Next Article in Journal
Error Correction for TLC and QLC NAND Flash Memories Using Cell-Wise Encoding
Previous Article in Journal
Research on Control Inertia and Stability of PMSG
 
 
Font Type:
Arial Georgia Verdana
Font Size:
Aa Aa Aa
Line Spacing:
Column Width:
Background:
Article

Evolutionary Game Analysis on Cloud Providers and Enterprises’ Strategies for Migrating to Cloud-Native under Digital Transformation

1
School of Management, Shanghai University of Engineering Science, Shanghai 201620, China
2
Student Department, Donghua University, Shanghai 201620, China
*
Author to whom correspondence should be addressed.
Electronics 2022, 11(10), 1584; https://doi.org/10.3390/electronics11101584
Submission received: 17 April 2022 / Revised: 13 May 2022 / Accepted: 13 May 2022 / Published: 16 May 2022
(This article belongs to the Section Computer Science & Engineering)

Abstract

:
Cloud-native is an innovative technology and methodology that is necessary to realize the digital transformation of enterprises. Promoting the wide adoption of cloud-native in cloud providers and enterprises has gained popularity in recent years. According to the technological and commercial characteristics of cloud-native, this paper analyzes the game relationship between cloud providers and enterprises on the selection of cloud-native, and combines evolutionary game theory to establish a model. In addition, empirical analysis indicates the impact of parameter changes on the dynamic evolution process. The results show that (1) enterprises are more vulnerable to the impact of direct benefit to adopt cloud-native, and cloud providers are especially affected by the cost of providing cloud-native; (2) enterprises are more likely to be impacted by the invisible benefit than cloud providers, but the impact has a marginal decreasing effect; (3) the low price is one of the reasons to attract enterprises; (4) enterprises are more concerned about the potential loss caused by the supply and demand mismatch. The results of the discussion provide a reference for all stakeholders to promote the implementation of cloud-native and the digital transformation of enterprises.

1. Introduction

Under the tide of digital transformation, enterprises are now challenged by the changes between new and traditional business appearance, which have obvious need for agile, flexible, personalized, and intelligent business. As a new technology concept, cloud-native plays a significant role in supporting enterprises to build and run flexible and scalable applications in new dynamic environments such as public cloud, private cloud, and hybrid cloud [1]. Cloud-native has the advantages of better performance, more efficient use of underlying resources, lower operating costs, and scalability [2]. According to the utilization maturity model of Tencent Cloud [3], the rate of average resource utilization could reach 60–70% by using cloud-native technology. The value of cloud-native has been widely recognized by industry, which is considered to be the future technical development direction of cloud computing. It has also been confirmed that many cloud services can be fully integrated with cloud-native architecture, resulting in improved performance.
In 2019, the market for cloud-native reached 35.02 billion in China. The market scale will exceed 50 billion in 2022 [4]. It is an inevitable conclusion in the future for cloud providers and enterprises to evolve their business and technology to cloud-native in the future. Some cloud providers are actively laying out cloud-native open-source projects to accelerate its technological competitiveness, such as Alibaba Cloud, Huawei Cloud, Google Cloud, and Tencent Cloud. With the strong capability of technological innovation, these leading cloud providers have promoted the rapid development of cloud-native, continuously pushed enterprise-grade products to vertical market segments, and have been more focused on providing refined services (refer to Table 1 below).
However, most small- and medium-sized cloud providers have doubts about embracing cloud-native due to the impact of a business model, their own interests (income, cost, etc.), technical strength, technical resources, and other factors. For example, small- and medium-sized cloud providers are better at single-point or multi-point breakthroughs and cannot face the diversified demands of enterprises for cloud-native. Meanwhile, some cannot independently support the deployment of large-scale nodes. Enterprises are faced with the dilemma of choosing between self-developed in-sourcing and out-sourcing by contract with the popularity of cloud-native technology. Business requirements, profits, costs, and risks are the factors affecting their choice of cloud-native services. According to the survey of Cloud Native Industry Alliance (CNIA) [12], when selecting cloud-native services, enterprises have concerns about the security, reliability, performance, and continuity of cloud-native in large-scale application (the survey accounted for 61%); and some enterprises also consider whether the learning cost and migration cost can be borne (the survey accounts for 47% and 40% respectively) (refer to Figure 1 below). It is a natural and stable choice for enterprises to cooperate with cloud providers, in the aim of realizing the construction of cloud-native landing. At present, cloud-native has a high degree of application in the Internet industry, communication industry, and financial industry. More than 60% of users are Internet enterprises. However, the penetration of cloud-native in most industries such as traditional manufacturing, retail, and education is still low.
Therefore, all stakeholders will primarily focus on how to promote the wide adoption of cloud-native technology in cloud providers and enterprises. Under the new reality, our research proposes an analytical framework to describe the dynamic interaction between cloud providers and enterprises. Cloud providers face strategic options (provision or non-provision of cloud-native services). Enterprises also have an either-or strategy (purchasing cloud-native services or not). With the use of evolutionary game theory, this paper builds an evolutionary game model for the evolution mechanism between cloud providers and enterprises, which is used to study the influencing factor and its evolutionary process. The research contributes to the development of new ideas and methods for promoting the implementation of cloud-native and the digital transformation of enterprises.
Evolutionary game theory was initially generated in biology. It defines individual bounded rationality as a game player who does not have the ability to accurately calculate its own profit and make the best decision-making, and can only explore the evolutionary stable strategy (ESS) of the system through trial-and-error and imitation [13]. In this paper, evolutionary game theory can be expressed as follows. First of all, cloud providers and enterprises in the market make purchasing decisions based on the maximization of individual utility (i.e., they make a rational response to the current state of the system). In addition, the system state evolves over time, and their utilities change immediately, resulting in replicated and dynamical adjustments in the behavioral strategies chosen by both parties.
The paper answers the following key questions.
  • First, should enterprises choose to purchase cloud-native services?
  • Second, should cloud providers choose to provide cloud-native services?
  • Third, which factors are associated with the choice of cloud providers and enterprises in cloud-native services?
  • Lastly, how do cloud providers choose the optimal strategy to attract enterprises under the provision of cloud-native services?
The remainder of the paper is organized as follows. Section 2 reviews the related research. Section 3 describes the issue with the corresponding assumption, and it builds the evolutionary game model. Section 4 provides the evolutionary analyses between the game players and analyzes the ESS of the model. The determining factors of the ESS, together with an empirical analysis and simulation, are presented in Section 5. Section 6 discusses the sensitivity analysis of selected parameters in details. Section 7 concludes the study and highlights related managerial implications.

2. Related Works

2.1. Cloud-Native

Cloud-native, which includes both technology (container, microservice, agile infrastructure, etc.) and management (DevOps, continuous delivery, Conway’s law, reorganization, etc.), is an idea of software architecture and an approach to the software development practice that fully exploits the advantages of cloud computing. As a forerunner in the concept and method of cloud-native, Matt Stine [14] from Pivotal proposed the concept of cloud-native and defined several key characteristics of cloud-native architecture, namely, 12-factor applications, microservices, self-service agile infrastructure, API-based collaboration, and antifragility. However, as one of the best cloud-native practitioners, Cloud Native Computing Foundation (CNCF) exists to promote best practices and community engagement. They considered that cloud-native uses an open source software stack to be containerized, dynamically orchestrated, and microservices-oriented [1]. The cloud-native concept is also considered to be built around containerization philosophy and the management of those containers through orchestration tools [15]. Currently, there are three major container orchestration platforms available in the market: Docker Swarm, Kubernetes, and Mesosphere. Kubernetes is by far the most dominant container orchestration platform, and has become a de-facto standard in cloud-native. Kubernetes provides a consistent resource pool over multiple clouds [16], which could greatly reduce the technical difficulties of multi-cloud placement and management, and improve the user experience and utilization efficiency of cloud-computing resources. For example, Kubernetes could manage containerized applications and data running on different public cloud providers, and it can also realize the connection among microservices distributed in multiple clouds and hybrid environments (data center and public cloud) [17]. However, Truyen et al. [18] found that there may still be incompatibilities among Kubernetes vendors by comparing the default cluster configurations of Azure Kubernetes Service (AKS), AWS Elastic Kubernetes Service (EKS), and Google Kubernetes Engine (GKE). They also proposed that almost all feature incompatibilities can be solved if vendors activate the KubeletConfiguration API. Osmani et al. [19] recognized that many plug-ins in Kubernetes networking are not fitted for the special requirements of telco industry and proposed to integrate Federated Kubernetes with the multi-cloud networking tool Network Service Mesh (NSM) to solve this problem.
Most academic researchers focus on the cloud-native application and the use of cloud-native. Cloud-native application (CNA) is the lynchpin of cloud-native, which covers the theories, tools, and methods of a cloud-native application lifecycle. CNA is characterized as a distributed, elastic, and horizontal scalable system composed of (micro) services, which is explicitly designed to run in the cloud [20]. CNA has to be resilient with the ability to relieve and recover from failures and unexpected fluctuations of both cloud resources and third-party services, and has to have elasticity with the ability to dynamically adjust resources in the face of load variation, avoiding over- and under-provisioning [21]. In CNA, existing studies have primarily concentrated on the CNA principles [15,22], CNA architecture [21], CNA methods [23,24], CNA properties [20], etc. Meanwhile, scholars look at ways to apply cloud-native to modern-day problems, such as healthcare scenarios (e.g., healthcare data acquisition [25], eHealth services orchestration platform [26]), and scientific fields (e.g., cloud-native data repositories [27], autonomous driving [28], e-commerce platform [29], et al.) Cloud-native technologies have become the key components of enterprises’ digital transformation and migration to the cloud, driven by the advantages of efficiency, security, cost, and developer needs.

