Next Article in Journal
DroidFDR: Automatic Classification of Android Malware Using Model Checking
Next Article in Special Issue
Luminescent Downshifting Silicon Quantum Dots for Performance Enhancement of Polycrystalline Silicon Solar Cells
Previous Article in Journal
GRU with Dual Attentions for Sensor-Based Human Activity Recognition
Previous Article in Special Issue
Epoxy-Based/BaMnO4 Nanodielectrics: Dielectric Response and Energy Storage Efficiency
 
 
Font Type:
Arial Georgia Verdana
Font Size:
Aa Aa Aa
Line Spacing:
Column Width:
Background:
Article

Band Bending and Trap Distribution along the Channel of Organic Field-Effect Transistors from Frequency-Resolved Scanning Photocurrent Microscopy

Department of Electrical and Computer Engineering, University of Patras, 26504 Patras, Greece
*
Author to whom correspondence should be addressed.
Electronics 2022, 11(11), 1799; https://doi.org/10.3390/electronics11111799
Submission received: 30 April 2022 / Revised: 28 May 2022 / Accepted: 2 June 2022 / Published: 6 June 2022

Abstract

:
The scanning photocurrent microscopy (SPCM) method is applied to pentacene field-effect transistors (FETs). In this technique, a modulated laser beam is focused and scanned along the channel of the transistors. The resulting spatial photocurrent profile is attributed to extra free holes generated from the dissociation of light-created excitons after their interaction with trapped holes. The trapped holes result from the local upward band bending in the accumulation layer depending on the applied voltages. Thus, the photocurrent profile along the conducting channel of the transistors reflects the pattern of the trapped holes and upward band bending under the various operating conditions of the transistor. Moreover, it is found here that the frequency-resolved SPCM (FR-SPCM) is related to the interaction of free holes via trapping and thermal release from active probed traps of the first pentacene monolayers in the accumulation layer. The active probed traps are selected by the modulation frequency of the laser beam so that the FR-SPCM can be applied as a spectroscopic technique to determine the energy distribution of the traps along the transistor channel. In addition, a crossover is found in the FR-SPCM spectra that signifies the transition from empty to partially empty probed trapping states near the corresponding trap quasi-Fermi level. From the frequency of this crossover, the energy gap from the quasi-Fermi Etp level to the corresponding local valence band edge Ev, which is bent up by the gate voltage, can be estimated. This allows us to spatially determine the magnitude of the band bending under different operation conditions along the channel of the organic transistors.

1. Introduction

Over the past three decades, significant progress has been made in organic semiconductors, and organic devices have been fabricated with improved performance making them competitive or complementary to conventional silicon-based devices [1]. The organic field-effect transistor (OFET) is the basic building block of organic electronics [2]. Intensive research focused on improving organic materials as well as the device fabrication process has resulted in OFETs with improved performance and high mobilities that are comparable to or even better than those of amorphous silicon-based devices [3]. The intrinsic properties of organic materials are not the only factors that are important for improving the performance of OFETs. There are other critical parameters, such as the contact interface and the semiconductor–insulator interface, which can seriously limit the performance of OFETs [4,5]. Energy barriers at the contacts can prevent carrier injection and modify the lateral electric-field distribution along the conducting channel of the transistors by the drain–source voltage VDS [6]. The presence of trapped carriers at the insulator interface can affect the turn-on voltage, the vertical electric field from the applied gate-source voltage VGS, and the band bending in the charge accumulation layer [7].
Scanning photocurrent microscopy (SPCM) is a technique suitable for spatially monitoring the complex interrelating phenomena at the contacts and insulator interfaces of OFETs. In this technique, a laser beam is focused onto the transistor channel either in the form of a line-shaped laser beam or in the form of a diffraction-limited point-like laser beam, which is scanned along the channel [8]. The intensity of the laser beam is modulated by producing a modulated source–drain current or modulated photocurrent, also called the SPCM signal. In pentacene FETs, inhomogeneous SPCM signal profiles were found along the source contact, attributed to enhanced exciton dissociation and a reduced injection barrier [9]. In other pentacene FETs, a strong SPCM signal was observed near both contact edges, which was explained by a high contact resistance due to energy barriers [10,11]. In some pentacene FETs, a structured SPCM signal has been observed showing a maximum within the transistor channel and close to the source contact [12,13]. This maximum was attributed to the release of trapped holes after the interaction of triplet excitons created by the laser light with hole-trapping states. It was concluded that the SPCM technique is a powerful technique for monitoring the distribution of the trapped holes along the channel of pentacene FETs under different operating conditions, which determines the spatial variation of the upward band bending. However, the magnitude of the upward band bending along the accumulation layer was not determined.
An important parameter governing the SPCM signal is the frequency of the modulated laser light. Westermeier et al. [12] employing frequency-resolved SPCM (FR-SPCM), found a non-uniform decrease in the photocurrent along the transistor channel when the frequency of the modulated laser light was increased. The above authors attributed this frequency dependence to trapping and release events occurring on different time scales. In the present work, FR-SPCM measurements are employed to elucidate the microscopic processes governing the frequency dependence of photocurrents in pentacene FETs. For the analysis and interpretation of these measurements, the frequency dependence of the photocurrents of organic two-terminal devices studied previously is considered very useful to interpret the present results [14,15]. To this end, a detailed comparison of the FR-SPCM with the photocurrent spectra of the two-terminal devices is made. It is examined whether the methods applied to photocurrent spectra can also be applied to the FR-SPCM of three-terminal devices. This way, it will be possible to extract information on critical parameters that determine the performance of FETs, such as the energy distribution of pentacene trap states at the insulator interface as well as the band bending along the accumulation layer induced by the gate voltage.

