed]
- Zhang, J.D.; Chow, C.Y. iGSLR: Personalized geo-social location recommendation: A kernel density estimation approach. In Proceedings of the 21st ACM SIGSPATIAL International Conference on Advances in Geographic Information Systems, Orlando, FL, USA, 5–8 November 2013; pp. 334–343. [Google Scholar] [CrossRef]
- Setiowati, S.; Adji, T.B.; Ardiyanto, I. Point of Interest (POI) Recommendation System using. Implicit Feedback Based on K-Means+ Clustering. And User-Based Collaborative Filtering. Comput. Eng. Appl. J. 2022, 11, 73–88. [Google Scholar]
- Ben Schafer, J.; Frankowski, D.; Herlocker, J.; Sen, S. LNCS 4321—Collaborative Filtering Recommender Systems. In The Adaptive Web 2007; Springer: Berlin/Heidelberg, Germany, 2014. [Google Scholar]
- Zeng, J.; Li, F.; He, X.; Wen, J. Fused collaborative filtering with user preference, geographical and social influence for point of interest recommendation. Int. J. Web Serv. Res. 2019, 16, 40–52. [Google Scholar] [CrossRef]
- Yin, M.; Liu, Y.; Zhou, X.; Sun, G. A Fuzzy Clustering Based Collaborative Filtering Algorithm for Time-Aware POI Recommendation. J. Phys. Conf. Ser. 2021, 1746, 012037. [Google Scholar] [CrossRef]
- Wang, W.; Chen, J.; Wang, J.; Chen, J.; Liu, J.; Gong, Z. Trust-Enhanced Collaborative Filtering for Personalized Point of Interests Recommendation. IEEE Trans. Ind. Inform. 2020, 16, 6124–6132. [Google Scholar] [CrossRef]
- Zhu, J.; Ma, S.; Li, J. POI recommendation based on first-order collaborative filtering tree. In Proceedings of the 2019 15th International Conference on Mobile Ad-Hoc and Sensor Networks (MSN), Shenzhen, China, 11–13 December 2019; pp. 265–270. [Google Scholar] [CrossRef]
- Wang, C.M.; Wang, C.L.; Xu, L. User-adaptive Item-based collaborative filtering recommendation algorithm. Appl. Res. Comput. 2013, 30, 3606–3609. [Google Scholar]
- Sarwar, B.; Karypis, G.; Konstan, J.; Riedl, J. Item-based collaborative filtering recommendation algorithms. In Proceedings of the Web Conference, Hong Kong, China, 1–5 May 2001; pp. 285–295. [Google Scholar] [CrossRef]
- Linden, G.; Smith, B.; York, J. Amazon.com recommendations: Item-to-item collaborative filtering. IEEE Internet Comput. 2003, 7, 76–80. [Google Scholar] [CrossRef]
- Anwar, T.; Uma, V.; Hussain, M.I.; Pantula, M. Collaborative filtering and kNN based recommendation to overcome cold start and sparsity issues: A comparative analysis. Multimed. Tools Appl. 2022, 81, 1–19. [Google Scholar] [CrossRef]
- Hao, Y.; Shi, J. Jointly Recommendation Algorithm of KNN Matrix Factorization with Weights. J. Electr. Eng. Technol. 2022, 17, 1–8. [Google Scholar] [CrossRef]
- Wu, D.; Luo, X.; Shang, M.; He, Y.; Wang, G.; Wu, X. A Data-Characteristic-Aware Latent Factor Model for Web Services QoS Prediction. IEEE Trans. Knowl. Data Eng. 2022, 34, 2525–2538. [Google Scholar] [CrossRef]
- Wu, D.; Shang, M.; Luo, X.; Member, S.; Wang, Z. An L1-and-L2-norm-oriented Latent Factor Model for Recommender Systems. IEEE Trans. Neural Netw. Learn. Syst. 2021, 32, 1–14. [Google Scholar] [CrossRef] [PubMed]
- Ngaffo, A.N.; Choukair, Z. A deep neural network-based collaborative filtering using a matrix factorization with a twofold regularization. Neural Comput. Appl. 2022, 34, 6991–7003. [Google Scholar] [CrossRef]
- Wu, D.; He, Q.; Luo, X.; Shang, M.; He, Y.; Wang, G. A Posterior-Neighborhood-Regularized Latent Factor Model for Highly Accurate Web Service QoS Prediction. IEEE Trans. Serv. Comput. 2022, 15, 793–805. [Google Scholar] [CrossRef]