2.2. Evolutionary Game Theory and Its Applications

Different from traditional game theory, evolutionary game theory does not require individuals to be completely rational, nor does it require the condition of complete information. Evolutionary game theory focuses on how individuals with bounded rationality can continuously optimize their payoffs by adaptive learning in the process of a repeated game [30]. Evolutionary game theory corresponds the payoffs in traditional game theory to the fitness in the theory of evolution, that is, the strategies with a high fitness are more likely to be retained, while the strategies with a low fitness will be eliminated. It takes a long process, but eventually a particular strategy will reach equilibrium in the system.
Evolutionary game theory was first developed by Fisher [31]. Since the 1970s, Smith and Price [32,33] proposed the basic concept of evolutionary game theory, namely evolutionary stable strategy (ESS). Later, Taylor and Jonker [34] put forward the basic dynamic concept of evolutionary game theory by investigating the phenomenon of ecological evolution, namely replicator dynamic (RD). These concepts constitute the core content of evolutionary game theory, representing the stable state of the evolutionary game and the dynamic convergence process to this stable state, respectively. A wide array of literature followed on, analyzing the stability of evolutionary game [35,36,37]. Meanwhile, the research on evolutionary game theory began to focus on asymmetric games from symmetric games [38,39]. Evolutionary game theory has also been gradually introduced into the field of economics to analyze supply chain management [40], corporate investing and financing behavior [41], electricity market [42], and so on. In addition, it is also used to study emerging technologies. The breakthrough innovation of emerging technologies is bound to break the balance of the original industrial system. All relevant participants should actively explore a rational approach to organizational change, establish an effective support system, and create a corresponding policy environment to adapt to the development of emerging technologies. A lot of research focuses on the co-opetition, security, privacy, and other issues brought about by the implementation of emerging technologies, such as big data [43], cloud computing [44], artificial intelligence (AI) [45], and blockchain [30].

2.3. Summary

The different topics of cloud-native have been studied from different views. The full and effective implementation of cloud-native has yet not been fully realized in all industries. There is a great deal of changes necessary for enterprises to adopt cloud-native, not only in their technology but also in their culture of organization and system [14]. Although migrating to cloud-native has been a popular topic in industry and academia in recent years, most of them focus on the technical level [46,47]. There is a research gap on how to promote the adoption and diffusion of cloud-native in all industries. This kind of research combines macro and micro levels and considers the features of cloud-native technology.
Cloud-native, which is an emerging industry, is still in its early stage of development. The sustainable development of cloud-native services depends on the adoption and continuous promotion of cloud providers and enterprises. Their strategies are restricted and influenced by many factors, such as technology, capital, environment, and the effects on each other. The existence of information asymmetry makes cloud providers and enterprises unable to fully realize the goal of maximizing their own interests. Compared with some traditional game methods, the behavior rules and decision-making characteristics of cloud providers and enterprises are completely in accord with the basic assumptions of evolutionary game theory.
Some studies [44,48] have discussed the adoption of cloud computing by using evolutionary game theory and established evolutionary game models, which rarely consider the technical and commercial characteristics of cloud-native or cloud computing, such as knowledge spillover, pricing, and potential losses caused by not adopting strategies. Considering these factors, as well as the cost and benefit from enterprises’ independent development, this paper uses evolutionary game theory to study the dynamic evolution process of their adopting professional and commercial cloud-native services. Then empirical analysis method is used to analyze the main factors affecting the evolution results, so as to provide theoretical support and enlightenment for fully realizing the application of cloud-native and accelerating the digital transformation of enterprises.

3. Evolutionary Game Model

3.1. Model Assumption

Cloud providers face an either-or strategy: provision or non-provision of professional and commercial cloud-native services. When providing the cloud-native services to enterprises, they can actively absorb and create value based on the services used by enterprises. However, they need to face the extreme complexity of cloud-native operation and maintenance. Enterprises are in the same situation as cloud providers. With the cloud-native services of cloud providers, enterprises not only improve the delivery efficiency of product development, but also pay more attention to improving their core-competition and business innovation; if completely relying on independent development, enterprises may be confronted with higher growth in construction costs and risks.
The game behavior between cloud providers and enterprises based on their own interests directly affects their strategies for migrating to cloud-native under digital transformation. Based on the above analysis, the game relationship between cloud providers and enterprises on the selection of cloud-native services is shown in Figure 2.
This paper studies the evolutionary game between cloud providers and enterprises under the asymmetric situation [33]. The strategies of both parties are different. From the bounded rationality [13] perspective of cloud providers and enterprises, their strategy spaces are S P = { P , N P } and S E = { B , N B } , respectively, in which P , N P denote provision or non-provision, and B and N B denote purchasing cloud-native services or not, respectively. We let x represent the proportion of cloud providers with the choice of provision ( P ) , and 1 x ( 0 x 1 ) represents the proportion of cloud providers with the choice of non-provision ( N P ) . In addition, y and 1 y ( 0 y 1 ) denote the proportion of enterprises with the choice of purchasing ( B ) or not ( N B ) , respectively. Meanwhile, the following assumptions are put forward.
  • When cloud providers have the choice of non-provision and enterprises with the choice of not purchasing cloud-native services, cloud providers can obtain the underlying earnings R 1 from basic cloud services. At this time, enterprises obtain the benefits E 1 and the cost C 1 from independent development.
  • When cloud providers have the choice of provision and enterprises with the choice of purchasing, enterprises must pay the price Q for using cloud-native services and obtain the services benefits E 2 . Providers make the format and its binding tools for cloud-native services available as open-source, which are billed in actual usage (i.e., pay-per-use [49]). They gain competitive advantages through the low-cost strategy brought about by the scale effect, good customer experience, technological capabilities, and ecological connectivity. Therefore, in contrast to independent development, the method of purchasing with cloud providers has a clear advantage, assuming E 2 E 1 and C 1 Q . At this time, cloud providers obtain the direct benefit Δ R from the purchase of cloud-native services by enterprises and the cost K from providing cloud-native services to enterprises.
The interaction between cloud providers and enterprises is often accompanied by knowledge spillovers. While using the professional and commercial cloud-native services from cloud providers, enterprises will also obtain knowledge resources spilled from cloud providers to improve their business capabilities. For example, based on the data and models accumulated by Alibaba Cloud, Wanwudezhi (i.e., a Chinese national culture e-commerce platform) builds its vertical e-commerce risk management and analysis system in combination with the characteristic data and models of plaything-related projects [11]. Wanwudezhi enjoys the benefits of Alibaba Cloud’s cloud-native services. Similarly, Alibaba Cloud’s cloud-native services can be iterated and pivoted based on critical feedback from Wanwudezhi, so as to form mutual benefit and win-win results. The value generated by knowledge spillover is obtained by the other party of the game in the interactive process [50]. In this paper, the value generated by knowledge spillovers is regarded as the invisible benefits of enterprises and cloud providers. Let E ˜ denote the invisible benefit of enterprises, and R ˜ denote that of cloud providers.
  • When cloud providers have the choice of provision and enterprises with the choice of not purchasing, enterprises face the potential loss λ 1 caused by needing cloud-native services and cannot solve problems by themselves in the future.
  • When cloud providers have the choice of non-provision and enterprises with the choice of purchasing, enterprises also face the losses λ 2 caused by the unmet demand. However, cloud providers have the potential loss γ due to abandoning the cloud-native market.

