Novel Low Complexity BP Decoding Algorithms for Polar Codes: Simplifying on Non-Linear Operations
Abstract
:1. Introduction
2. Preliminaries
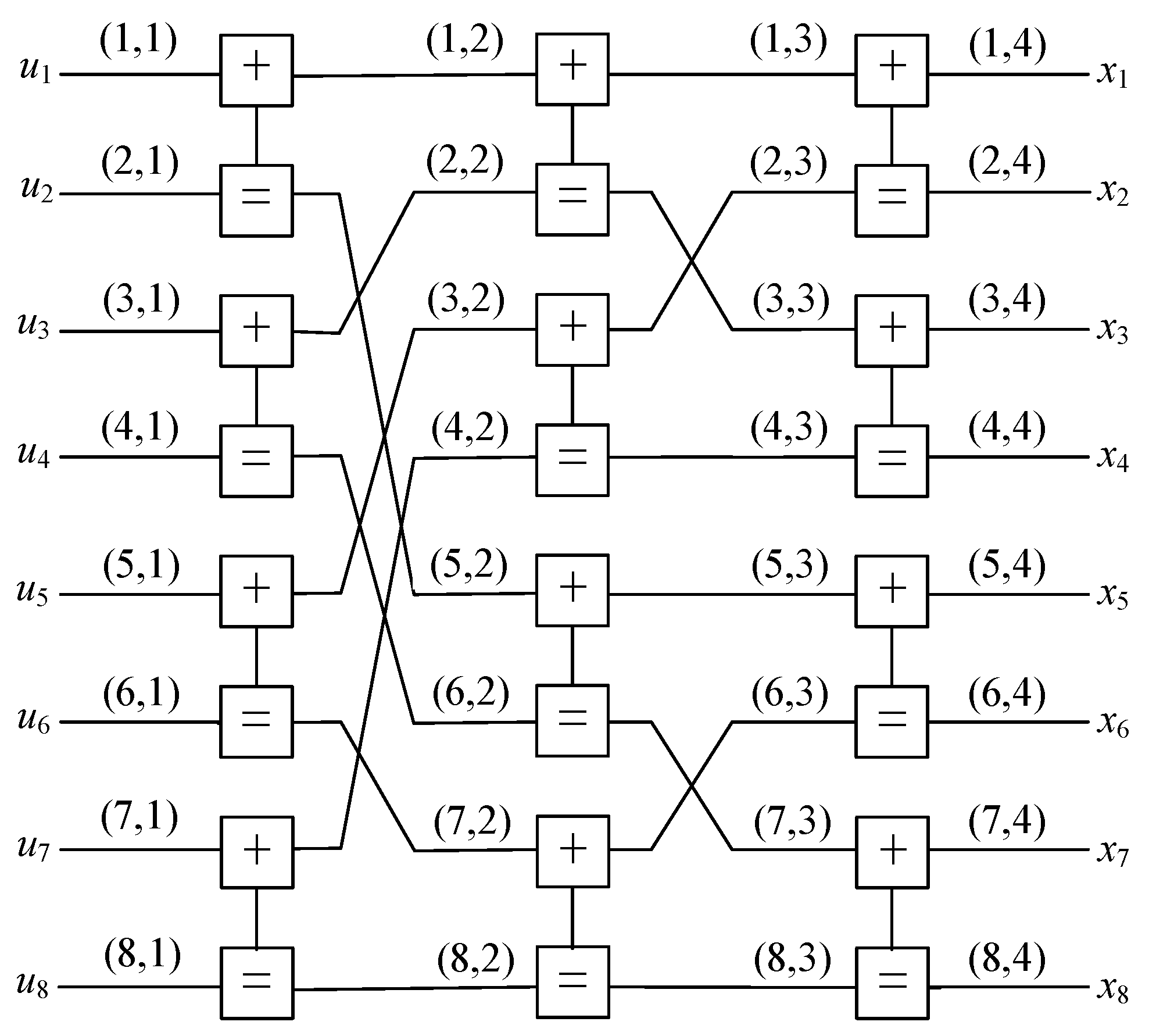
2.1. Polar Codes
2.2. Belief Propagation Decoding Algorithm
3. Proposed Belief Propagation Decoding Algorithms
3.1. Design Motivation
3.2. Proposed BP Decoding Algorithm Based on Exponential Function (Exp-BP Algorithm)
3.3. Proposed BP Decoding Algorithm Based on Quantization Function (QF-BP Algorithm)
4. Simulation Results and Complexities Analysis
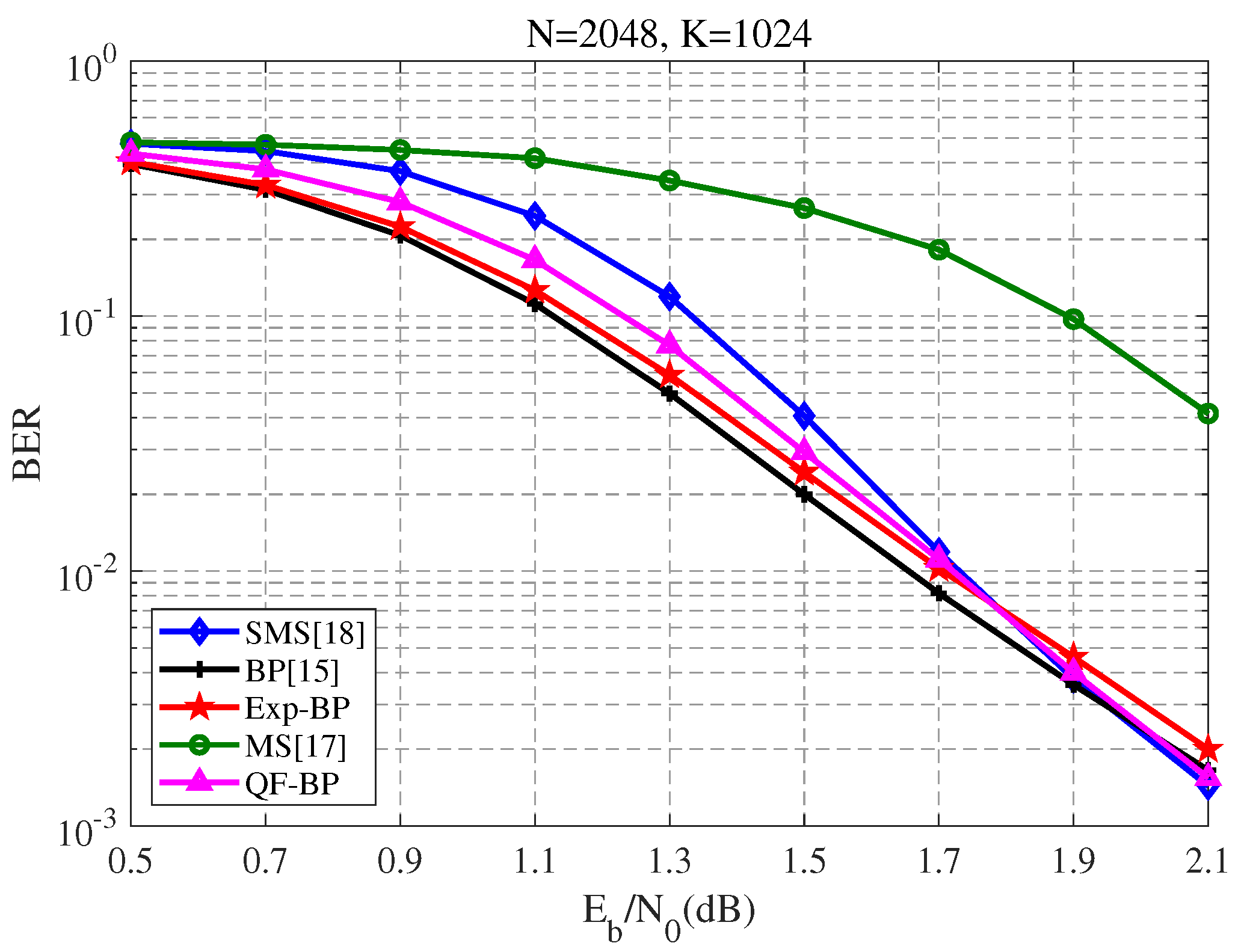
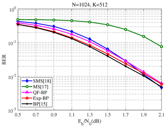
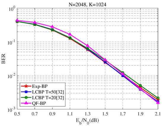
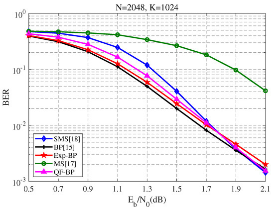
4.1. Performance Comparison
4.2. Complexities Analysis
5. Conclusions
Author Contributions
Funding
Conflicts of Interest
References
- Arikan, E. Channel Polarization: A Method for Constructing Capacity-Achieving Codes for Symmetric Binary-Input Memoryless Channels. IEEE Trans. Inf. Theory 2009, 55, 3051–3073. [Google Scholar] [CrossRef]
- Kaykac, B.; Egilmez, Z.; Xiang, L.; Maunderand, G.R.; Hanzo, L. The Development, Operation and Performance of the 5G Polar Codes. IEEE Commun. Surv. Tuts. 2020, 22, 96–122. [Google Scholar] [CrossRef] [Green Version]
- Jalali, A.; Ding, Z. Joint Detection and Decoding of Polar Coded 5G Control Channels. IEEE Trans. Wirel. Commun. 2020, 19, 2066–2078. [Google Scholar] [CrossRef]
- Bioglio, V.; Condo, C.; Land, I. Design of Polar Codes in 5G New Radio. IEEE Commun. Surv. Tuts. 2021, 23, 29–40. [Google Scholar] [CrossRef] [Green Version]