2. Experimental Details

Pentacene FETs were fabricated on substrates of heavily doped n-type c-Si, which served as a back-gate electrode by having a 500 nm thick thermally grown SiO2 layer on the top surface. A 150 nm PMMA layer was spin-coated on the SiO2 layer and annealed at 100 °C. The substrates were then placed in the deposition chamber, where a 240 nm polycrystalline pentacene layer was evaporated on the PMMA layer at a stabilized deposition rate of 2 nm min−1 under a base vacuum of 1.2 × 10−6 Torr. On the top surface of the pentacene layer, 50 nm thick gold was evaporated at a deposition rate of 0.14 nm/min to form the source and drain electrodes of 6 mm length and 450 μm separation through a shadow mask. The fabricated devices were placed in an optical cryostat in which all the measurements were performed at a temperature of about 19 °C and under a base vacuum of 3 × 10−3 Torr to minimize the effects of environmental impurities, which can affect the photocurrent [16].
The experimental setup of the SPCM technique has been presented elsewhere [13]. In this technique, light from a HeNe laser emitting at a 633 nm wavelength was passed through a mechanical chopper to produce an intensity-modulated light beam with a frequency ranging between 10-Hz and 10-kHz. The modulated light beam through a cylindrical lens was focused on the channel of the FET mounted on the optical cryostat. The focused laser beam was in the form of a thin 50 μm wide light bar oriented parallel to the two gold surface electrodes and was used as a probe light beam scanned along the 450 μm conducting channel of the transistor. The relative position, x, of the probe laser beam measured from the source contact edge was determined by measuring the intensity of the laser light reflected from the surface. The laser light focused within the conducting channel of the transistor produces a varying source–drain current or a modulated photocurrent during the transistor operation with the selected drain-source VDS and gate-source VGS voltages. The Ip amplitude of this modulated photocurrent was amplified and measured with a digital lock-in amplifier (Stanford Research Systems SR830). The Ip measurements were performed for a given modulation frequency f of the chopper as a function of position x, providing the SPCM Ip(x) profile, or for a given x as a function of angular frequency ω = 2 πf, providing the FR-SPCM Ip(ω) spectrum.

3. Results

3.1. SPCM Profiles

The spatial photocurrent Ip(x) profiles, obtained by setting the chopper to the lowest frequency of f = 10 Hz and scanning the laser beam along the transistor channel at different positions, x, from the source edge, are shown in Figure 1 for constant VDS = −10 V and different negative VGS ranging from −5 V to −15 V. For less-negative VGS values down to −6.5 V, the Ip(x) signal in the channel is very low indicating that the transistor is in the off-state and the channel is depleted of charge carriers. By reducing the negative VGS values to −8 V and −9.5 V, holes are accumulated at the pentacene insulator interface and the transistor switches to the on-state. During this transition, the Ip(x) signal on the source side increases showing a maximum at a distance x = 70 μm from the source, whereas the Ip(x) signal on the drain side remains at nearly zero. For VGS lower than −9.5 V, the maximum of the Ip(x) signal increases strongly, whereas the Ip(x) signal on the drain side starts to increase.
The behavior of the SPCM profiles in Figure 1 can be rationalized by considering that local modulated laser excitation induces a modulated density pac(x) per unit area of free holes (majority carriers) contributing to the signal Ip(x) according to [6,13]
Ip(x) = μ(x) pac(x) e W E(x)
where μ(x) is the local intrinsic hole mobility and E(x) is the local lateral electric field along the channel. The modulated density pac(x) of the holes is produced by the dissociation of the triplet excitons generated by the ultrafast singlet exciton fission process within the pentacene layer during each half-period of the chopped laser illumination [17]. However, the triplet excitons dissociation into mobile holes is a low probability process that can be assisted by a high electric field. Such a high electric field may occur near the edges of the contacts due to a large voltage drop caused by significant contact resistance producing a local maximum photocurrent at the contacts [9,10,11]. However, such a maximum in Figure 1 is not observed at the source or drain contact edges, indicating low contact resistance. Therefore, all the applied VDS voltage drops take place along the conducting channel of the transistor, which has the highest resistance due to the long channel length. An additional electric field perpendicular to the insulator interface is generated by the applied gate VGS voltage. However, this field should be high enough to facilitate the exciton dissociation and this can occur for most negative VGS gate-source voltages [18].
Based on our previous analysis of the experimental results of SPCM in pentacene FETs [13], the dissociation of the triplet excitons is mainly realized by the so-called hole-detrapping mechanism [19]. According to this mechanism, triplet excitons diffusing in the pentacene layer can encounter trapped holes in the accumulation layer and interact with them. During this interaction, the electron of the triplet can recombine with the trapped hole. A hole is then released, increasing the density pac(x) of detrapped holes contributing to the Ip(x) signal according to Equation (1). In this way, the inhomogeneous spatial profiles Ip(x) along the transistor channel of Figure 1 mainly reflect an inhomogeneous density of detrapped holes pac(x). This density in turn comes from the inhomogeneous pattern of the trapped-hole density Nt(x) along the pentacene–insulator interface due to inhomogeneous band bending.
As the transistor is turned on for −9.5 V < VGS < −6.5 V, the Ip(x) signal of Figure 1 starts to increase only on the source side. This indicates that the negative gate voltage exceeds a threshold limit and the local negative gate potential ΨS starts to increase creating upward band bending −S, shown schematically with the red upward arrows in Figure 2. As the valence band of pentacene bends upward, deeper donor-like trap states (blue solid circles), which were initially in a neutral state and empty of holes below the Etp level, are lifted above the Etp level and become positively charged filled by trapped holes (red circles). These holes can be detrapped from the triplets when the laser beam probes the source side, producing the onset of an increase in the Ip(x) signal (Figure 1). In contrast, near the drain the Ip(x) signal remains low, suggesting that there is no upward band bending because the negative gate voltage is canceled by the negative drain voltage VDS = −10 V. By decreasing the VGS beyond −9.5 V, the Ip(x) signal starts to increase on the drain side as well. This indicates that the negative effective gate voltage is not completely canceled out by the negative drain voltage and can now produce negative gate potential and upward band bending on the drain side as well. When the transistor is in the on-state, the Ip(x) profile shows a gradual decrease towards the drain, as in Figure 1 and Figure 3 with VGS = −12, −15, and −20 V. This reflects a decrease in Nt(x) density and upward band bending due to the moderate and applied negative VDS = −10 V, which provides that the transistor is operating in the saturation region for the above VGS voltages, as confirmed from the output characteristics (not shown).