3.2. Model Framework

According to the aforementioned assumptions, a payoff matrix for both parties under different strategies is shown in Table 2.
The expected utility of cloud providers is computed by Equation (1) when they adopt ( P ) . The expected utility when cloud providers take ( N P ) is calculated by Equation (2). Thus, the average expected utility is aggregated in Equation (3) by the strategy choosing ratios.
U S Y = y ( R 1 + Δ R + R ˜ K ) + ( 1 y ) ( R 1 K )
U S N = y ( R 1 γ ) + ( 1 y ) R 1
U ¯ S = x U S Y + ( 1 x ) U S N
According to the Malthusian equation [51], the growth rate of the strategy selected by players should be equal to its relative fitness. Then the replicator dynamics equation is formulated in Equation (4) for cloud providers.
F ( x ) = d x d t = x ( U S Y U ¯ S ) = x ( 1 x ) [ y ( Δ R + R ˜ + γ ) K ]
Similarly, the expected utility of enterprises adopting ( B ) is computed by Equation (5). The expected utility of enterprises that take ( N B ) is calculated by Equation (6). The average expected utility of enterprises is in Equation (7). Then the replicator dynamics equation is given in Equation (8) for enterprises.
U B Y = x ( E 2 Q + E ˜ ) + ( 1 x ) ( E 1 C 1 λ 2 )
U B N = x ( E 1 C 1 λ 1 ) + ( 1 x ) ( E 1 C 1 )
U ¯ B = y U B Y + ( 1 y ) U B N
F ( y ) = d y d t = y ( U B Y U ¯ B ) = y ( 1 y ) { [ x ( E 2 Q + E ˜ ) ( E 1 C 1 ) + λ 1 + λ 2 ] λ 2 }
The evolutionary game model combines Equations (4) and (8), which is a dynamic system. By setting Equations (4) and (8) to 0 and solving the equations, we can obtain the five equilibrium points (EPs) of the replicator dynamics system, as ( 0 , 0 ) , (0,1), (1,0), (1,1), (x0,y0), where x 0 = λ 2 ( E 2 Q + E ˜ ) ( E 1 C 1 ) + λ 1 + λ 2 , y 0 = K Δ R + R ˜ + γ .
Proposition 1.
For the five EPs of the replicator dynamic system, we can deduce that E 2 Q + E ˜ + λ 1 E 1 C 1 , Δ R + R ˜ + γ K .
Proof of Proposition 1.
According to the previous assumptions, there are 0 x 0 1 and 0 y 0 1 , that is, 0 λ 2 ( E 2 Q + E ˜ ) ( E 1 C 1 ) + λ 1 + λ 2 1 and 0 K Δ R + R ˜ + γ 1 . And considering the assumptions of other parameters, we can further obtain that E 2 Q + E ˜ + λ 1 E 1 C 1 , Δ R + R ˜ + γ K .  □

4. Model Analysis

The EPs obtained by the replicator dynamics system are not necessarily an ESS. Therefore, we study the features of these EPs based on Proposition 2.
Proposition 2.
For the five EPs of the replicator dynamic system, we can make the following deductions:
(1) 
the EPs (0,1) and (1,0) are unstable points;
(2) 
the EPs ( x 0 , y 0 ) is a saddle point;
(3) 
the EPs ( 0 , 0 ) and ( 1 , 1 ) are two ESSs.
Proof of Proposition 2.
According to Friedman [52], we analyze the stability of the EPs using the Jacobian matrix. We take the partial of Equations (4) and (8) with respect to x and y respectively, and the Jacobian matrix J is presented in Equation (9).  □
J = ( F 11 F 12 F 21 F 22 )
From Equation (9), det ( J ) is calculated as Equation (10) and tr ( J ) is Equation (11),
det ( J ) = F 11 F 22 F 12 F 21
tr ( J ) = F 11 + F 22
where F 11 = ( 1 2 x ) ( y ( Δ R + R ˜ + γ ) K ) ,
F 12 = x ( 1 x ) ( Δ R + R ˜ + γ ) ,
F 21 = y ( 1 y ) ( ( E 2 Q + E ˜ ) ( E 1 C 1 ) + λ 1 + λ 2 ) ,
F 22 = ( 1 2 y ) { x ( ( E 2 Q + E ˜ ) ( E 1 C 1 ) + λ 1 + λ 2 ) λ 2 } .
An ESS must satisfy det ( J ) > 0 and tr ( J ) < 0 . And the local stability analyses of these EPs are evaluated in Table 3.
As Table 3 shows, we obtain two unstable points, two ESSs, and a saddle point. For the points (0,1) and (1,0), the signs of det ( J ) and tr ( J ) are both positive, we call them unstable points; for the points ( 0 , 0 ) and ( 1 , 1 ) , the signs of det ( J ) are positive and tr ( J ) are negative, we call them ESSs, that is, the system converges to { N P , N B } and { P , B } respectively.
The Jacobian matrix J 0 for the saddle point ( x 0 , y 0 ) is as follows:
J 0 = ( 0 κ 1 κ 2 0 )
where κ 1 = λ 2 ( ( E 2 Q + E ˜ ) ( E 1 C 1 ) + λ ) ( Δ R + R ˜ + γ ) ( ( E 2 Q + E ˜ ) ( E 1 C 1 ) + λ 1 + λ 2 ) 2 ,
κ 2 = K ( Δ R + R ˜ + γ K ) ( ( E 2 Q + E ˜ ) ( E 1 C 1 ) + λ 1 + λ 2 ) ( Δ R + R ˜ + γ ) 2 .
According to the Proposition 1, we can get κ 1 > 0 and κ 1 > 0 . Then the determinate and trace of matrix J 0 are as follows:
det ( J 0 ) = κ 1 κ 2 < 0
tr ( J ) = 0
Thus, the point (x0,y0) is a saddle point but not an asymptotic ESS of the system. The proof of Proposition 2 is completed.
Under Proposition 2, it can be found that the dynamic evolution process eventually converges to the two equilibrium points ( 0 , 0 ) and ( 1 , 1 ) , that is, individuals in the system adopt the { N P , N B } strategy or the { P , B } strategy. In addition, the direction in which the saddle point moves is affected by the initial state of the system; the direct benefit from the purchase of cloud-native services by enterprises; the cost of providing cloud-native services for enterprises; the benefit and cost from enterprises’ independent input for research and development; the benefit from professional and commercial cloud-native services purchased by enterprises; the invisible benefit from the dynamic interaction between cloud providers and enterprises; the price of cloud-native service; and the potential losses of the supply and demand mismatch between cloud providers, enterprises, and so on. Therefore, cloud providers and enterprises could adjust these parameters to move the dynamic system to the ideal EP and promote the full application of cloud-native.
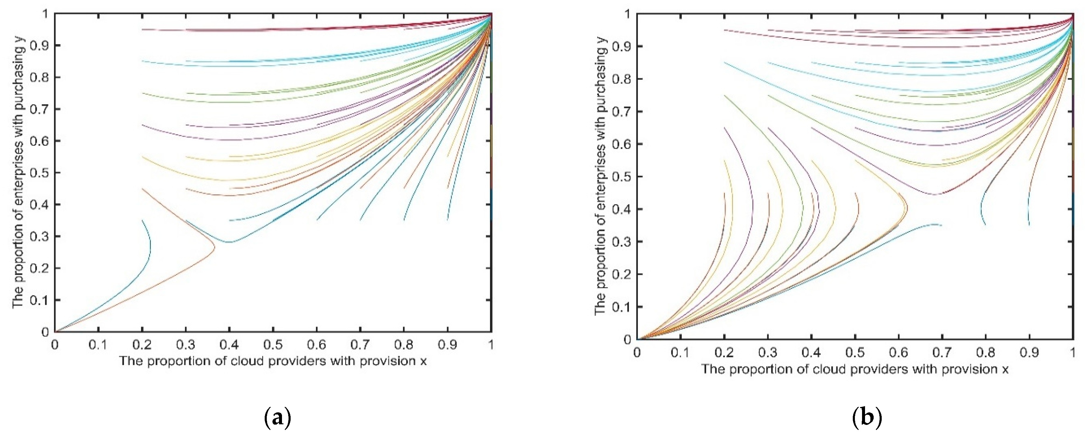
The system could be divided into two regions by the saddle point ( x 0 , y 0 ) , the stable points ( 0 , 0 ) , and ( 1 , 1 ) for the nodes: region I and II, as shown in Figure 3. When the initial state falls in region I, cloud providers tend to take ( N P ) , and enterprises also tend to take ( N B ) ; when the initial state falls in region II, cloud providers tend to adopt ( P ) , and enterprises tend to adopt ( B ) .
Proposition 3.
The decision probability of cloud providers and enterprises is related to the area of regions I and II, that is, the larger the area, the higher the decision probability.
Proposition 3 is verified by subsequent simulation.
From the dynamic evolutionary path in Figure 3, the area of region II is computed by Equation (15).
S II = 1 1 2 [ λ 2 E 2 P + Δ E ( E 1 C 1 ) + λ 1 + λ 2 + K R 2 + Δ R + γ ]

5. Empirical Analysis and Simulation

In order to further validate and test the proposed models, this paper introduces an empirical analysis based on the open data relating to Cloud Native Best Practices Alliance (CNBPA) and QingCloud, announcements from relevant regulations, and similar studies. Moreover, based on the benchmark of empirical analysis, sensitivity analysis of different parameters can provide deeper management implications into the research problem, which is performed in Section 6.

5.1. Data and Parameters

A 2020 report from market research firm iResearch shows 20–35% of virtualization applications have been widely covered by containers in China’s public cloud market [53]. We let the initial value of x be 0.20. According to the survey of CNBPA, Alauda, and Cloud Native Technology Community (CNTC), from 2020–2021, about 35% of enterprises cooperate with cloud providers to purchase relatively standardized third-party cloud-native basic platforms at this stage [54]. Thus, let the initial value of y be 0.35. As a front-runner of hybrid cloud providers in China, QingCloud launched the commercial application of Kubesphere in 2018, driving the growth of the related revenue from 611,500 Yuan in the first half of 2020 to 11.4426 million yuan in the same period of 2022. KubeSphere is a distributed operating system for cloud-native application management, using Kubernetes as its kernel. According to the 2021 semi-annual reports of QingCloud, the purchase of cloud service consumables is 887,620.34 Yuan, and the revenue of cloud services is 68.2936 million Yuan, of which the revenue of the QKE (QingCloud KubeSphere Engine) container platform is 920,800 Yuan. QKE are billed in actual usage, and the enterprise test environment is selected in the official website at a price of 7.8245 Yuan for 1 hour or 5633.64 Yuan for 1 month, including one master node (ECS, 4-core, 8G), two enterprise nodes (ECS, 8-core, 16g), and one client node (ECS, 2-core, 4G). For the same equipment, an enterprise needs to pay 22,863 Yuan on JD.com (in November 2021), not counting the costs of installation and manpower. Therefore, we can set the basic parameter values to as follows: Δ R = 92 , Q = 0.56 , and C 1 = 2.29 in 10,000 Yuan. Referring to Luo et al. [50], we set the remaining parameters and corresponding initial values as shown in Table 4.

5.2. Simulation Results

According to the three groups of values in Table 4, the conclusion in Section 4 is tested, that is, to verify the relationship between the value of S II and ESS. Figure 4 is obtained by using MATLAB to simulate the evolution game of the model. The horizontal axis x indicates the probability that the cloud provider adopts the ( P ) strategy, and the vertical axis y indicates the probability that the enterprise adopts the ( B ) strategy. The evolution trajectory of the system is shown in Figure 4.
From Table 4 and Figure 4, we find that the evolutionary stable strategy of the system converges to { N P , N B } with the decrease of S II (the area of region II) on the same initial value ( x , y ) ; on the contrary, the evolutionary stable strategy of the system converges to { P , B } with the increase of S II . Therefore, Proposition 3 in Section 4 is verified, which also provides theoretical support for the subsequent research on the strategy evolution mechanism of cloud providers and enterprises.

6. Sensitivity Analysis and Discussion

In this section, this paper focuses on how to evaluate the impact of the direct benefits ( E 1 , E2, and ΔR), invisible benefits ( E ˜ and R ˜ ), costs (C1 and K), cloud-native service price ( Q ), and potential losses ( λ 1 , λ 2 , and γ ) on the system evolution. Based on the empirical analysis (the first situation), the values of other parameters are consistent with the empirical analysis when analyzing one parameter. This study can provide a more targeted decision-making basis for promoting the implementation of cloud-native and the digital transformation of enterprises.

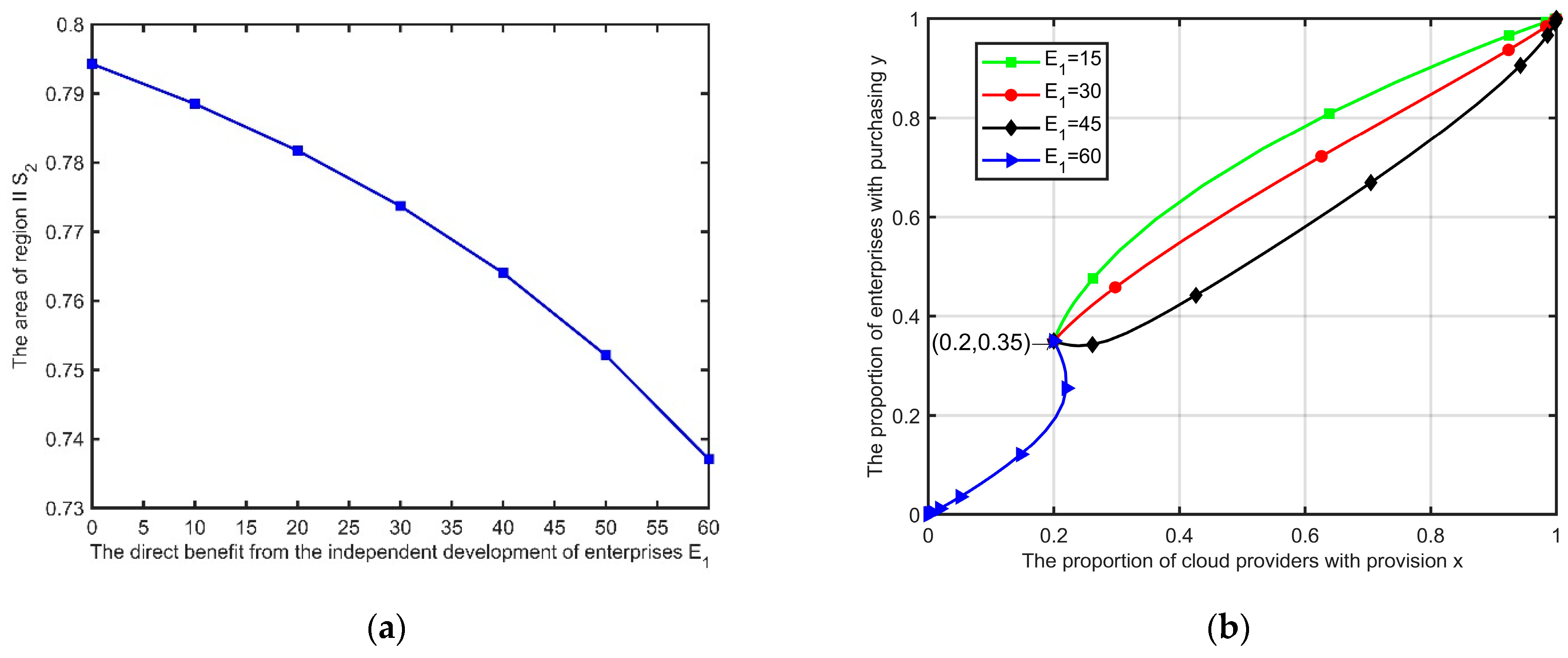
6.1. The Impact of the Direct Benefit from Enterprises’ Independent Development on the System Evolution

From Figure 5a, we find that S II is inversely proportional to E 1 , which means that the smaller the benefit E 1 from the independent development of enterprises is, the larger the value of S II becomes, and the probability of convergence to (1,1) increases. Let E 1 changes happen over interval [ 15 , 60 ] in incremental steps of 15, and Figure 5b is obtained by using MATLAB to simulate the processes of the evolution game. The horizontal axis x indicates the probability that cloud providers adopt ( P ) , and the vertical axis y indicates the probability that enterprises adopt ( B ) . As can be seen from Figure 5b, when E 1 is relatively low ( E 1 = 15 , 30 , 45 ), cloud providers and enterprises certainly adopt the { P , B } strategy to promote cloud-native industry development; when E 1 = 60 , the stable strategy of the system evolution changes from ( 1 , 1 ) to ( 0 , 0 ) . It means that the evolutionary stable strategy of the system converges to { P , B } with a decrease of the benefit from enterprises’ independent development. Therefore, enterprises are less interested in adopting the (B) strategy than getting a higher benefit through independent development. It happens only under the most ideal circumstances since enterprises need to consider other factors, such as cost, price, and so on, which will be further analyzed in the following sections.

6.2. The Impact of the Direct Benefits from the Adoption of Professional and Commercial Cloud-Native Services on the System Evolution

E 2 and Δ R respectively represent the direct benefits obtained by cloud providers and enterprises due to the adoption of professional and commercial cloud-native services, so they are analyzed together. From Figure 6a, it can be seen that the higher the service benefit E 2 is, the greater the value of S II becomes, and so does Δ R . It shows that the evolutionary stable strategy of the system converges to { P , B } with the increase of these benefits obtained by cloud providers or enterprises through cloud-native services. Thus, we can see that cloud providers and enterprises behave as homo economicus, because they are self-interested profit-maximizers [55], which implies that their choices of cloud-native are based on their own profits. As the same time, as the value of E 2 or Δ R increases, the growth of the S II value is the marginal cost of the decreasing trend; and the slope of the former is relatively higher. When E 2 = 125 , the stable strategy of system evolution is ( 1 , 1 ) ; when Δ R = 125 , the stable strategy of system evolution is ( 0 , 0 ) (refer to Figure 6b,c below). It shows that enterprises are more easily affected by the benefit from professional and commercial cloud-native services than providers in the progress of adopting cloud-native services, but the marginal benefit of the impact is descending (Figure 6a).

6.3. The Impact of the Invisible Benefits from the Adoption of Professional and Commercial Cloud-Native Services on the System Evolution

Figure 7a shows the numerical results for the impact of the invisible benefits E ˜ and R ˜ on the S II value. We find that S II is directly proportional to E ˜ and R ˜ , which means that the higher the invisible benefits is, the larger the value of S II becomes, and the probability of convergence to ( 1 , 1 ) increases (Figure 7c). Theoretically, it can be explained that enterprises’ choices of purchasing ( B ) depend to some extent on the influence of cloud providers in the field, and their choices are driven by the overall scale effect of providers. At the same time, cloud providers offer a wide array of goods and services for enterprises not only to maximize immediate benefits, but also to create greater value for the future, such as the construction of a cloud-native ecosystem, the instrumentalization of algorithms and data, and the cloudization of collaboration.
In Figure 7a it can be seen that as the value of E ˜ or R ˜ increases, the growth of S II value begins to slow down, which shows that the impacts from invisible benefits have a marginal decreasing effect; and the slope of the former is relatively higher. A change of R ˜ has a marked impact on the S II value if the invisible benefits are low, and only when the invisible benefits increase to a certain degree ( E ˜ = 20 , R ˜ = 20 ) does E ˜ have a significant effect on the S II value. The results are also shown in Figure 7b,c. We find that compared to the impact of E ˜ in Figure 7b, the dynamic evolutionary path triggers a huge fall and then tends to the stable point ( 1 , 1 ) in Figure 7c ( E ˜ = 65 , R ˜ = 65 ). Therefore, compared with cloud providers, enterprises are more likely to be affected by the invisible benefits and to increase their willingness to purchase cloud-native services, but there are diminishing marginal returns to the impact of the invisible benefits on strategy.

6.4. The Impact of the Costs for Enterprises’ Independent Development and Cloud Providers in Providing Cloud-Native Service on the System Evolution

The numerical results for the impact of the cost C 1 on the S II value are shown in Figure 8a. It is shown that S II is directly proportional to C 1 , which means that the increase of the C 1 value can make the game strategies converge to { P , B } . In Figure 9a, the S II value demonstrates the downward trend with the increase of the cost K , indicating that the strategies of both sides converge to { N P , N B } . Theoretically, it can be explained that it is an effective measure to attract more enterprises to choose professional and commercial cloud-native services by bringing into full play the scale effect of cloud providers, optimizing their allocation of resources, reducing the cost of providing cloud-native services to enterprises, and improving the security and reliability of cloud-native services; and they also provide differentiated services, enabling enterprises to work more efficiently and reduce their investment in labor and capital. Meanwhile, we find that the growth of the S II value is the marginal cost of the decreasing trend in Figure 8a. Therefore, cloud providers are more vulnerable to the impact of the cost of providing cloud-native services and change their willingness.
Figure 8b and Figure 9b respectively show the impact of the costs C 1 and K on the evolution paths of game strategy. When the cost of independent development ( C 1 = 15 , C 1 = 20 ) is well above the purchase price ( P = 0.56 ), the game strategies evolve to { P , B } . However, when the cost of providing cloud-native services by cloud providers ( K = 55 ) is heading for their service benefit ( R 2 = 92 ), the game strategies converge to { N P , N B } . This is also in line with the homo economicus hypothesis, which means that providers and enterprises are both totally self-interested in the pursuit of their economic activity.

6.5. The Impact of the Cloud-Native Service Price on the System Evolution

Generally, cloud providers offer free-trial periods so enterprises can test the arrangement of viewing profiles and some suitable matches before paying. For example, certified users can get a QKE free trial voucher worth 50 Yuan on QingCloud’s official website. Therefore, in order to meet C 1 Q , let the value of Q changes over an interval of [ 0 , 2.29 ] in incremental steps of 0.01, as shown in Figure 10a. Under three different C 1 values, the S II value decreases approximately linearly with the increase of Q , so that the game strategy gradually converges to { N P , N B } . There is a negative linear correlation between the price of cloud-native services and the willingness of both parties to adopt cloud-native services. In addition, we also find that the initial value of S II rises from 0.738 in C 1 = 2.29 to 0.7622 in C 1 = 20 , which shows that this contribution is more significant only when there is a large difference between C 1 and Q . This is also proved in Figure 10b–d. When C 1 = 2.29 , it tends to { N P , N B } in four cases; when C 1 = 12.75 , it tends to { P , B } only when the price gap is larger; when C 1 = 20 , it tends to { P , B } in four cases because of the larger gap. All the above suggest that the low price of cloud-native services is one of the key factors to attract enterprises. Theoretically, cloud providers can develop new products and launch new services at a lower marginal cost of management by comparison with traditional software providers, so that the start-up cost of new businesses is zero and the price is also cheaper. Most cloud providers adopt a pay-per-use model to calculate the cloud services price at present, which can enable enterprises to use cloud services with less investment and controllable cost in the initial stage. This is also one of the reasons to attract enterprises to widely adopt cloud computing. Similarly, the advantages of this pricing model will also affect enterprises’ choice of cloud-native services.
However, as can be seen from Figure 10a, when C 1 = 20 , the value of S II increases only from 0.7596 to 0.7622 with the decrease of price, which means that the impact of the cloud-native service price on the system’s evolution is relatively small. This is because enterprises actually overspend on cloud-native services in the subsequent stages if they do not have full visibility into the capacity, services, applications, assets, and usage. This is consistent with the survey results of CNIA, that is, 15% of enterprises consider that the input–output ratio needs to be evaluated.

6.6. The Impact of the Potential Losses on the System Evolution

From Figure 11a it can be seen that when one party of the game chooses an aggressive strategy for promoting cloud-native industry development, the increase in potential loss of the other party is beneficial for the system, evolving to the stable point ( 1 , 1 ) . That is, the higher the potential loss λ 1 is, the greater the value of S II becomes, and so does γ . A change of γ has a marked impact on the S II value when the potential losses are below a certain value ( γ = 20 , λ 1 = 20 ). However, the slope of S II with λ 1 is relatively large. Figure 11b,c also proved this result. When λ 1 = 5 , the dynamic evolutionary path converges to ( 0 , 0 ) ; but with γ = 5 , the dynamic evolutionary path converges to ( 1 , 1 ) . When both of them are in the range of 25–35, the curve evolution of the system is faster over time as λ 1 changes more than that of γ . This shows that enterprises can be especially affected by potential loss and increase their willingness to purchase cloud-native services. Incentives from the potential losses have a marginal decreasing effect in Figure 11a.
From Figure 10a it can also be seen that S II value shows a downward trend with increasing λ 2 . When cloud providers do not offer cloud-native services, the increasing costs incurred by enterprises seeking services and spiritual losses caused by unsatisfied services reduce their willingness to purchase cloud-native services and prefer to adopt independent development. From Equations (4) and (8), we can obtain that λ 2 has little to do with the evolutionary path.

7. Conclusions

Cloud-native is the best way for enterprises to realize digital transformation, which makes cloud providers change from how to sell cloud services to enterprises to how to provide cloud resources to enterprises in the form of capabilities. Most of the literature studies focused on the development and application of cloud-native technology and failed to consider how to promote the wide adoption and diffusion of cloud-native in cloud providers and enterprises. This paper uses the analysis tool of evolutionary game theory and constructs a strategy selection model of cloud providers and enterprises for cloud-native, together with the empirical analysis and sensitivity analysis, to study the influence of different factors on the dynamic evolution. The primary conclusions and management implications are as follows.
First, cloud providers and enterprises both behave as homo economicus, changing their selection of cloud-native services in response to the direct benefits and costs before and after adopting cloud-native services. Moreover, the direct benefit from professional and commercial cloud-native services has a stronger pushing impact on the willingness of enterprises to purchase cloud-native services, and the cost of development and application demonstrates an intensive effect on the willingness of cloud providers to offer cloud-native services. Hence, governments at all levels could take a two-way operation to promote the development of cloud-native industry. On the one hand, governments could formulate a series of preferential policies to encourage the use of cloud-native for enterprises, such as subsidy policy, tax exemption, tax credits, and so on; on the other hand, governments could make corresponding efforts towards developing the core technology of cloud-native technology and reducing the cost of building cloud-native infrastructure, such as major projects and demonstration projects of cloud-native.
Second, the invisible benefits obtained by each other’s knowledge spillover in the service process between cloud providers and enterprises is one of the key factors affecting both parties to adopt cloud-native services. Enterprises can be especially affected by the invisible benefit more so than cloud providers; but the impact of the invisible benefits on the strategy has a marginal decreasing effect. Therefore, cloud providers should be encouraged to cooperate with the leading group in the industry to build an open architecture and a sustainable cloud-native ecosystem. This will also help enterprises realize digital transformation and upgrading more quickly, intelligently, and cheaply, so as to achieve symbiosis and a win-win situation.
Third, there is a negative linear correlation between the price of cloud-native services and the willingness of both parties to choose cloud-native services. Therefore, cloud providers can continue to extend the low-price advantage of traditional cloud services to cloud-native services.
Last, enterprises are more concerned about the potential loss caused by the supply and demand mismatch between enterprises and cloud providers; but the impact of potential loss on the strategy also has a marginal decreasing effect. In practice, potential loss may expand with the development of cloud-native technology, which will also further promote the wide adoption and diffusion of cloud-native services.
As for future research directions, three aspects are considered as follows. First, this paper only involves enterprises and cloud providers in the evolutionary game. In reality, other stakeholders (i.e., governments and independent software vendors) may play important roles. Therefore, it is worth studying the strategic interactions of all possible stakeholders and making the model more practical.
Second, this paper focuses on the impact of the price on the adoption and diffusion of cloud-native services, but ignores the impact of different price models, which is worth further discussion. The different price models (i.e., pay-per-use, subscription, tiered pricing) has always been an important factor affecting enterprises to adopt cloud-native services or cloud services [49].
Third, this paper considers the cost of cloud-native development and application as a fixed value, but the cost may be changeable and affected by internal and external factors, such as the invisible benefit, direct benefit, and so on. Meanwhile, the flexible cost strategy of cloud-native is a way for cloud providers to control development costs and maximize benefits [56]. This is worthy of further research.

Author Contributions

Conceptualization, R.Z.; methodology, R.Z. and H.L.; software, R.Z. and Q.W.; validation, R.Z., Q.W. and Y.L.; formal analysis, R.Z.; data curation, R.Z.; writing—original draft preparation, R.Z.; writing—review and editing, R.Z. and Y.L.; visualization, R.Z. and Q.W.; supervision, R.Z.; project administration, R.Z.; and funding acquisition, R.Z. All authors have read and agreed to the published version of the manuscript.

Funding

This research was supported by the Humanity and Social Science Youth foundation of Ministry of Education of China (No. 15YJCZH232) and Shanghai Philosophy and Social Science Planning Project (No. 2021EGL005).

Data Availability Statement

All data generated or analyzed during this study are included in this manuscript.

Conflicts of Interest

The authors declare no conflict of interest.

References

  1. CNCF Cloud Native Definition v1.0. Available online: https://github.com/cncf/toc/blob/d504e409008450f4cd95231faedf05cc80ae4916/DEFINITION.md (accessed on 11 April 2022).
  2. Linthicum, D.S. Cloud-Native Applications and Cloud Migration: The Good, the Bad, and the Points Between. IEEE Cloud Comput. 2017, 4, 12–14. [Google Scholar] [CrossRef]
  3. The Source of Cost Reduction-Cloud Native Cost Management Whitepaper. Available online: https://cloud.tencent.com/developer/article/1898145 (accessed on 11 April 2022).
  4. Cloud-Native Development Whitepaper. 2020. Available online: http://www.caict.ac.cn/kxyj/qwfb/bps/202007/t20200729_287393.htm (accessed on 11 April 2022).
  5. The Cloud-Native Architecture White Paper by Alibaba Cloud. Available online: https://developer.aliyun.com/topic/cn-architecture-paper?spm=a2c6h.12873639.article-detail.5.4c6a1914LrHrwV (accessed on 30 April 2022).
  6. Hybrid Cloud White Paper. 2019. Available online: http://www.caict.ac.cn/kxyj/qwfb/bps/201907/t20190704_202498.htm (accessed on 30 April 2022).
  7. Cloud Native 2.0 White Paper. Available online: https://www.huaweicloud.com/about/cloudnative2_0_whitepaper.html (accessed on 30 April 2022).
  8. Seetatech. Available online: http://www.seetatech.com/index_e.html (accessed on 30 April 2022).
  9. Intel, Google Cloud Aim to Advance 5G Networks, Edge Innovations. Available online: https://www.intel.com/content/www/us/en/newsroom/news/advance-5g-networks-edge-innovations.html#gs.yftg4w (accessed on 30 April 2022).
  10. The Logistics Solution of Deppon Express. Available online: https://sf.163.com/customer/dbkd (accessed on 30 April 2022).
  11. The Case of Wanwudezhi. Available online: https://developer.aliyun.com/article/779283 (accessed on 30 April 2022).
  12. China Cloud Native User Survey Report. 2020. Available online: http://www.caict.ac.cn/kxyj/qwfb/ztbg/202010/t20201021_360375.htm (accessed on 11 April 2022).
  13. Vincent, T.L. Evolutionary Games. J. Optim. Theory Appl. 1985, 46, 605–612. [Google Scholar] [CrossRef]
  14. Stine, M. Migrating to Cloud-Native Application Architectures; O’Reilly: Sebastopol, CA, USA, 2015. [Google Scholar]
  15. Kosińska, J.; Zielinski, K. Autonomic Management Framework for Cloud-Native Applications. J. Grid Comput. 2020, 18, 779–796. [Google Scholar] [CrossRef]
  16. Han, J.; Park, S.; Kim, J. Dynamic OverCloud: Realizing Microservices-Based IoT-Cloud Service Composition over Multiple Clouds. Electronics 2020, 9, 969. [Google Scholar] [CrossRef]
  17. Han, J.; Hong, Y.; Kim, J. Refining Microservices Placement Employing Workload Profiling Over Multiple Kubernetes Clusters. IEEE Access 2020, 8, 192543–192556. [Google Scholar] [CrossRef]
  18. Truyen, E.; Kratzke, N. Managing Feature Compatibility in Kubernetes: Vendor Comparison and Analysis. IEEE Access 2020, 8, 228420–228439. [Google Scholar] [CrossRef]
  19. Osmani, L.; Kauppinen, T.; Komu, M.; Tarkoma, S. Multi-Cloud Connectivity for Kubernetes in 5G Networks. IEEE Commun. Mag. 2021, 59, 42–47. [Google Scholar] [CrossRef]
  20. Kratzke, N.; Quint, P.-C. Understanding Cloud-Native Applications after 10 Years of Cloud Computing—A Systematic Mapping Study. J. Syst. Softw. 2017, 126, 1–16. [Google Scholar] [CrossRef]
  21. Toffetti, G.; Brunner, S.; Blöchlinger, M.; Spillner, J.; Bohnert, T.M. Self-Managing Cloud-Native Applications: Design, Implementation, and Experience. Future Gener. Comput. Syst. 2017, 72, 165–179. [Google Scholar] [CrossRef] [Green Version]
  22. Pahl, C.; Jamshidi, P.; Zimmermann, O. Architectural Principles for Cloud Software. ACM Trans. Internet Technol. 2017, 18, 1–23. [Google Scholar] [CrossRef]
  23. Qiu, J.; Du, Q.; Yin, K.; Zhang, S.-L.; Qian, C. A Causality Mining and Knowledge Graph Based Method of Root Cause Diagnosis for Performance Anomaly in Cloud Applications. Appl. Sci. 2020, 10, 2166. [Google Scholar] [CrossRef] [Green Version]
  24. Szalay, M.; Mátray, P.; Toka, L. State Management for Cloud-Native Applications. Electronics 2021, 10, 423. [Google Scholar] [CrossRef]
  25. Ranchal, R.; Bastide, P.; Wang, X.; Gkoulalas-Divanis, A.; Mehra, M.; Bakthavachalam, S.; Lei, H.; Mohindra, A. Disrupting Healthcare Silos: Addressing Data Volume, Velocity and Variety With a Cloud-Native Healthcare Data Ingestion Service. IEEE J. Biomed. Health Inform. 2020, 24, 3182–3188. [Google Scholar] [CrossRef] [PubMed]
  26. Sanabria-Russo, L.; Serra, J.; Pubill, D.; Verikoukis, C. CURATE: On-Demand Orchestration of Services for Health Emergencies Prediction and Mitigation. IEEE J. Sel. Areas Commun. 2021, 39, 438–445. [Google Scholar] [CrossRef]
  27. Abernathey, R.P.; Augspurger, T.; Banihirwe, A.; Blackmon-Luca, C.C.; Crone, T.J.; Gentemann, C.L.; Hamman, J.J.; Henderson, N.; Lepore, C.; McCaie, T.A.; et al. Cloud-Native Repositories for Big Scientific Data. Comput. Sci. Eng. 2021, 23, 26–35. [Google Scholar] [CrossRef]
  28. Sánchez-Carballido, S.; Senderos, O.; Nieto, M.; Otaegui, O. Semi-Automatic Cloud-Native Video Annotation for Autonomous Driving. Appl. Sci. 2020, 10, 4301. [Google Scholar] [CrossRef]
  29. Dong, Y.; Zhang, Y. Implementation of Distributed Operation and Maintenance of Cross-Border e-Commerce Platform Based on Cloud Native Architecture. Secur. Commun. Netw. 2021, 2021, 4254791. [Google Scholar] [CrossRef]
  30. Zhang, J.; Wu, M. Cooperation Mechanism in Blockchain by Evolutionary Game Theory. Complexity 2021, 2021, e1258730. [Google Scholar] [CrossRef]
  31. Edwards, A.W.F. The Genetical Theory of Natural Selection. Genetics 2000, 154, 1419–1426. [Google Scholar] [CrossRef]
  32. Smith, J.M.; Price, G.R. The Logic of Animal Conflict. Nature 1973, 246, 15–18. [Google Scholar] [CrossRef]
  33. Smith, J.M. Evolution and the Theory of Games. In Did Darwin Get It Right? Essays on Games, Sex and Evolution; Smith, J.M., Ed.; Springer: Boston, MA, USA, 1988; pp. 202–215. ISBN 978-1-4684-7862-4. [Google Scholar]
  34. Taylor, P.D.; Jonker, L.B. Evolutionary Stable Strategies and Game Dynamics. Math. Biosci. 1978, 40, 145–156. [Google Scholar] [CrossRef]
  35. Li, J.; Kendall, G.; John, R. Computing Nash Equilibria and Evolutionarily Stable States of Evolutionary Games. IEEE Trans. Evol. Comput. 2016, 20, 460–469. [Google Scholar] [CrossRef] [Green Version]
  36. Mohseni, A. Stochastic Stability and Disagreement Between Dynamics. Philos. Sci. 2019, 86, 497–521. [Google Scholar] [CrossRef]
  37. Hu, W.; Zhang, G. Stability Analysis of Imitative Dynamics in Two-Community with Multiple Delays. Adv. Differ. Equ. 2020, 2020, 263. [Google Scholar] [CrossRef]
  38. Zhang, Y.; Gao, X. Stochastic Evolutionary Selection in Heterogeneous Populations for Asymmetric Games. Comput. Econ. 2015, 45, 501–515. [Google Scholar] [CrossRef]
  39. Tuyls, K.; Pérolat, J.; Lanctot, M.; Ostrovski, G.; Savani, R.; Leibo, J.Z.; Ord, T.; Graepel, T.; Legg, S. Symmetric Decomposition of Asymmetric Games. Sci. Rep. 2018, 8, 1015. [Google Scholar] [CrossRef]
  40. Xing, X.-H.; Hu, Z.-H.; Luo, W.-P. Using Evolutionary Game Theory to Study Governments and Logistics Companies’ Strategies for Avoiding Broken Cold Chains. Ann. Oper. Res. 2020, 2, 1–29. [Google Scholar] [CrossRef]
  41. Li, S.; Wang, B. Evolutionary Game Simulation of Corporate Investing and Financing Behavior from a Risk Perspective. Clust. Comput. 2019, 22, 5955–5964. [Google Scholar] [CrossRef]
  42. Pan, C.; Long, Y. Evolutionary Game Analysis of Cooperation between Microgrid and Conventional Grid. Math. Probl. Eng. 2015, 2015, 103206. [Google Scholar] [CrossRef] [Green Version]
  43. Bao, A.-R.-H.; Liu, Y.; Dong, J.; Chen, Z.-P.; Chen, Z.-J.; Wu, C. Evolutionary Game Analysis of Co-Opetition Strategy in Energy Big Data Ecosystem under Government Intervention. Energies 2022, 15, 2066. [Google Scholar] [CrossRef]
  44. Alabdel Abass, A.A.; Xiao, L.; Mandayam, N.B.; Gajic, Z. Evolutionary Game Theoretic Analysis of Advanced Persistent Threats Against Cloud Storage. IEEE Access 2017, 5, 8482–8491. [Google Scholar] [CrossRef]
  45. Wang, S.; Chen, Z.; Xiao, Y.; Lin, C. Consumer Privacy Protection With the Growth of AI-Empowered Online Shopping Based on the Evolutionary Game Model. Front. Public Health 2021, 9, 705777. [Google Scholar] [CrossRef] [PubMed]
  46. Balalaie, A.; Heydarnoori, A.; Jamshidi, P. Migrating to Cloud-Native Architectures Using Microservices: An Experience Report. In Proceedings of the Advances in Service-Oriented and Cloud Computing, Vienna, Austria, 5–7 September 2016; Celesti, A., Leitner, P., Eds.; Springer International Publishing: Cham, The Netherlands, 2016; pp. 201–215. [Google Scholar]
  47. Balalaie, A.; Heydarnoori, A.; Jamshidi, P.; Tamburri, D.; Lynn, T. Microservices Migration Patterns. Softw. Pract. Exp. 2018, 48, 2019–2042. [Google Scholar] [CrossRef]
  48. Hu, X.; Fu, X.; Deng, Z. Research on Application and Synergy Mechanism of Cloud Computing in Government Audit. Wirel. Pers. Commun. 2018, 103, 295–305. [Google Scholar] [CrossRef]
  49. Rui, Z.; Bingyong, T. The Pricing of Cloud Computing with Preferential Policies. In Proceedings of the 2016 IEEE 13th International Conference on e-Business Engineering (ICEBE), Macau, China, 4–6 November 2016; pp. 232–237. [Google Scholar]
  50. Luo, J.; Li, W.; Zhao, Y. Stability analysis of manufacturing enterprise service derivative based on evolutionary game theory. J. Syst. Eng. 2016, 31, 761–771. [Google Scholar] [CrossRef]
  51. Galor, O.; Weil, D.N. Population, Technology, and Growth: From Malthusian Stagnation to the Demographic Transition and Beyond. Am. Econ. Rev. 2000, 90, 806–828. [Google Scholar] [CrossRef] [Green Version]
  52. Friedman, D. Evolutionary Game in Economics. Econometrica 1991, 59, 637–666. [Google Scholar] [CrossRef] [Green Version]
  53. China Container Cloud Market Research Report. Available online: https://report.iresearch.cn/report/202012/3701.shtml (accessed on 11 April 2022).
  54. 2020–2021 (Phase III) Research on the Implementation of Cloud-Native Technology in Traditional Industries. Available online: https://www.alauda.cn/news/detail/id/501.html (accessed on 11 April 2022).
  55. López-Pérez, R.; Spiegelman, E. Chapter 3.1—Do Economists Lie More? In Dishonesty in Behavioral Economics; Bucciol, A., Montinari, N., Eds.; Perspectives in Behavioral Economics and the Economics of Behavior; Academic Press: Cambridge, MA, USA, 2019; pp. 143–162. ISBN 978-0-12-815857-9. [Google Scholar]
  56. Jiang, M.; Nakamoto, I.; Zhuang, W.; Zhang, W.; Guo, Y.; Ma, L. Flexible Investment Strategies for Cloud-Native Architecture of Public Health Information Systems. Wirel. Commun. Mob. Comput. 2021, 2021, 6676428. [Google Scholar] [CrossRef]
Figure 1. Users’ concerns about using cloud-native.
Figure 1. Users’ concerns about using cloud-native.
Electronics 11 01584 g001
Figure 2. The game relationship between cloud providers and enterprises.
Figure 2. The game relationship between cloud providers and enterprises.
Electronics 11 01584 g002
Figure 3. The dynamic evolutionary path of the strategy chosen by cloud providers and enterprises.
Figure 3. The dynamic evolutionary path of the strategy chosen by cloud providers and enterprises.
Electronics 11 01584 g003
Figure 4. (ac) The relationship between S II and ESS.
Figure 4. (ac) The relationship between S II and ESS.
Electronics 11 01584 g004aElectronics 11 01584 g004b
Figure 5. The impact of E 1 on S II and evolutionary paths (a) The impact of E 1 on S II ; (b) The evolutionary paths with different direct benefits E 1 .
Figure 5. The impact of E 1 on S II and evolutionary paths (a) The impact of E 1 on S II ; (b) The evolutionary paths with different direct benefits E 1 .
Electronics 11 01584 g005
Figure 6. The impact of E 2 and Δ R on S II and evolutionary paths (a) The impact of E 2 and Δ R on S II ; (b) The evolutionary paths with different direct benefits E 2 ; (c) The evolutionary paths with different direct benefits Δ R .
Figure 6. The impact of E 2 and Δ R on S II and evolutionary paths (a) The impact of E 2 and Δ R on S II ; (b) The evolutionary paths with different direct benefits E 2 ; (c) The evolutionary paths with different direct benefits Δ R .
Electronics 11 01584 g006
Figure 7. The impact of E ˜ and R ˜ on S II and evolutionary paths (a) The impact of E ˜ and R ˜ on S II ; (b) The evolutionary paths with different invisible benefits E ˜ ; (c) The evolutionary paths with different invisible benefits R ˜ .
Figure 7. The impact of E ˜ and R ˜ on S II and evolutionary paths (a) The impact of E ˜ and R ˜ on S II ; (b) The evolutionary paths with different invisible benefits E ˜ ; (c) The evolutionary paths with different invisible benefits R ˜ .
Electronics 11 01584 g007
Figure 8. The impact of C 1 on S II and evolutionary paths (a) The impact of C 1 on S II ; (b) The evolutionary paths with different costs C 1 .
Figure 8. The impact of C 1 on S II and evolutionary paths (a) The impact of C 1 on S II ; (b) The evolutionary paths with different costs C 1 .
Electronics 11 01584 g008
Figure 9. The impact of K on S II and evolutionary paths (a) The impact of K on S II ; (b) The evolutionary paths with different costs K .
Figure 9. The impact of K on S II and evolutionary paths (a) The impact of K on S II ; (b) The evolutionary paths with different costs K .
Electronics 11 01584 g009
Figure 10. The impact of Q on S II and evolutionary paths (a) The impact of Q on S II with different costs C 1 ; (b) The evolutionary paths with different prices Q when C 1 = 2.29 ; (c) The evolutionary paths with different prices Q when C 1 = 12.75 ; (d) The evolutionary paths with different prices Q when C 1 = 20 .
Figure 10. The impact of Q on S II and evolutionary paths (a) The impact of Q on S II with different costs C 1 ; (b) The evolutionary paths with different prices Q when C 1 = 2.29 ; (c) The evolutionary paths with different prices Q when C 1 = 12.75 ; (d) The evolutionary paths with different prices Q when C 1 = 20 .
Electronics 11 01584 g010aElectronics 11 01584 g010b
Figure 11. The impact of λ 1 , λ 2 , and γ on S II and evolutionary paths (a) The impact of λ 1 , λ 2 , and γ on S II ; (b) The evolutionary paths with different potential losses λ 1 ; (c) The evolutionary paths with different potential losses γ .
Figure 11. The impact of λ 1 , λ 2 , and γ on S II and evolutionary paths (a) The impact of λ 1 , λ 2 , and γ on S II ; (b) The evolutionary paths with different potential losses λ 1 ; (c) The evolutionary paths with different potential losses γ .
Electronics 11 01584 g011
Table 1. Productive practice of cloud-native in cloud providers and enterprises.
Table 1. Productive practice of cloud-native in cloud providers and enterprises.
Cloud ProvidersEnterprises
Alibaba Cloud [5]
  • Put forward the strategy of cloud migration and cloud-native applications, and introduce cloud-native technology into Alibaba for practice.
  • Put forward the design principles, solutions, and practices of a complete cloud-native architecture to promote enterprises to accelerate digital transformation.
MYbank [6]
  • Build on Alibaba Cloud’s SOFAStack (Scalable Open Financial Architecture Stack), OceanBase (financial-grade distributed relational database) and other products, and apply the cloud-native architecture to provide financial services to more than 20 million micro-, small-, medium-sized enterprises, and self-employed.
Huawei Cloud [7]
  • Bring about the R&D and the application of super-scale enterprise cloud-native, reconstruct the R&D operation mode to improve efficiency.
  • The rate of resource reuse has been more than quadrupled, and the efficiency of deployment has been increased by a factor of 11.
Seetatech [8]
  • Practice artificial intelligence production on Kingsoft Cloud Container Engine, realizing more than 20% acceleration of model training and 60% reduction of comprehensive cost.
Google Cloud [9]
  • Cooperate with Intel to provide a pre-integrated platform of cloud-native network functions for network operators and edge enterprises.
  • strengthen collaboration with software suppliers for verification and testing.
Deppon Express [10]
  • Launch transfer and operation fusion system based on the cloud-native platform of NetEase Cloud, which improved the efficiency of operating, developing, and testing by 53% and CPU utilization by 20–25%.
Tencent Cloud [3]
  • In terms of public cloud, a series of new products are launched around Kubernetes, containers, and microservices.
  • In terms of private cloud, TCS, an enterprise agile PaaS platform based on cloud-native is provided.
Wanwudezhi [11]
  • Build all applications based on the cloud-native of Alibaba Cloud to solve the problems of efficiency and stability, and avoid high labor costs.
Table 2. Payoff matrix.
Table 2. Payoff matrix.
Enterprises
BNB
Cloud providersP R 1 + Δ R + R ˜ K , E 2 Q + E ˜ R1K, E1C1λ1
NPR1γ, E1C1λ2R1, E1C1
Table 3. Local stability analyses of EPs.
Table 3. Local stability analyses of EPs.
Equilibrium Points det ( J ) tr ( J ) Result
( 0 , 0 ) +ESS
( 0 , 1 ) ++Unstable point
( 1 , 0 ) ++Unstable point
( 1 , 1 ) +ESS
( x 0 , y 0 ) 0Saddle points
Table 4. Parameters setting and the values of S II in three situations (Unit: 10,000 Yuan).
Table 4. Parameters setting and the values of S II in three situations (Unit: 10,000 Yuan).
E1E2K E ˜ R ˜ λ 1 λ 2 γ S
160753520202020200.7371
270754510101020100.5851
3707055551020100.4707
Publisher’s Note: MDPI stays neutral with regard to jurisdictional claims in published maps and institutional affiliations.

Share and Cite

MDPI and ACS Style

Zhang, R.; Li, Y.; Li, H.; Wang, Q. Evolutionary Game Analysis on Cloud Providers and Enterprises’ Strategies for Migrating to Cloud-Native under Digital Transformation. Electronics 2022, 11, 1584. https://doi.org/10.3390/electronics11101584

AMA Style

Zhang R, Li Y, Li H, Wang Q. Evolutionary Game Analysis on Cloud Providers and Enterprises’ Strategies for Migrating to Cloud-Native under Digital Transformation. Electronics. 2022; 11(10):1584. https://doi.org/10.3390/electronics11101584

Chicago/Turabian Style

Zhang, Rui, Yuewen Li, Hongyan Li, and Qiaosong Wang. 2022. "Evolutionary Game Analysis on Cloud Providers and Enterprises’ Strategies for Migrating to Cloud-Native under Digital Transformation" Electronics 11, no. 10: 1584. https://doi.org/10.3390/electronics11101584

APA Style

Zhang, R., Li, Y., Li, H., & Wang, Q. (2022). Evolutionary Game Analysis on Cloud Providers and Enterprises’ Strategies for Migrating to Cloud-Native under Digital Transformation. Electronics, 11(10), 1584. https://doi.org/10.3390/electronics11101584

Note that from the first issue of 2016, this journal uses article numbers instead of page numbers. See further details here.

Article Metrics

Back to TopTop