- Tal, I.; Vardy, A. List Decoding of Polar Codes. IEEE Trans. Inf. Theory 2015, 61, 2213–2226. [Google Scholar] [CrossRef]
- Chen, K.; Niu, K.; Lin, J. List Successive Cancellation Decoding of Polar Codes. Electron. Lett. 2012, 48, 500–501. [Google Scholar] [CrossRef]
- Niu, K.; Chen, K. CRC-Aided Decoding of Polar Codes. IEEE Commun. Lett. 2012, 16, 1668–1671. [Google Scholar] [CrossRef]
- Li, B.; Shen, H.; Tse, D. An Adaptive Successive Cancellation List Decoder for Polar Codes with Cyclic Redundancy Check. IEEE Commun. Lett. 2012, 16, 2044–2047. [Google Scholar] [CrossRef] [Green Version]
- Ardakani, M.; Hanif, M.; Ardakani, M.; Tellambura, C. Fast Successive-Cancellation-Based Decoders of Polar Codes. IEEE Trans. Commun. 2019, 67, 4562–4574. [Google Scholar] [CrossRef]
- Wang, X.; Wang, T.; Li, J.; Shan, L.; Cao, H.; Li, Z. Improved Metric Sorting for Successive Cancellation List Decoding of Polar Codes. IEEE Commun. Lett. 2019, 23, 1123–1126. [Google Scholar] [CrossRef]
- Chen, P.; Bai, B.; Ren, Z.; Wang, J.; Sun, S. Hash-Polar Codes with Application to 5G. IEEE Access 2019, 7, 12441–12455. [Google Scholar] [CrossRef]
- Wu, X.; Wang, Y.; Li, C. Low-Complexity CRC Aided Joint Iterative Detection and SCL Decoding Receiver of Polar Coded SCMA System. IEEE Access 2020, 8, 220108–220120. [Google Scholar] [CrossRef]
- Xia, C.; Tsui, C.; Fan, Y. Construction of Multi-Kernel Polar Codes with Kernel Substitution. IEEE Wirel. Commun. Lett. 2020, 9, 1879–1883. [Google Scholar] [CrossRef]