3.2. FR-SPCM Spectra

Figure 3 presents the Ip(x) profile of the photocurrent along the transistor channel obtained for different chopper frequencies f ranging from 10 Hz to 2.2 kHz. The applied voltages were VGS = −20 V and VDS = −10 V, which set the transistor in the saturation region. It is obvious that the increase in the chopper frequency f causes an overall reduction in the photocurrent Ip(x) in the whole channel. However, this reduction is relatively stronger on the drain side so that at the highest frequencies only the photocurrent near the source can be measured.
Westermeier et al. [12] reported FR-SPCM measurements and found a decrease in the photocurrent with increasing frequency, which is similar to that found here in the Ip(x) profiles in Figure 3. This dependence was attributed to trap-and-release events occurring at different time scales ranging from milliseconds to microseconds without specifying the energy level of the associated traps and their distribution [12].
Here FR-SCPM measurements are employed to explore the microscopic processes responsible for the decrease in the photocurrent with frequency. For this purpose, the photocurrent was measured as a function of the angular modulation frequency ω = 2 πf by placing the probe laser beam at three different positions within the channel shown by the dashed vertical lines in Figure 3. These lines, denoted as (S), (M), and (D), correspond to laser illumination near the source, midway between the source and drain, and near the drain, respectively. The Ip(ω) spectra of the different locations in the channel cannot be directly compared because the magnitude of Ip(x) is varied along the channel by the variations in the band bending. However, we found that if the Ip(ω) spectra are shifted vertically, they match each other at higher frequencies, as shown in Figure 4a. In particular, the resulting Ip(ω) spectra of Figure 4a after the appropriate vertical shifts, are merged at higher frequencies, defining the Ipo(ω) spectrum that has the form of an upper envelope (solid line) from all Ip(ω) spectra. The Ipo(ω) values of this envelope show a relatively strong decrease with increasing frequency, which is almost independent of the x position of the probe illumination in the channel. Moreover, each Ip(ω) spectrum shows at a frequency ωs (vertical dashed lines) a crossover from the strong frequency dependence at a higher ω to a much weaker frequency dependence at a lower ω. The crossover frequency ωs is observed at a high, intermediate, and low frequency for the spectra with probe laser illumination on the source side (S), midway through the channel (M), and on the drain side (D), respectively. The above behavior of the Ip(ω) spectra resembles the corresponding behavior observed earlier in the photocurrent spectra of organic two-terminal devices [15,20], which are presented below for a detailed comparison with the present spectra.

3.3. Detailed Comparison with the Photocurrent Spectra of Two-Terminal Devices

The effect of light modulation frequency on the photocurrent has been previously studied in organic two-terminal devices on a glass substrate [15,20]. In these devices, the entire area of the organic semiconductor in the conducting channel, including the area of two parallel surface gold contacts, is uniformly illuminated by two beams of light from red light-emitted diodes with a maximum emission of 630 nm. One beam is called a probe light beam and its intensity is modulated by producing a modulated photocurrent (MPC) with amplitude Iac, which is measured by a lock-in amplifier as a function of the angular modulation frequency ω. The second light beam provides a constant-intensity continuous-wave (cw) bias illumination called a bias beam. A typical example of the MPC Iac(ω) spectra of two-terminal pentacene devices obtained with different intensities of the cw bias light beam is shown in panel (d) of Figure 4 and similar Iac(ω) spectra were observed in rubrene crystals. From the analysis of these spectra, it was concluded that the hole transport (majority carriers) in rubrene [20] and pentacene [15] occurs according to the multiple trapping and release (MTR) model. In this model, the transport of the photogenerated mobile holes takes place at the valence band edge EV. Hole transport is interrupted by trapping and thermal release from traps.
The role of the light probe beam modulated at frequency ω in the two-terminal devices is to selectively probe only specific active traps that have density N(EωοEv) within an energy interval kT around the probe energy Eω that contributes to the MPC amplitude Iac(ω). The holes created by the probe light interact through trapping and thermal release with the probed active traps at the trap depth (EωEv) level with a thermal emission rate that satisfies the following condition [21]
e p E ω E v = ν o exp E ω E v k T = ω 2 + ω t 2
where νo is the attempt to escape frequency found to be of the order of 1010 s−1 in pentacene films [14]. ωt is the characteristic trapping frequency given by ωt = pcp + ncn, with p and n representing the steady-state mobile holes and electron concentrations and cp and cn representing the carrier capture coefficients of the traps for holes and electrons, respectively. Assuming that the photocurrent is due to mobile holes, with virtually all electrons trapped, we have ωt pcp, reflecting the fact that ωt is controlled by the intensity of bias illumination. The probed trap-depth energy (EωEv) is thus given by [21]
E ω E v = k T ln ν o ω 2 + ω t 2
The energy Etp of the quasi-Fermi level corresponding to the upmost filled hole trap states and measured from the valence band edge Ev is given by
E tp E v = k T l n ν o / ω t
Therefore, for a given intensity of the cw bias beam and a given modulation frequency ω of the probe beam, the active trap states at trap depth (EωEv) given by Equation (3) would provide the maximum contribution to the MPC Iac(ω) through the trapping/detrapping processes.
The high probe’s modulation frequency (ω >> ωt), ωt in Equations (2) and (3) can be neglected, and the thermal emission rate from the probed states at Eω becomes equal to the modulation frequency of the probe beam, ep(EωoEv) ω. In this case, the probe energy level reduces to E ω E ω o and is given by
E ω o E v k T l n ν o ω
Equation (5) shows that by scanning the modulation frequency ω at frequencies much higher than the respective ωt (ω >> ωt), the probed energy level Eωo shifts to different trap energy levels shown by the solid straight line in Figure 4f. These correspond to empty hole trap states that are shallower than the respective E tp levels (horizontal arrows). Correspondingly, the probed energy level Eωo, as well as the amplitude Iaco(ω), are almost independent of ωt and therefore insensitive to the intensity of the bias beam. This situation obtained for ω >> ωt corresponds to the so-called high frequency (HF) regime corresponding to the upper envelope (solid line) of all Iac(ω) spectra in Figure 4d. This envelope consists of a range of values Iac(ω) = Iaco(ω) that are almost independent of the intensity of the bias beam and the respective ωt. As mentioned above, very similar behavior is observed in the Ip(ω) spectra of three-terminal devices (Figure 4a), which also merge at higher ω forming a similar upper envelope of Ipo(ω) values. Therefore, in the Ip(ω) spectra there is also an analogous HF regime, which includes values of the upper envelope Ip(ω) = Ipo(ω) that are independent of the respective characteristic trapping frequency ωt. This indicates that, similar to the MPC Iaco(ω) signal, the main contribution to the SPCM Ipo(ω) signal comes from active probed trap states at trap depth (EωoEv) that have density N(EωoEv) with which the holes interact via trapping/detrapping. The expression relating the Iaco(ω) signal to the probed trap density N(EωoEv) presented earlier in Equation (50) of Ref. [21] can be written in the following simple form
Iaco(ω) = C/N(EωoEv),
where C is a constant containing several parameters essentially independent of the frequency ω. Therefore, the distribution of the probed traps can be obtained from the following relations
N(EωoEv) ∝ (Iaco(ω))−1 and N(EωoEv) ∝ (Ipo(ω))−1
for the two- and three-terminal devices, respectively.
The tap distributions, as calculated according to Equation (7), are plotted in Figure 5 as a function of the probed trap depth (EωoEv) calculated from Equation (5). The N(EωoEv) distributions show a nearly exponential dependence with the indicative characteristic Eo energies 35 meV and 30 meV at the shallower trap depths for the two- and three-terminal devices, respectively. At deeper trap depths, the trap distribution (blue solid line) of the FETs is found to be steeper than that of the two-terminal devices (red dashed-dotted line). It should be noted that the N(EωoEv) distribution of the FETs refers to the trap distribution of the first few pentacene monolayers at the insulator interface that make the dominant contribution to the Ipo(ω) signal.
The role of the cw bias illumination, on the other hand, in two-terminal devices is to excite an excess density of mobile holes in the valence band. These holes would quickly relax into the tail of localized states filling the exponential trap tail states, starting from the deepest levels (deep traps) and up to the characteristic energy level of the quasi-Fermi level of trapped holes Etp. The more photocarriers produced, the more trap states in the tail are filled, and thus the closer the Etp level gets to the transport path at the valence band edge at Ev. This shift in the Etp level is directly reflected in the MPC Iac(ω) spectra in Figure 4d with the apparent shift to higher frequencies of the crossover frequency ωs (vertical dashed lines). At ωs, a crossover is observed where the Iac(ω) signal exhibits a transition from a strong to a much weaker frequency dependence before reaching a plateau or saturation at a lower ω. This plateau signifies the so-called low frequency (LF) regime that occurs for ω << ωt. The crossover frequencies ωs are determined from the spectra of the Iac(ω)/Iaco(ω) ratio from Figure 4e calculated by dividing the Iac(ω) spectra by the Iaco(ω) spectrum from Figure 4d. It can be seen that each ratio Iac(ω)/Iaco(ω) in Figure 4e is close to unity (horizontal solid line) at higher frequencies (ω >> ωt) that define the HF regime. Around each ωs and lower frequencies, the Iac(ω)/Iaco(ω) ratio drops sharply following approximately a straight line. The extrapolation of this line intersects the horizontal solid line at the crossover frequency ωs (down arrow), defining the crossover from the HF to the LF regime. The crossover frequency ωs is used to determine the characteristic trapping frequency ωt, considering that ωt is approximately [20]
ω t ω s / 10
The ωt, from Equation (8) is introduced in the more general Equation (3) to determine the probe energy level Eω, depicted in panel (f) in Figure 4 (symbols), of the corresponding Iac(ω) spectra. By decreasing ω below ωs, the probed energy level Eω in Figure 4f shifts progressively slowly toward the corresponding quasi-Fermi level Etp, (horizontal arrows). Finally, in the LF regime where the Iac(ω) has reached a plateau, Eω is very close to Etp and hardly shifts by changing ω, confirming that the LF regime has indeed been reached and that Equation (8) is a good approximation. Moreover, Equation (8) can be introduced into Equation (4) to obtain
E tp E v = k T   l n 10   ν o / ω s
which is very useful as it provides an estimate of the energy gap (EtpEv). Taking advantage of this, we can determine the energy gap (EFEv). Particularly, in the case of the spectrum in Figure 4d obtained with the lowest intensity of the bias light (open circles), the current under illumination is comparable to the dark current. Therefore, the corresponding quasi-Fermi Etp level (horizontal dashed line) estimated at 0.56 eV above Ev is very close to the Fermi level EF and can be considered an estimation of the EF level: (EtpEv) ≈ (EFEv) ≈ 0.56 eV.
It should be emphasized that the characteristic variations in the Ip(ω) spectra in Figure 4a obtained by focusing the laser light beam at various positions along the transistor channel, are qualitatively very similar to the variations in the Iac(ω) spectra in Figure 4d obtained by varying the intensity of the bias light. A crossover from the HF to the LF regime also occurs in the Ip(ω) spectra of three-terminal devices at the crossover frequency ωs (vertical dashed lines). This frequency is determined from the ratio Ip(ω)/Ipo(ω) (Figure 4b), as in the case of the two-terminal devices (Figure 4e) described above. The corresponding characteristic trapping frequency ωt can be then estimated from the frequency ωs using Equation (8). Since the ωs in Figure 4a,b shifts to a higher frequency as the probe laser beam is placed progressively closer to the source, accordingly, the ωt calculated from Equation (8) shifts progressively to a higher ω.

3.4. Estimation of the Band Bending from the Ip(ω) Spectra

The shift of the ωt to higher frequencies in the Ip(ω) spectra observed above when the probe laser beam is displaced from the drain to the source side shows that the corresponding energy gap (EtpEv) calculated from Equation (9) is gradually decreasing. However, the Etp level during the SPCM measurements remains fixed in its equilibrium state near the EF level as shown in Figure 2 (dashed black line). This is because the photocurrent remains usually comparable to or lower than the source–drain dark current. Considering the zero of the energy scale at the Etp level, which as mentioned above is essentially at the EF level, the calculated (EtpEv) shown in Figure 6 (solid blue circles) represents the relative position of the edge Ev below the Etp or EF level along the channel of the transistor. In this calculation, we used in Equation (9) either the attempt-to-escape frequency νo = 1010 s−1 (left axis) previously obtained from our two-terminal pentacene devices [14] or the lower limit νo = 108 s−1 (right axis) recently obtained from rubrene crystals [20]. In Figure 6, the valence band Ev edge is closer to the Etp level on the source side, manifesting the increase of the upward band bending −S, shown graphically in Figure 2. Toward the drain, the Ev moves away from the Etp or EF level due to the applied Vds = −10 V causing a gradual decrease in the upward band bending.
As is evident in Figure 2, the corresponding upward band bending −s (red arrows) can be calculated from −s ≈ (EFEv) − (EtpEv). The energy gap (EtpEv) was obtained above from the Ip(ω) using Equation (9). The energy gap (EFEv) ≈ 0.56 eV from the EF level to the valence band Ev edge without upward band bending was obtained from the Iac(ω) spectra in the previous section. The calculated −s listed in the graph in Figure 2 increases gradually from 0.04 eV near the drain to 0.07 eV midway through the channel, and finally to 0.18 eV near the source.

3.5. Application of Our Analysis to the FR-SPCM Data of Other Authors

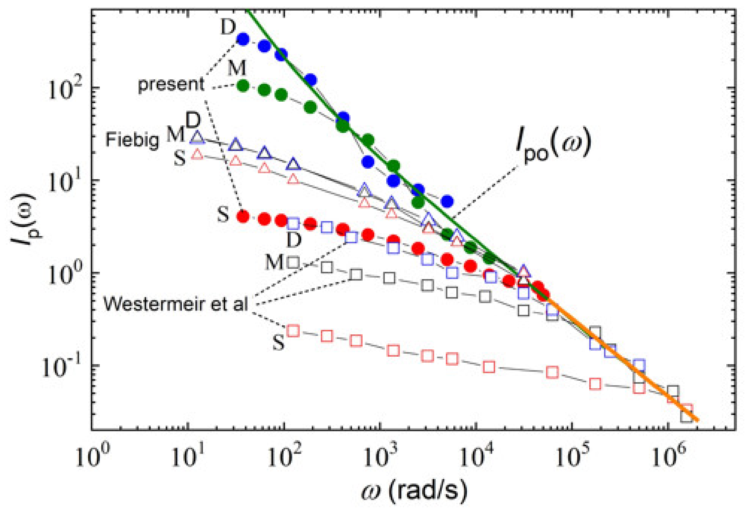
Photocurrent profiles Ip(x) along the channel of the FETs for different modulation frequencies ω of the probe laser beam have been reported by Westermeir et al. [12] and Fiebig [22]. We digitized these results from which we extracted the frequency dependence of the photocurrent, i.e., the Ip(ω) spectra near the source (S), in the middle between the source and drain (M), and near the drain (D), as in our device. For comparison, these spectra were vertically shifted to match at higher ω with each other and with the Ip(ω) spectra in Figure 4a. The resulting Ip(ω) spectra of all devices are plotted in Figure 7. From this figure, it is remarkable that the frequency dependence of the photocurrent Ip(ω) of all the different devices is very similar. In particular, by extrapolating at higher ω, the upper envelope Ipo(ω) (solid green line) of our Ip(ω) spectra, we obtain the upper envelope Ipo(ω) (solid orange line) corresponding to the HF regime of the Ip(ω) spectra (open squares) of Westermeir et al. [12]. These authors have performed SPCM measurements up to over ten times’ higher frequencies. The N(EωοEv) trap distribution derived from the Ipο(ω) spectra of Westermeir et al. [12] via Equation (7) is also exponential with Eo = 30 meV shown in Figure 5 (orange solid line) and is the extension at shallower trap depths of the exponential N(EωοEv) distribution derived from our device.
In the Ip(ω) spectra in Figure 7, the characteristic transition from the HF to the LF regime is observed in all devices. By decreasing the frequency below the respective crossover at ωs, the Ip(ω) signal shows a very similar weak frequency dependence without, however, the characteristic saturation in the LF regime observed in the iac(ω) spectra of two-terminal devices (Figure 4f). This can be attributed to the fact that the upward band bending in the pentacene accumulation layer vanishes within the Debye length LD, which includes about 2–3 pentacene monolayers above the insulator interface. In the first monolayer, the upward band bending is the highest and thus this layer has the highest density of trapped holes and the highest effective contribution to the Ip(ω) signal. Therefore, the characteristic transition from the HF to the LF regime and the saturation of the photocurrent produced from the first monolayer are expected at relatively higher frequencies. The respective lower contribution to Ip(ω) from the subsequent monolayers with the lower band bending is expected to continue to increase with decreasing ω and to saturate at lower frequencies. This may provide an increasing small contribution to the Ip(ω) signal at lower ω that can explain the weak increase in the Ip(ω) signal in the LF regime.
Using Equation (9), we calculated the position of Ev with respect to Etp using the corresponding crossover frequencies ωs, as determined from the Ip(ω) spectra in Figure 7, and the results from all the devices are presented in Figure 6. Similar to our device, the device of Westermeier et al. [12] also operates in the saturation region by applying the same voltages VGS = −20 V and VDS = −10 V, and the Ev edge from the drain to the source is also getting closer to the Etp or EF level. Therefore, an inhomogeneous upward band bending is confirmed along the channel, which is typical for transistors operating in the saturation region. In contrast, in Fiebig’s device [22], operating in the linear region with VGS = −30 V and VDS = −5 V, the edge Ev is at about the same energy below the Etp or EF level throughout the transistor channel (Figure 6). This indicates that the valence band bends up uniformly along the channel providing a constant upward band bending, which is characteristic of FETs operating in the linear region. This uniform band bending is further supported by the nearly uniform photocurrent profile Ip(x) reported by Fiebig for this transistor operating in the linear region [22].
Finally, it is important to note that in all the examined FETs presented in Figure 6, the edge Ev is located below the EF level assuming either attempt-to-escape frequency νο = 1010 s−1 or the relatively lower νο = 108 s−1. Therefore, the upward band bending for the applied VGS = −20 V or −30 V is not sufficient for the EF level to enter the valence band.

4. Conclusions

The presented experiments confirm that the SPCM Ip(x) profile can be used to monitor variations in the upward band bending along the conducting channel of pentacene FETs during turn-on and during their operation with different applied voltages. The FR-SPCM Ip(ω) spectra obtained by placing the laser probe beam at different positions within the channel between the source and drain were found to be very similar to the MPC spectra of the two-terminal pentacene devices obtained by changing the intensity of the bias light. As is the case with the photocurrent Iac(ω) spectra of two-terminal devices, the Ip(ω) spectra of FETs are associated with trap and release events in active empty probed trap states. These traps, which contribute effectively to the Ip(ω) signal, are selected by the modulation frequency of the probe laser beam. This allows us to use the FR-SPCM as a spectroscopic technique to determine the energy distribution of the active trap states of the first pentacene monolayers along the pentacene insulator interface, which are critical in controlling the performance of OFETs. Furthermore, the method applied to the MPC Iac(ω) spectra to estimate the energy gap of the quasi-Fermi Etp level from the valence band edge Ev can also be applied to the Ip(ω) spectra. In this way, the shift of the valence band edge Ev towards the Etp or EF level from the upward band bending caused by the negative gate voltage can be monitored along the conducting channel of organic FETs. The applicability of our methods was confirmed in the FR-SPCM data of pentacene FETs reported by other authors.

Author Contributions

Data curation, G.K. and N.V.; writing—original draft, A.G.; idea, writing—review & editing, P.K. All authors have read and agreed to the published version of the manuscript.

Funding

This research received no external funding.

Conflicts of Interest

The authors declare no conflict of interest.

References

  1. Ostroverkhova, O. Organic Optoelectronic Materials: Mechanisms and Applications. Chem. Rev. 2016, 116, 13279. [Google Scholar] [CrossRef] [PubMed]
  2. Yan, Y.; Zhao, Y.; Liu, Y. Recent progress in organic field-effect transistor-based integrated circuits. J. Polym. Sci. 2022, 60, 311. [Google Scholar] [CrossRef]
  3. Wang, C.; Zhang, X.; Dong, H.; Chen, X.; Hu, W. Challenges and Emerging Opportunities in High-Mobility and Low-Energy-Consumption Organic Field-Effect Transistors. Adv. Energy Mater. 2020, 10, 2000955. [Google Scholar] [CrossRef]
  4. Kim, C.H.; Bonnassieux, Y.; Horowitz, G. Charge distribution and contact resistance model for coplanar organic field-effect transistors. IEEE Trans. Electron. Devices 2013, 60, 280. [Google Scholar] [CrossRef] [Green Version]
  5. Chua, L.L.; Zaumseil, J.; Chang, J.F.; Ou, E.C.W.; Ho, P.K.H.; Sirringhaus, H.; Friend, R.H. General observation of n-type field-effect behaviour in organic semiconductors. Nature 2005, 434, 194. [Google Scholar] [CrossRef]
  6. Liewald, C.; Reiser, D.; Westermeier, C.; Nickel, B. Photocurrent microscopy of contact resistance and charge carrier traps in organic field-effect transistors. Appl. Phys. Lett. 2016, 109, 53301. [Google Scholar] [CrossRef]
  7. Mathijssen, S.G.J.; Spijkman, M.J.; Andringa, A.M.; van Hal, P.A.; McCulloch, I.; Kemerink, M.; Janssen, R.A.J.; de Leeuw, D.M. Revealing buried interfaces to understand the origins of threshold voltage shifts in organic field-effect transistors. Adv. Mater. 2010, 22, 5105. [Google Scholar] [CrossRef] [PubMed] [Green Version]
  8. Graham, R.; Yu, D. Scanning photocurrent microscopy in semiconductor nanostructures. Phys. Lett. B 2013, 27, 1330018. [Google Scholar] [CrossRef]
  9. Jia, Z.; Banu, L.; Kymissis, I. Photocurrent Study of Oxygen-Mediated Doping States in Pentacene Thin-Film Transistors. IEEE Trans. Electron. Devices 2010, 57, 380. [Google Scholar] [CrossRef]
  10. Fiebig, M.; Erlen, C.; Göllner, M.; Lugli, P.; Nickel, B. Spatially resolved photoresponse measurements on pentacene thin-film transistors. Appl. Phys. A 2009, 95, 113. [Google Scholar] [CrossRef]
  11. Tsen, A.W.; Cicoira, F.; Malliaras, G.G.; Park, J. Photoelectrical imaging and characterization of point contacts in pentacene thin-film transistors. Appl. Phys. Lett. 2010, 97, 23308. [Google Scholar] [CrossRef]
  12. Westermeier, C.; Fiebig, M.; Nickel, B. Mapping of Trap Densities and Hotspots in Pentacene Thin-Film Transistors by Frequency-Resolved Scanning Photoresponse Microscopy. Adv. Mater. 2013, 25, 5719. [Google Scholar] [CrossRef]
  13. Giannopoulou, A.; Kounavis, P. Visualization of channel formation of organic field-effect transistors by scanning photocurrent microscopy. Org. Electron. 2018, 58, 167. [Google Scholar] [CrossRef]
  14. Gorgolis, S.; Giannopoulou, A.; Kounavis, P. Charge carriers’ trapping states in pentacene films studied by modulated photocurrent. J. Appl. Phys. 2013, 113, 123102. [Google Scholar] [CrossRef]
  15. Vagenas, N.; Giannopoulou, A.; Kounavis, P. Density and Mobility Effects of the Majority Carriers in Organic Semiconductors under Light Excitation. J. Appl. Phys. 2015, 117, 33105. [Google Scholar] [CrossRef]
  16. Fraboni, B.; Matteouci, A.; Cavallini, A. Photocurrent studies of stress and aging in pentacene thin film transistors. Appl. Phys. Lett. 2006, 89, 222112. [Google Scholar] [CrossRef]
  17. Smith, M.B.; Michl, J. Singlet Fission. J. Chem. Rev. 2010, 110, 6891. [Google Scholar] [CrossRef]
  18. Lloyd-Hughes, J.; Richards, T.; Sirringhaus, H.; Johnston, M.B.; Herz, L.M. Exciton dissociation in polymer field-effect transistors studied using terahertz spectroscopy. Phys. Rev. B 2008, 77, 125203. [Google Scholar] [CrossRef] [Green Version]
  19. Qiao, X.; Zhao, C.; Chen, B.; Luan, L. Trap-induced photoconductivity in singlet fission pentacene diodes. Appl. Phys. Lett. 2014, 105, 33303. [Google Scholar] [CrossRef]
  20. Vagenas, N.; Podzorov, V.; Kounavis, P. Modulated-Photocurrent Spectroscopy of Single-Crystal Organic Semiconductor Rubrene with Pristine and Trap-Dominated Surfaces. Phys. Rev. Mater. 2021, 5, 63801. [Google Scholar] [CrossRef]
  21. Kounavis, P. Analysis of the modulated photocurrent experiment. Phys. Rev. B 2001, 64, 45204. [Google Scholar] [CrossRef]
  22. Fiebig, M. Spatially Resolved Electronic and Optoelectronic Measurements of Pentacene Thin Film Transistors. Ph.D. Thesis, Ludwig-Maximilians-Universität München, München, Germany, 2010. [Google Scholar]
Figure 1. Spatial photocurrent Ip(x) as a function of distance x measured from the source edge for the indicated voltages: −5 V (open circles), −6.5 (open triangles), −8 V (orange triangles), −9.5 V (magenta squares), −12 V (blue circles), −15 V (olive diamonds). Increasing the negative VGS above −6.5 V and keeping the VDS constant, the transistor gradually transits from the off-state, where Ip(x) is almost zero, to the on-state, in which the Ip(x) signal starts to increase first near the source for VGS = −8 V and −9.5 V and then at the drain side for more negative gate voltages (VGS < −9.5 V).
Figure 1. Spatial photocurrent Ip(x) as a function of distance x measured from the source edge for the indicated voltages: −5 V (open circles), −6.5 (open triangles), −8 V (orange triangles), −9.5 V (magenta squares), −12 V (blue circles), −15 V (olive diamonds). Increasing the negative VGS above −6.5 V and keeping the VDS constant, the transistor gradually transits from the off-state, where Ip(x) is almost zero, to the on-state, in which the Ip(x) signal starts to increase first near the source for VGS = −8 V and −9.5 V and then at the drain side for more negative gate voltages (VGS < −9.5 V).
Electronics 11 01799 g001
Figure 2. Schematic representation of the upward band bending at pentacene insulator interface for different positions in the transistor channel. The magnitude of the band bending −eΨs (red arrows) from the negative VGS voltage is deduced from the listed energy gaps (EtpEv) obtained from the SR-SPCM spectra by placing the laser beam near the source (S), midway between the source and drain (M), and near the drain (D). Note that only the relative positions of Etp and Ev levels can be determined. Their variation along the channel due to the applied VDS = −10 V cannot be deduced from our measurements. However, this voltage produces a reduction in −eΨs from source to drain, which is captured by the increase in the energy gap (EtpEv). Due to the band bending, empty hole traps (blue circles) are lifted above the Etp level and become filled with trapped holes (red circles) in the accumulation layer at the insulator interface, The Ip(x) profile (solid blue line) obtained for VGS = −20 V and VDS = −10 V reflects the inhomogeneous profile of trapped holes (red solid circles).
Figure 2. Schematic representation of the upward band bending at pentacene insulator interface for different positions in the transistor channel. The magnitude of the band bending −eΨs (red arrows) from the negative VGS voltage is deduced from the listed energy gaps (EtpEv) obtained from the SR-SPCM spectra by placing the laser beam near the source (S), midway between the source and drain (M), and near the drain (D). Note that only the relative positions of Etp and Ev levels can be determined. Their variation along the channel due to the applied VDS = −10 V cannot be deduced from our measurements. However, this voltage produces a reduction in −eΨs from source to drain, which is captured by the increase in the energy gap (EtpEv). Due to the band bending, empty hole traps (blue circles) are lifted above the Etp level and become filled with trapped holes (red circles) in the accumulation layer at the insulator interface, The Ip(x) profile (solid blue line) obtained for VGS = −20 V and VDS = −10 V reflects the inhomogeneous profile of trapped holes (red solid circles).
Electronics 11 01799 g002
Figure 3. Photocurrent Ip(x) as a function of distance x from the source edge for the indicated chopper frequencies f: 10 Hz (red circles), 60 Hz (green up triangles), 400 Hz (magenta squares), 800 Hz (red diamonds), 2.2 kHz (black down triangles). An overall reduction in Ip(x) that is relatively stronger on the drain side is produced by increasing f.
Figure 3. Photocurrent Ip(x) as a function of distance x from the source edge for the indicated chopper frequencies f: 10 Hz (red circles), 60 Hz (green up triangles), 400 Hz (magenta squares), 800 Hz (red diamonds), 2.2 kHz (black down triangles). An overall reduction in Ip(x) that is relatively stronger on the drain side is produced by increasing f.
Electronics 11 01799 g003
Figure 4. Photocurrent spectra of three-terminal pentacene FETs compared with the photocurrent spectra of two-terminal pentacene films on glass substrate. Spectra of photocurrent Ip(ω) (a), Ip(ω)/Ipο(ω) ratio (b), and probed trap depth (EωEv) (c) of pentacene FETs obtained for probe laser beam placed near the source (S) (red squares), midway the source and drain (M) (olive triangles), and near the drain side (D) (blue circles). Spectra of the MPC amplitude Iac(ω) (d), Iac(ω)/Iacο(ω) ratio (e), and probed trap depth (EωEv) (f) of pentacene two-terminal devices typically obtained by increasing intensity of the bias light: 1.2 × 1011 (grey circles), 7.5 × 1011 (blue circles), 4 × 1012 (olive triangles), 1.8 × 1013 (red squares) photons cm−2 s−1. Down and up arrows indicate frequencies ωs and ωt, respectively. Horizontal arrows indicate Etp level. Solid straight lines indicate (EωEv) calculated from Equation (5).
Figure 4. Photocurrent spectra of three-terminal pentacene FETs compared with the photocurrent spectra of two-terminal pentacene films on glass substrate. Spectra of photocurrent Ip(ω) (a), Ip(ω)/Ipο(ω) ratio (b), and probed trap depth (EωEv) (c) of pentacene FETs obtained for probe laser beam placed near the source (S) (red squares), midway the source and drain (M) (olive triangles), and near the drain side (D) (blue circles). Spectra of the MPC amplitude Iac(ω) (d), Iac(ω)/Iacο(ω) ratio (e), and probed trap depth (EωEv) (f) of pentacene two-terminal devices typically obtained by increasing intensity of the bias light: 1.2 × 1011 (grey circles), 7.5 × 1011 (blue circles), 4 × 1012 (olive triangles), 1.8 × 1013 (red squares) photons cm−2 s−1. Down and up arrows indicate frequencies ωs and ωt, respectively. Horizontal arrows indicate Etp level. Solid straight lines indicate (EωEv) calculated from Equation (5).
Electronics 11 01799 g004
Figure 5. The active probed trap distributions N(EωοEv) of the two- and three-terminal pentacene devices as a function of the probed trap depth (EωoEv). The trap distributions were calculated from Equation (7) using the Iacο(ω) values of Figure 4d and the Ipο(ω) values of our transistor from Figure 4a and the Ipο(ω) values of the transistor of Westermeir et al. [12] presented below in Figure 7.
Figure 5. The active probed trap distributions N(EωοEv) of the two- and three-terminal pentacene devices as a function of the probed trap depth (EωoEv). The trap distributions were calculated from Equation (7) using the Iacο(ω) values of Figure 4d and the Ipο(ω) values of our transistor from Figure 4a and the Ipο(ω) values of the transistor of Westermeir et al. [12] presented below in Figure 7.
Electronics 11 01799 g005
Figure 6. Valence band edge energy Ev below the Etp level along the channel of FETs from different laboratories. The energy Ev was calculated from Equation (9) using the crossover frequencies ωs of the corresponding Ip(ω) spectra in Figure 6 of our transistor (circles) and the transistors of Westermeir et al. [12] (squares) and Fiebig [22] (triangles), for νo = 1010 s−1 (left axis) and νo = 108 s−1 (right axis).
Figure 6. Valence band edge energy Ev below the Etp level along the channel of FETs from different laboratories. The energy Ev was calculated from Equation (9) using the crossover frequencies ωs of the corresponding Ip(ω) spectra in Figure 6 of our transistor (circles) and the transistors of Westermeir et al. [12] (squares) and Fiebig [22] (triangles), for νo = 1010 s−1 (left axis) and νo = 108 s−1 (right axis).
Electronics 11 01799 g006
Figure 7. Photocurrent Ip(ω) spectra as a function of the angular modulation frequency of FETs from different laboratories. The Ip(ω) signal is shown for probe laser illumination near the source (S), midway between the source and drain (M), and near the drain side (D). Ip(ω) signal derived by digitizing the SPCM Ip(x) profiles of different modulation frequencies reported by Westermeir et al. [12] (open squares) and Fiebig [22] (open triangles). The Ip(ω) spectra of the present work (solid circles) are taken from Figure 4a.
Figure 7. Photocurrent Ip(ω) spectra as a function of the angular modulation frequency of FETs from different laboratories. The Ip(ω) signal is shown for probe laser illumination near the source (S), midway between the source and drain (M), and near the drain side (D). Ip(ω) signal derived by digitizing the SPCM Ip(x) profiles of different modulation frequencies reported by Westermeir et al. [12] (open squares) and Fiebig [22] (open triangles). The Ip(ω) spectra of the present work (solid circles) are taken from Figure 4a.
Electronics 11 01799 g007
Publisher’s Note: MDPI stays neutral with regard to jurisdictional claims in published maps and institutional affiliations.

Share and Cite

MDPI and ACS Style

Kalemai, G.; Vagenas, N.; Giannopoulou, A.; Kounavis, P. Band Bending and Trap Distribution along the Channel of Organic Field-Effect Transistors from Frequency-Resolved Scanning Photocurrent Microscopy. Electronics 2022, 11, 1799. https://doi.org/10.3390/electronics11111799

AMA Style

Kalemai G, Vagenas N, Giannopoulou A, Kounavis P. Band Bending and Trap Distribution along the Channel of Organic Field-Effect Transistors from Frequency-Resolved Scanning Photocurrent Microscopy. Electronics. 2022; 11(11):1799. https://doi.org/10.3390/electronics11111799

Chicago/Turabian Style

Kalemai, Gion, Nikolaos Vagenas, Athina Giannopoulou, and Panagiotis Kounavis. 2022. "Band Bending and Trap Distribution along the Channel of Organic Field-Effect Transistors from Frequency-Resolved Scanning Photocurrent Microscopy" Electronics 11, no. 11: 1799. https://doi.org/10.3390/electronics11111799

APA Style

Kalemai, G., Vagenas, N., Giannopoulou, A., & Kounavis, P. (2022). Band Bending and Trap Distribution along the Channel of Organic Field-Effect Transistors from Frequency-Resolved Scanning Photocurrent Microscopy. Electronics, 11(11), 1799. https://doi.org/10.3390/electronics11111799

Note that from the first issue of 2016, this journal uses article numbers instead of page numbers. See further details here.

Article Metrics

Back to TopTop