- Wu, D.; Luo, X.; Shang, M.; He, Y.; Wang, G.; Zhou, M. A deep latent factor model for high-dimensional and sparse matrices in recommender systems. IEEE Trans. Syst. Man Cybern. Syst. 2021, 51, 4285–4296. [Google Scholar] [CrossRef]
- Wu, D.; Zhang, P.; He, Y.; Luo, X. A Double-Space and Double-Norm Ensembled Latent Factor Model for Highly Accurate Web Service QoS Prediction. IEEE Trans. Serv. Comput. 2022, 15. [Google Scholar] [CrossRef]
- Yu, X.; Hu, Q.; Li, H.; Du, J.; Gao, J.; Sun, L. Cross-domain recommendation based on latent factor alignment. Neural Comput. Appl. 2022, 34, 3421–3432. [Google Scholar] [CrossRef]
- Yuan, Q.; Cong, G.; Ma, Z.; Sun, A.; Magnenat-Thalmann, N. Time-aware point-of-interest recommendation. In Proceedings of the 36th International ACM SIGIR Conference on Research and Development in Information Retrieval—SIGIR’13, Dublin, Ireland, 28 July–1 August 2013; pp. 363–372. [Google Scholar] [CrossRef]
- Geyer, C.J. Practical markov chain monte carlo. Stat. Sci. 1992, 7, 473–483. [Google Scholar] [CrossRef]
- Rendle, S.; Freudenthaler, C.; Schmidt-Thieme, L. Factorizing personalized Markov chains for next-basket recommendation. In Proceedings of the 19th International Conference on World Wide Web, Raleigh, NC, USA, 26–30 April 2010; pp. 811–820. [Google Scholar] [CrossRef]
- Whitt, W. Continuous-Time Markov Chains; Department of Industrial Engineering and Operations Research, Columbia University: New York, NY, USA, 2014. [Google Scholar]
- Gómez, S.; Arenas, A.; Borge-Holthoefer, J.; Meloni, S.; Moreno, Y. Discrete-time Markov chain approach to contact-based disease spreading in complex networks. Eur. Lett. 2010, 89, 38009. [Google Scholar] [CrossRef]
- Li, R. Joint Geographical and Temporal Modeling Based on Matrix Factorization for Point-of-Interest Recommendation. Wirel. Commun. Mob. Comput. 2021, 2021, 4359369. [Google Scholar] [CrossRef]
- Lian, D.; Zhao, C.; Xie, X.; Sun, G.; Chen, E.; Rui, Y. GeoMF: Joint geographical modeling and matrix factorization for point-of-interest recommendation. In Proceedings of the 20th ACMSIGKDD International Conference on Knowledge Discovery and Data Mining ACM, New York, NY, USA, 24–27 August 2014; pp. 831–840. [Google Scholar]
- Sang, J.; Mei, T.; Sun, J.T.; Xu, C.; Li, S. Probabilistic sequential POIs recommendation via check-in data. In Proceedings of the SIGSPATIAL’12: The 20th International Conference on Advances in Geographic Information Systems, New York, NY, USA, 6–9 November 2012; pp. 402–405. [Google Scholar] [CrossRef]
- Zhang, J.D.; Chow, C.Y.; Li, Y. LORE: Exploiting sequential influence for location recommendations. In Proceedings of the ACM International Symposium on Advances in Geographic Information Systems, Dallas, TX, USA, 4–7 November 2014; pp. 103–112. [Google Scholar] [CrossRef]
- Xu, B.; Ge, C.; Zhao, W.; Cao, J.; Pan, R. A New Self-Adaptive Hybrid Markov Topic Model Poi Recommendation in Social Networks. J. Circuits Syst. Comput. 2022, 31, 2250039. [Google Scholar] [CrossRef]
- Salakhutdinov, R.; Mnih, A. Probabilistic matrix factorization. In Proceedings of the Advances in Neural Information Processing Systems 20 (NIPS 2007), Vancouver, BC, Canada, 3–6 December 2007; pp. 1–8. [Google Scholar]
- Koren, Y.; Bell, R.; Volinsky, C. Matrix factorization techniques for recommender systems. Computer 2009, 42, 30–37. [Google Scholar] [CrossRef]
- Wang, X.; Nguyen, M.; Carr, J.; Cui, L.; Lim, K. A group preference-based privacy-preserving POI recommender system. ICT Express. 2020, 6, 204–208. [Google Scholar] [CrossRef]
- Wang, H.; Shen, H.; Ouyang, W.; Cheng, X. Exploiting POI-specific geographical influence for point-of-interest recommendation. IJCAI Int. Jt. Conf. Artif. Intell. 2018, 2018, 3877–3883. [Google Scholar] [CrossRef]
- Han, P.; Shang, S.; Sun, A.; Zhao, P.; Zheng, K.; Kalnis, P. AUC-MF: Point of interest recommendation with AUC maximization. In Proceedings of the 2019 IEEE 35th International Conference on Data Engineering (ICDE), Macao, China, 8–11 April 2019; pp. 1558–1561. [Google Scholar] [CrossRef][Green Version]
- Huang, J.; Tong, Z.; Feng, Z. Geographical POI recommendation for internet of things: A federated learning approach using matrix factorization. Int. J. Commun. Syst. 2022, 35, e5161. [Google Scholar] [CrossRef]
- Rahmani, H.A.; Aliannejadi, M.; Baratchi, M.; Crestani, F. Joint Geographical and Temporal Modeling Based on Matrix Factorization for Point-of-Interest Recommendation; 12035 LNCS; Springer International Publishing: Cham, Switzerland, 2020. [Google Scholar]
- Raftery, A.E. Bayesian model selection in social research. Sociol. Methodol. 1995, 25, 111. [Google Scholar] [CrossRef]
- Rendle, S.; Freudenthaler, C.; Gantner, Z.; Schmidt-Thieme, L. BPR: Bayesian personalized ranking from implicit feedback. In Proceedings of the UAI’09: 25 Conference on Uncertainty in Artificial Intelligence, Montreal, QC, Canada, 18–21 June 2009; pp. 452–461. [Google Scholar]
- Jiang, Z.; Liu, H.; Fu, B.; Wu, Z.; Zhang, T. Recommendation in heterogeneous information networks based on generalized random walk model and Bayesian Personalized Ranking. In Proceedings of the WSDM 2018: The Eleventh ACM International Conference on Web Search and Data Mining, Marina Del Rey, CA, USA, 5–9 February 2018; pp. 288–296. [Google Scholar] [CrossRef]
- Guo, L.; Jiang, H.; Wang, X.; Liu, F. Learning to recommend point-of-interest with the weighted Bayesian personalized ranking method in LBSNs. Information 2017, 8, 20. [Google Scholar] [CrossRef]
- Li, X.; Han, D.; He, J.; Liao, L.; Wang, M. Next and next new POI recommendation via latent behavior pattern inference. ACM Trans. Inf. Syst. 2019, 37, 1–28. [Google Scholar] [CrossRef]
- Hu, Y.; Xiong, F.; Pan, S.; Xiong, X.; Wang, L.; Chen, H. Bayesian personalized ranking based on multiple-layer neighborhoods. Inf. Sci. 2021, 542, 156–176. [Google Scholar] [CrossRef]
- Harper, F.M.; Konstan, J.A. The movielens datasets: History and context. ACM Trans. Interact. Intell. Syst. 2015, 5, 1–19. [Google Scholar] [CrossRef]
- El Alaoui, D.; Riffi, J.; Sabri, A.; Aghoutane, B.; Yahyaouy, A.; Tairi, H. Deep GraphSAGE-based recommendation system: Jumping knowledge connections with ordinal aggregation network. Neural Comput. Appl. 2022, 34, 1–12. [Google Scholar] [CrossRef]
- Rumelhart, D.E.; Hinton, G.E.; Williams, R.J. Learning representations by back-propagating errors. Nature 1986, 323, 533–536. [Google Scholar] [CrossRef]
- Ding, R.; Chen, Z. RecNet: A deep neural network for personalized POI recommendation in location-based social networks. Int. J. Geogr. Inf. Sci. 2018, 32, 1631–1648. [Google Scholar] [CrossRef]
- Sun, H.; Xu, J.; Zhou, R.; Chen, W.; Zhao, L.; Liu, C. HOPE: A hybrid deep neural model for out-of-town next POI recommendation. World Wide Web 2021, 24, 1749–1768. [Google Scholar] [CrossRef]
- Gupta, V.; Bedathur, S. Doing More with Less: Overcoming Data Scarcity for POI Recommendation via Cross-Region Transfer. ACM Trans. Intell. Syst. Technol. (TIST) 2022, 13, 1–24. [Google Scholar] [CrossRef]
- Ma, Y.; Gan, M. DeepAssociate: A deep learning model exploring sequential influence and history-candidate association for sequence recommendation. Expert Syst. Appl. 2021, 185, 115587. [Google Scholar] [CrossRef]
- Lee, J.; Shin, J.A.; Chae, D. Personalized Tour Recommendation via Analyzing User Tastes for Travel Distance, Diversity and Popularity. Electronics 2022, 11, 1120. [Google Scholar] [CrossRef]
- Ma, C.; Wang, Q.; Zhang, Y.; Liu, X. Point-of-interest recommendation: Exploiting self-attentive autoencoders with neighbor-aware influence. In Proceedings of the CIKM’18: The 27th ACM International Conference on Information and Knowledge Management, Torino, Italy, 22–26 October 2018; pp. 697–706. [Google Scholar] [CrossRef]
- Feng, H.; Huang, K.; Li, J.; Gao, R.; Liu, D.; Song, C. Hybrid Point of Interest Recommendation Algorithm Based on Deep Learning. Dianzi Yu Xinxi Xuebao/J. Electron. Inf. Technol. 2019, 41, 880–887. [Google Scholar] [CrossRef]
- Mahmood, A.; Bennamoun, M.; An, S.; Sohel, F.; Boussaid, F.; Hovey, R.; Kendrick, G.; Fisher, R.B. Deep Learning for Coral Classification, 1st ed.; Elsevier Inc.: Amsterdam, The Netherlands, 2017. [Google Scholar]
- Sahoo, A.K.; Pradhan, C.; Barik, R.K.; Dubey, H. DeepReco: Deep learning based health recommender system using collaborative filtering. Computation 2019, 7, 25. [Google Scholar] [CrossRef]
- Sudharshana, P.J.; Petitjean, C.; Spanhol, F.; Oliveira, L.E.; Heutte, L.; Honeine, P. Multiple Instance Learning for Histopathological Breast Cancer Images to cite this version: HAL Id: Hal-01965039 Multiple Instance Learning for Histopathological Breast Cancer Images. Expert Syst. Appl. 2019, 117, 103–111. [Google Scholar]
- Ranjbarzadeh, R.; Dorosti, S.; Ghoushchi, S.J.; Safavi, S.; Razmjooy, N.; Sarshar, N.T.; Anari, S.; Bendechache, M. Nerve optic segmentation in CT images using a deep learning model and a texture descriptor. Complex Intell. Syst. 2022, 8, 1–15. [Google Scholar] [CrossRef]
- Safavi, S.; Jalali, M. DeePOF: A hybrid approach of deep convolutional neural network and friendship to Point-of-Interest (POI) recommendation system in location-based social networks. Concurr. Comput. Pract. Exp. 2022, 34, e6981. [Google Scholar] [CrossRef]
- Khan, A.; Sohail, A.; Zahoora, U.; Qureshi, A.S. A Survey of the Recent Architectures of Deep Convolutional Neural Networks; Springer: Dordrecht, The Netherlands, 2020; Volume 53. [Google Scholar]
- Xing, S.; Liu, F.; Zhao, X.; Li, T. Points-of-interest recommendation based on convolution matrix factorization. Appl. Intell. 2018, 48, 2458–2469. [Google Scholar] [CrossRef]
- Yang, D.; Zhang, J.; Wang, S.; Zhang, X. A Time-Aware CNN-Based Personalized Recommender System. Complexity 2019, 2019, 9476981. [Google Scholar] [CrossRef]
- Wu, Q.; Zhang, H.; Gao, X.; He, P.; Gao, H.; Chen, G. Dual graph attention networks for deep latent representation of multifaceted social effects in recommender systems. In Proceedings of the World Wide Web Conference, San Francisco, CA, USA, 13 May 2019; pp. 2091–2102. [Google Scholar] [CrossRef]
- Yelp Dataset. 2016. Available online: https://www.yelp.com/dataset (accessed on 20 May 2022).
- Gowalla Dataset. Available online: https://snap.stanford.edu/data/loc-gowalla.html (accessed on 20 May 2022).