- Wang, C.; Pan, Y.; Lin, Y.; Ueng, Y. Post-Processing for CRC-Aided Successive Cancellation List Decoding of Polar Codes. IEEE Commun. Lett. 2020, 24, 1395–1399. [Google Scholar] [CrossRef]
- Arikan, E. Polar codes: A Pipelined Implementation. In Proceedings of the 4th international symposium on broadband communication, Melaka, Malaysia, 11–14 July 2010; pp. 1–3. [Google Scholar]
- Hussami, N.; Korada, S.B.; Urbanke, R. Performance of Polar Codes for Channel and Source Coding. In Proceedings of the IEEE International Symposium on Information Theory, Seoul, Korea, 28 June–3 July 2009; pp. 1488–1492. [Google Scholar]
- Pamuk, A. An FPGA Implementation Architecture for Decoding of Polar Codes. In Proceedings of the 8th International symposium on wireless communication systems, Aachen, Germany, 6–9 November 2011; pp. 401–404. [Google Scholar]
- Yuan, B.; Parhi, K.K. Architecture Optimizations for BP Polar Decoders. In Proceedings of the IEEE International Conference on Acoustics, Speech and Signal Processing, Vancouver, BC, Canada, 26–31 May 2013; pp. 2654–2658. [Google Scholar]
- Zhang, Y.; Liu, A.; Pan, X.; Ye, Z.; Gong, C. A Modified Belief Propagation Polar Decoder. IEEE Commun. Lett. 2014, 18, 1091–1094. [Google Scholar] [CrossRef]
- Ercan, F.; Tonnellier, T.; Gross, W.J. Energy-Efficient Hardware Architectures for Fast Polar Decoders. IEEE Trans. Circuits Syst I. 2020, 67, 322–335. [Google Scholar] [CrossRef]
- Elkelesh, A.; Ebada, M.; Cammerer, S.; Ten, B.S. Belief Propagation List Decoding of Polar Codes. IEEE Commun. Lett. 2018, 22, 1536–1539. [Google Scholar] [CrossRef] [Green Version]
- Arlı, A.; Gazi, O. