A Novel Bandstop Filter Based on Two-Port Coaxial Cavities for the Installation of Metallic Mode Stirrers in Microwave Ovens
Abstract
:1. Introduction
- A two-port coaxial cavity-based novel filter structure is presented, analyzed, and validated.
- An eccentricity analysis is performed, demonstrating that the proposed filter can function properly even when the filter axis, which corresponds to the mode stirrer axis, displaces or tilts, versus its ideal central rotating position.
2. Use of Coaxial Cavities to Implement Microwave Bandstop Filters
3. Materials and Methods
3.1. Procedures for Design and Simulation
3.2. Simulation Scenarios
3.3. Procedures for Optimization
3.4. Eccentricity Analysis Parameters
3.5. Measurement Configuration
4. Results
4.1. Simulation Results
4.2. Analysis of Eccentricity
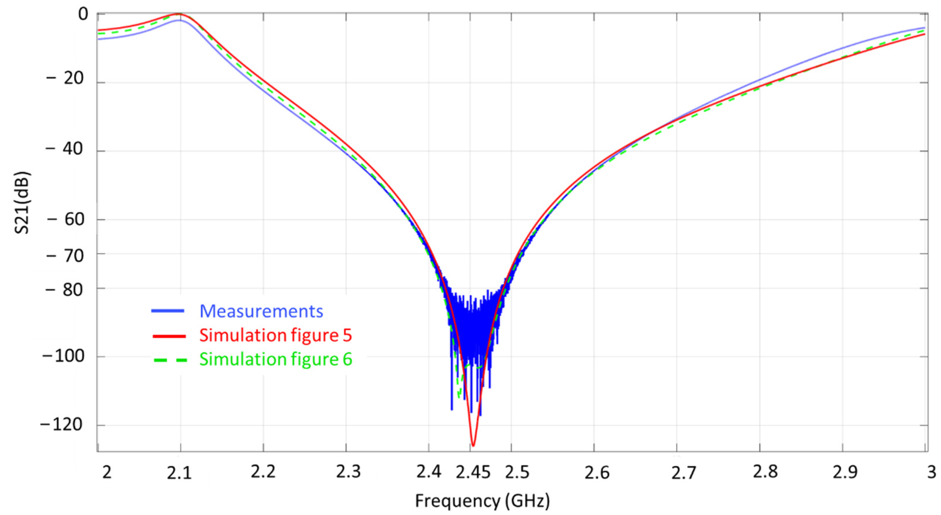
4.3. Validation of the Proposed Filtering Structure
5. Discussion
Author Contributions
Funding
Institutional Review Board Statement
Informed Consent Statement
Data Availability Statement
Conflicts of Interest
References
- Metaxas, A.C. Microwave heating. Power Eng. J. 1991, 5, 237–247. [Google Scholar] [CrossRef]
- Ye, J.; Xia, Y.; Yi, Q.; Zhu, H.; Yang, Y.; Huang, K.; Shi, K. Multiphysics modeling of microwave heating of solid samples in rotary lifting motion in a rectangular multi-mode cavity. Innov. Food Sci. Emerg. Technol. 2021, 73, 102767. [Google Scholar] [CrossRef]
- Domínguez-Tortajada, E.; Monzó-Cabrera, J.; Díaz-Morcillo, A. Uniform electric field distribution in microwave heating applicators by means of genetic algorithms optimization of dielectric multilayer structures. IEEE Trans. Microw. Theory Tech. 2007, 55, 92–99. [Google Scholar] [CrossRef] [Green Version]
- Antonio, C.; Deam, R.T. Comparison of linear and non-linear sweep rate regimes in variable frequency microwave technique for uniform heating in materials processing. J. Mater. Process. Technol. 2005, 169, 234–241. [Google Scholar] [CrossRef]
- Tang, Z.; Hong, T.; Liao, Y.; Chen, F.; Ye, J.; Zhu, H.; Huang, K. Frequency-selected method to improve microwave heating performance. Appl. Thermal Eng. 2018, 131, 642–648. [Google Scholar] [CrossRef]
- Hong, Y.-K.; Stanley, R.; Tang, J.; Bui, L.; Ghandi, A. Effect of Electric Field Distribution on the Heating Uniformity of a Model Ready-to-Eat Meal in Microwave-Assisted Thermal Sterilization Using the FDTD Method. Foods 2021, 10, 311. [Google Scholar] [CrossRef] [PubMed]
- Yang, R.; Fathy, A.E.; Morgan, M.T.; Chen, J. Development of a complementary-frequency strategy to improve microwave heating of gellan gel in a solid-state system. J. Food Eng. 2022, 314, 110763. [Google Scholar] [CrossRef]
- Ye, J.; Lan, J.; Xia, Y.; Yang, Y.; Zhu, H.; Huang, K. An approach for simulating the microwave heating process with a slow-rotating sample and a fast-rotating mode stirrer. Int. J. Heat Mass Transf. 2019, 140, 440–452. [Google Scholar] [CrossRef]
- Geedipalli, S.R.; Rakesh, V.; Datta, A.K. Modeling the heating uniformity contributed by a rotating turntable in microwave ovens. J. Food Eng. 2007, 82, 359–368. [Google Scholar] [CrossRef]
- Plaza-Gonzalez, P.; Monzo-Cabrera, J.; Catala-Civera, J.M.; Sanchez-Hernandez, D. Effect of mode-stirrer configurations on dielectric heating performance in multimode microwave applicators. IEEE Trans. Microw. Theory Tech. 2005, 53, 1699–1706. [Google Scholar] [CrossRef] [Green Version]
- Zhu, H.; Liao, Y.; Xiao, W.; Ye, J.; Huang, K. Transformation Optics for Computing Heating Process in Microwave Applicators With Moving Elements. IEEE Trans. Microw. Theory Tech. 2017, 65, 1434–1442. [Google Scholar] [CrossRef]
- Cuccurullo, G.; Giordano, L.; Metallo, A.; Cinquanta, L. Influence of mode stirrer and air renewal on controlled microwave drying of sliced zucchini. Biosyst. Eng. 2017, 158, 95–101. [Google Scholar] [CrossRef]
- Clemente-Fernández, F.J.; Monzó-Cabrera, J.; Pedreño-Molina, J.L.; Lozano-Guerrero, A.J.; Díaz-Morcillo, A. Analysis of reactive and resistive open waveguide filters for use in microwave-heating applicators. COMPEL 2012, 30, 1606–1615. [Google Scholar] [CrossRef]
- Soto, P.; Boria, V.E.; Catala-Civera, J.M.; Chouaib, N.; Guglielmi, M.; Gimeno, B. Analysis, design, and experimental verification of microwave filters for safety issues in open-ended waveguide systems. IEEE Trans. Microw. Theory Tech. 2000, 48, 2133–2140. [Google Scholar] [CrossRef]
- Clemente-Fernández, F.J.; Monzó-Cabrera, J.; Catalá-Civera, J.M.; Pedreño-Molina, J.L.; Lozano-Guerrero, A.J.; Díaz-Morcillo, A. Waveguide bandstop filter based on irises and double corrugations for use in industrial microwave ovens. Electron. Lett. 2012, 48, 772–774. [Google Scholar] [CrossRef] [Green Version]
- Metaxas, A.C.; Meredith, R.J. Industrial Microwave Heating; Peregrinus: Stevenage, UK, 1983; pp. 147–149. [Google Scholar]
- European Standard EN 55011; Industrial, Scientific and Medical Equipment—Radio-Frequency Disturbance Characteristics—Limits and Methods of Measurement (CISPR 11:2015, Modified). CEN-CENELEC: Brussels, Belgium, 2016.
- Monzó-Cabrera, J.; Díaz-Morcillo, A.; Martínez-González, A.; Lozano-Guerrero, A.; Fayos-Fernández, J.; Pérez-Campos, R. Assessment of coaxial filters for the installation of metallic mode stirrers or turntables in multimode microwave ovens. In Proceedings of the 18th International Conference on Microwave and High Frequency Applications: AMPERE 2021, in Virtual, 13–16 September 2021. [Google Scholar] [CrossRef]
- Young, L.; Matthaei, G.L.; Jones, E.M.T. Microwave Band-stop Filters with Narrow Stop Bands. IRE Trans. Microw. Theory Tech. 1962, 10, 416–427. [Google Scholar] [CrossRef]
- Naglich, E.J.; Lee, J.; Peroulis, D.; Chappell, W.J. Extended Passband Bandstop Filter Cascade with Continuous 0.85–6.6-GHz Coverage. IEEE Trans. Microw. Theory Tech. 2012, 60, 21–30. [Google Scholar] [CrossRef]
- Anand, A.; Liu, X. Capacitively tuned electrical coupling for reconfigurable coaxial cavity bandstop filters. In Proceedings of the 2015 IEEE MTT-S International Microwave Symposium, Phoenix, AZ, USA, 17–22 May 2015; pp. 1–3. [Google Scholar] [CrossRef]
- Sun, L.; Huang, H.; Li, S.; Liu, Z.; He, H.; Xiang, Q.; He, K.; Fang, X. Investigation on High-Efficiency Beam-Wave Interaction for Coaxial Multi-Beam Relativistic Klystron Amplifier. Electronics 2022, 11, 281. [Google Scholar] [CrossRef]
- Michail, G.C.; Uzunoglu, N.K. Accurate Design of Coaxial Cavity Resonator Filters. J. Electromagn. Waves Appl. 2004, 18, 1119–1131. [Google Scholar] [CrossRef]
- Chen, F.; Li, R.; Qiu, J.; Chu, Q. Sharp-Rejection Wideband Bandstop Filter Using Stepped Impedance Resonators. IEEE Trans. Compon. Packag. Manuf. Technol. 2017, 7, 444–449. [Google Scholar] [CrossRef]
- Dassault Systems. Available online: https://www.3ds.com/products-services/simulia/disciplines/electromagnetics/ (accessed on 3 February 2022).
- Abuhussain, M.; Hasar, U.C. Design of Chebyshev Bandpass Waveguide Filter for-Band Based on CSRR Metamaterial. In Proceedings of the International Conference on Intelligent Vision and Computing, Xi’an, China, 26–28 July 2022; Springer: Cham, Switzerland, 2022; pp. 356–365. [Google Scholar] [CrossRef]











Publisher’s Note: MDPI stays neutral with regard to jurisdictional claims in published maps and institutional affiliations. |
© 2022 by the authors. Licensee MDPI, Basel, Switzerland. This article is an open access article distributed under the terms and conditions of the Creative Commons Attribution (CC BY) license (https://creativecommons.org/licenses/by/4.0/).
Share and Cite
Monzo-Cabrera, J.; Díaz-Morcillo, A.; Martínez-Gonzalez, A.; Lozano-Guerrero, A.; Fayos-Fernández, J.; Pérez-Campos, R.; Pedreño-Molina, J.L. A Novel Bandstop Filter Based on Two-Port Coaxial Cavities for the Installation of Metallic Mode Stirrers in Microwave Ovens. Electronics 2022, 11, 1989. https://doi.org/10.3390/electronics11131989
Monzo-Cabrera J, Díaz-Morcillo A, Martínez-Gonzalez A, Lozano-Guerrero A, Fayos-Fernández J, Pérez-Campos R, Pedreño-Molina JL. A Novel Bandstop Filter Based on Two-Port Coaxial Cavities for the Installation of Metallic Mode Stirrers in Microwave Ovens. Electronics. 2022; 11(13):1989. https://doi.org/10.3390/electronics11131989
Chicago/Turabian StyleMonzo-Cabrera, Juan, Alejandro Díaz-Morcillo, Antonio Martínez-Gonzalez, Antonio Lozano-Guerrero, José Fayos-Fernández, Rafael Pérez-Campos, and Juan Luis Pedreño-Molina. 2022. "A Novel Bandstop Filter Based on Two-Port Coaxial Cavities for the Installation of Metallic Mode Stirrers in Microwave Ovens" Electronics 11, no. 13: 1989. https://doi.org/10.3390/electronics11131989
APA StyleMonzo-Cabrera, J., Díaz-Morcillo, A., Martínez-Gonzalez, A., Lozano-Guerrero, A., Fayos-Fernández, J., Pérez-Campos, R., & Pedreño-Molina, J. L. (2022). A Novel Bandstop Filter Based on Two-Port Coaxial Cavities for the Installation of Metallic Mode Stirrers in Microwave Ovens. Electronics, 11(13), 1989. https://doi.org/10.3390/electronics11131989