- Zhou, J.; Liu, B.; Chen, Y.; Lin, F. UFC: A Unified POI Recommendation Framework. Arab. J. Sci. Eng. 2019, 44, 9321–9332. [Google Scholar] [CrossRef]
- Zhai, F.; Li, B. Point of Interest Recommendation Based on Graph Convolutional Neural Network. J. Phys. Conf. Ser. 2021, 1883, 012132. [Google Scholar] [CrossRef]
- Liu, Q.; Wu, S.; Wang, L.; Tan, T. Predicting the next location: A recurrent model with spatial and temporal contexts. In Proceedings of the Thirtieth AAAI Conference on Artificial Intelligence, Phoenix, AZ, USA, 12–17 February 2016; pp. 194–200. [Google Scholar]
- Xia, B.; Li, Y.; Li, Q.; Li, T. Attention-based recurrent neural network for location recommendation. In Proceedings of the 2017 12th International Conference on Intelligent Systems and Knowledge Engineering (ISKE), Nanjing, China, 14–26 November 2017; pp. 1–6. [Google Scholar] [CrossRef]
- Zhong, J.; Ma, C.; Zhou, J.; Wang, W. PDPNN: Modeling User Personal Dynamic Preference for Next Point-of-Interest Recommendation. In Proceedings of the 20th International Conference, Amsterdam, The Netherlands, 3–5 June 2020; pp. 45–57. [Google Scholar]
- Yang, D.; Fankhauser, B.; Rosso, P.; Cudre-Mauroux, P. Location prediction over sparse user mobility traces using RNNs: Flashback in hidden states! In Proceedings of the Twenty-Ninth International Joint Conference on Artificial Intelligence, Yokohama, Japan, 7–15 January 2021; pp. 2184–2190. [Google Scholar] [CrossRef]
- Hochreiter, S.; Schmidhuber, J. Long short-term memory. Neural Comput. 1997, 9, 1735–1780. [Google Scholar] [CrossRef]
- Wang, K.; Wang, X.; Lu, X. POI recommendation method using LSTM-attention in LBSN considering privacy protection. Complex Intell. Syst. 2021, 7, 1–12. [Google Scholar] [CrossRef]
- Sun, K.; Qian, T.; Chen, T.; Liang, Y.; Nguyen, Q.V.H.; Yin, H. Where to go next: Modeling long-and short-term user preferences for point-of-interest recommendation. AAAI Conf. Artif. Intell. 2020, 34, 214–221. [Google Scholar] [CrossRef]
- Doan, K.D.; Yang, G.; Reddy, C.K. An attentive spatio-temporal neural model for successive point of interest recommendation. In Lecture Notes in Computer Science; 11441 LNAI; Springer Nature: Cham, Switzerland, 2019; pp. 346–358. [Google Scholar] [CrossRef]
- Cho, K.; van Merriënboer, B.; Gulcehre, C.; Bahdanau, D.; Bougares, F.; Schwenk, H.; Bengio, Y. Learning phrase representations using RNN encoder-decoder for statistical machine translation. In Proceedings of the 2014 Conference on Empirical Methods in Natural Language Processing (EMNLP), Doha, Qatar, 25–29 October 2014; pp. 1724–1734. [Google Scholar] [CrossRef]
- Liu, Y.; Pei, A.; Wang, F.; Yang, Y.; Zhang, X.; Wang, H.; Dai, H.; Qi, L.; Ma, R. An attention-based category-aware GRU model for the next POI recommendation. Int. J. Intell. Syst. 2021, 36, 3174–3189. [Google Scholar] [CrossRef]
- Kala, K.U.; Nandhini, M. Context-Category Specific sequence aware Point-of-Interest Recommender System with Multi-Gated Recurrent Unit. J. Ambient Intell. Humaniz. Comput. 2019, 10, 1–11. [Google Scholar] [CrossRef]
- Manotumruksa, J.; Macdonald, C.; Ounis, I. A Contextual Attention Recurrent Architecture for Context-Aware Venue Recommendation. In Proceedings of the 41st International ACM SIGIR Conference on Research & Development in Information Retrieval (SIGIR’18), New York, NY, USA, 8–12 July 2018; pp. 555–564. [Google Scholar]
- Mnih, V.; Kavukcuoglu, K.; Silver, D.; Rusu, A.A.; Veness, J.; Bellemare, M.G.; Graves, A.; Riedmiller, M.; Fidjeland, A.K.; Ostrovski, G.; et al. Human-level control through deep reinforcement learning. Nature 2015, 518, 529–533. [Google Scholar] [CrossRef] [PubMed]
- Jaderberg, M.; Czarnecki, W.M.; Dunning, I.; Marris, L.; Lever, G.; Castaneda, A.G.; Beattie, C.; Rabinowitz, N.C.; Morcos, A.S.; Ruderman, A.; et al. Human-level. Performance in 3D multiplayer games with population-based reinforcement learning. Science 2019, 865, 859–865. [Google Scholar] [CrossRef] [PubMed]
- Kober, J.; Peters, J. Learning Motor Skills: From Algorithms to Robot Experiments; Springer: Cham, Switzerland, 2014; Volume 97. [Google Scholar]
- Luong, N.C.; Hoang, D.T.; Gong, S.; Niyato, D.; Wang, P.; Liang, Y.-C.; Kim, D.I. Applications of Deep Reinforcement Learning in Communications and Networking: A Survey. IEEE Commun. Surv. Tutor. 2019, 21, 3133–3174. [Google Scholar] [CrossRef]
- Tong, X.; Wang, P.; Niu, S. Reinforcement learning-based denoising network for sequential recommendation. Appl. Intell. 2022, 52, 1–12. [Google Scholar] [CrossRef]
- Arulkumaran, K.; Deisenroth, M.P.; Brundage, M.; Bharath, A.A. Deep reinforcement learning: A brief survey. IEEE Signal Process. Mag. 2017, 34, 26–38. [Google Scholar] [CrossRef]
- Liu, D.; Jiang, T. Deep Reinforcement Learning for Surgical. In Lecture Notes in Computer Science; Springer Nature: Cham, Switzerland, 2018; pp. 247–255. [Google Scholar] [CrossRef]
- Zhang, C.; Zhou, G.; Yuan, Q.; Zhuang, H.; Zheng, Y.; Kaplan, L.; Wang, S.; Han, J. GeoBurst: Real-rime local event detection in geo-tagged tweet streams. In Proceedings of the 39th International ACM SIGIR Conference (SIGIR 2016), Pisa, Italy, 17–21 July 2016; pp. 513–522. [Google Scholar]
- Xu, H.; Ding, W.; Shen, W.; Wang, J.; Yang, Z. Deep convolutional recurrent model for region recommendation with spatial and temporal contexts. Ad Hoc Netw. 2021, 129, 102545. [Google Scholar] [CrossRef]
- Liu, Y.; Wu, A.B. POI Recommendation Method Using Deep Learning in Location-Based Social Networks. Wirel. Commun. Mob. Comput. 2021, 2021, 9120864. [Google Scholar] [CrossRef]
- Cui, Q.; Zhang, C.; Zhang, Y.; Wang, J.; Cai, M. St-Pil; Association for Computing Machinery: New York, NY, USA, 2021; Volume 1. [Google Scholar]
- Sang, Y.; Sun, H.; Li, C.; Yin, L. LSVP: A visual based deep neural direction learning model for point-of-interest recommendation on sparse check-in data. Neurocomputing 2021, 446, 204–210. [Google Scholar] [CrossRef]
- Jiang, R.; Chen, Q.; Cai, Z.; Fan, Z.; Song, X.; Tsubouchi, K.; Shibasaki, R. Will you go where you search? A deep learning framework for estimating user search-and-go behavior. Neurocomputing 2020, 472, 338–348. [Google Scholar] [CrossRef]
- Zhang, Y.; Liu, G.; Liu, A.; Zhang, Y.; Li, Z.; Zhang, X.; Li, Q. Personalized Geographical Influence Modeling for POI Recommendation. IEEE Intell. Syst. 2020, 35, 18–27. [Google Scholar] [CrossRef]
- Zhong, T.; Zhang, S.; Zhou, F.; Zhang, K.; Trajcevski, G.; Wu, J. Hybrid graph convolutional networks with multi-head attention for location recommendation. World Wide Web 2020, 23, 3125–3151. [Google Scholar] [CrossRef]
- Lu, Y.S.; Huang, J.L. GLR: A graph-based latent representation model for successive POI recommendation. Future. Gener. Comput. Syst. 2020, 102, 230–244. [Google Scholar] [CrossRef]
- Zhao, P.; Zhu, H.; Liu, Y.; Xu, J.; Li, Z.; Zhuang, F.; Sheng, V.S.; Zhou, X. Where to go next: A spatio-temporal gated network for next POI recommendation. IEEE Trans. Knowl. Data Eng. 2022, 34, 5877–5884. [Google Scholar] [CrossRef]
- Hao, P.Y.; Cheang, W.H.; Chiang, J.H. Real-time event embedding for POI recommendation. Neurocomputing 2019, 349, 1–11. [Google Scholar] [CrossRef]
- Xing, S.; Liu, F.; Wang, Q.; Zhao, X.; Li, T. Content-aware point-of-interest recommendation based on convolutional neural network. Appl. Intell. 2019, 49, 858–871. [Google Scholar] [CrossRef]
- Gau, Y.L.W.S.H.; Huang, K.C.J. On successive point-of-interest recommendation. World Wide Web 2018, 22, 1151–1173. [Google Scholar]
- Baral, R.; Zhu, X.L.; Iyengar, S.S.; Li, T. ReEL: Review aware explanation of location recommendation. In Proceedings of the UMAP’18: 26th Conference on User Modeling, Adaptation and Personalization, Singapore, 8–11 July 2018; pp. 23–32. [Google Scholar] [CrossRef]
- Davtalab, M.; Alesheikh, A.A. A POI recommendation approach integrating social spatio-temporal information into probabilistic matrix factorization. Knowl. Inf. Syst. 2021, 63, 65–85. [Google Scholar] [CrossRef]
- Foursquare Dataset. [Online]. Available online: http://www-public.it-sudparis.eu/~zhang_da/pub/dataset_tsmc2014.zip (accessed on 20 May 2022).
- Instagram Datasets. Available online: https://dmis.korea.ac.kr/cape (accessed on 20 May 2022).
- Brightkite Dataset. Available online: https://snap.stanford.edu/data/loc-Brightkite.html (accessed on 20 May 2022).
- Fan, C.; Liu, Y.; Huang, J.; Rong, Z.; Zhou, T. Correlation between social proximity and mobility similarity. Sci. Rep. 2017, 7, 11975. [Google Scholar] [CrossRef]
- Thomee, B.; Shamma, D.A.; Friedland, G.; Elizalde, B.; Ni, K.; Poland, D.; Borth, D.; Li, L.-J. YFCC100M: The new data in multimedia research. Commun. ACM 2016, 59, 64–73. [Google Scholar] [CrossRef]
- Yahoo! Flickr Datasets. Available online: https://bit.ly/yfcc100md (accessed on 20 May 2022).
- Yahoo! Japan Dataset. [Online]. Available online: https://developer.yahoo.co.jp/webapi/map/openlocalplatform/v1/geocoder.html (accessed on 20 May 2022).
- Zhou, F.; Trajcevski, G.; Yin, R.; Zhong, T.; Zhang, K.; Wu, J. Adversarial point-of-interest recommendation. In Proceedings of the WWW’19: The World Wide Web Conference, San Francisco, CA USA, 13–17 May 2019; pp. 3462–3468. [Google Scholar] [CrossRef]







| Recent Models | Methods | Datasets | Validation Metrics | ||||||||||||||||||||||
|---|---|---|---|---|---|---|---|---|---|---|---|---|---|---|---|---|---|---|---|---|---|---|---|---|---|
| Year | System | MLP | AE | CNN | RNN | LSTM | GRU | Foursquare | Gowalla | Yelp | Tencent | Brightkite | Twitter [176] | Yahoo! Flickr | Yahoo! Japan | Prec | Rec | F1 | RMSE | MAP | MRR | NDCG | AUC | Logloss | |
| 2021 | POIRA [69] | √ | √ | √ | √ | √ | √ | ||||||||||||||||||
| 2021 | POI-LSA [162] | √ | √ | √ | √ | √ | √ | √ | |||||||||||||||||
| 2021 | RecPOID [3] | √ | √ | √ | √ | √ | √ | ||||||||||||||||||
| 2021 | Deep-RegionRS [177] | √ | √ | √ | √ | √ | |||||||||||||||||||
| 2021 | PBGCN [156] | √ | √ | √ | |||||||||||||||||||||
| 2021 | ATCA-GRU [166] | √ | √ | √ | √ | √ | |||||||||||||||||||
| 2021 | Bi-LSTM-Attention [178] | √ | √ | √ | √ | √ | √ | ||||||||||||||||||
| 2021 | ST-PIL [179] | √ | √ | √ | √ | √ | |||||||||||||||||||
| 2021 | LSVP [180] | √ | √ | √ | √ | √ | √ | ||||||||||||||||||
| 2021 | HOPE [138] | √ | √ | √ | √ | √ | √ | ||||||||||||||||||
| 2021 | ConvLSTM [177] | √ | √ | √ | √ | ||||||||||||||||||||
| 2021 | DSPR [22] | √ | √ | √ | √ | √ | √ | ||||||||||||||||||
| 2020 | DeepSTIN [181] | √ | √ | √ | √ | ||||||||||||||||||||
| 2020 | PDPNN [159] | √ | √ | √ | |||||||||||||||||||||
| 2020 | Flashback [160] | √ | √ | √ | √ | √ | |||||||||||||||||||
| 2020 | LSTPM [163] | √ | √ | √ | √ | √ | |||||||||||||||||||
| 2020 | PGIM [182] | √ | √ | √ | √ | √ | √ | √ | √ | ||||||||||||||||
| 2020 | HGMAP [183] | √ | √ | √ | √ | √ | √ | √ | √ | ||||||||||||||||
| 2020 | GLR-GT-LSTM [184] | √ | √ | √ | √ | √ | |||||||||||||||||||
| 2019 | STGCN [185] | √ | √ | √ | √ | √ | √ | ||||||||||||||||||
| 2019 | Real-time MF [186] | √ | √ | √ | √ | √ | |||||||||||||||||||
| 2019 | ASTEN [164] | √ | √ | √ | √ | √ | √ | ||||||||||||||||||
| 2019 | MGRU [167] | √ | √ | √ | √ | √ | |||||||||||||||||||
| 2019 | CPC [187] | √ | √ | √ | √ | ||||||||||||||||||||
| 2018 | PEU-RNN [188] | √ | √ | √ | √ | √ | |||||||||||||||||||
| 2018 | SAE-NAD [142] | √ | √ | √ | √ | √ | √ | √ | |||||||||||||||||
| 2018 | ReEl [189] | √ | √ | √ | √ | √ | |||||||||||||||||||
| 2018 | CARA [168] | √ | √ | √ | √ | √ | √ | ||||||||||||||||||
| Evaluation Metrics | Brief Introduction | 
|---|---|
| Prec (Precision) | A fraction of the recommended top-k POIs have been successfully recommended to the target customer and it is defined as the ratio of recommended POIs to the number of related recommended POIs. | 
| Rec (Recall) | A fraction of K is a well-recommended POI visited by the intended user and a ratio of recommended and related POIs to the number of related POIs is defined. | 
| F1 (F-measure) | It is a precision and recall combination and is obtained by calculating the weighted harmonic mean between these two criteria. | 
| RMSE (Root Mean Squared Error) | The root-mean-square error calculates the distinction between the actual and estimated POIs (predicted) by the recommender system. | 
| MAP (Mean Average Precision) | Calculate the mean values of the average precision according to all the recommendations lists created for the customers. | 
| MRR (Mean Reciprocal Rank) | The criteria for evaluating systems is that returning a ranked list of answers to queries, and the inverse multiplication of the rank of the first answer is correct. | 
| NDCG (Normalized Discounted Cumulative Gain) | It is a normalized DCG technique. The DCG is an accuracy measure based on the position of the ranking position and examines a list of recommendations according to the relevance of the ranking position. | 
| AUC | It is used for classification topics and the area under the curve can be calculated by Simpson’s law. This criterion estimates the probability that a classifier will select a randomly selected positive sample above a random negative one. | 
| Log loss | It is appropriate when the output of the model is likely to be a binary result. Evaluates performance by comparing actual location tags and predicted probabilities. This comparison is measured using cross-entropy and quantifies classification accuracy by penalizing incorrect classifications. | 
| Datasets | Brief Introduction | 
|---|---|
| Foursquare | It is a location-based service where customers can share their POIs with friends and collect prize, badges, and coupons. This dataset includes check-ins related to Tokyo and New York cities. | 
| [191] | |
| Yelp | It is a location-based social network (LBSN) that places businesses such as hotels, shopping malls, and restaurants. Users at Yelp check in with various vendors to comment and rate these POIs. | 
| [153] | |
| Gowalla | This dataset is an LBSN where users share their POI information with friends by check-in. | 
| [154] | |
| This is a social network that allows any user to link geo-tags to their images and comments. | |
| [69,192] | |
| Brightkite | It is a location-based social networking service where customers share their check-in POIs with friends and users’ social information is available. | 
| [193] | |
| Tencent | It is a China-based mobile check-in service that provides social network information and spatial-temporal history to users. It can be used to analyze users’ personal and social information and check-in records along with their time. | 
| [194] | |
| Yahoo! Flickr | This database is the largest public multimedia collection that includes uploaded images and videos with related information including geographical coordinates, history, and geographical accuracy. | 
| [195,196] | |
| Yahoo! Japan | This application is related to Yahoo, which provides online shopping services for map search engines, shipping applications, and other services. With the location service of this software, the POI status of users can be checked according to their activity time. | 
| [197] | 
| Publisher’s Note: MDPI stays neutral with regard to jurisdictional claims in published maps and institutional affiliations. | 
© 2022 by the authors. Licensee MDPI, Basel, Switzerland. This article is an open access article distributed under the terms and conditions of the Creative Commons Attribution (CC BY) license (https://creativecommons.org/licenses/by/4.0/).
Share and Cite
Safavi, S.; Jalali, M.; Houshmand, M. Toward Point-of-Interest Recommendation Systems: A Critical Review on Deep-Learning Approaches. Electronics 2022, 11, 1998. https://doi.org/10.3390/electronics11131998
Safavi S, Jalali M, Houshmand M. Toward Point-of-Interest Recommendation Systems: A Critical Review on Deep-Learning Approaches. Electronics. 2022; 11(13):1998. https://doi.org/10.3390/electronics11131998
Chicago/Turabian StyleSafavi, Sadaf, Mehrdad Jalali, and Mahboobeh Houshmand. 2022. "Toward Point-of-Interest Recommendation Systems: A Critical Review on Deep-Learning Approaches" Electronics 11, no. 13: 1998. https://doi.org/10.3390/electronics11131998
APA StyleSafavi, S., Jalali, M., & Houshmand, M. (2022). Toward Point-of-Interest Recommendation Systems: A Critical Review on Deep-Learning Approaches. Electronics, 11(13), 1998. https://doi.org/10.3390/electronics11131998
 
         
                                                


 
       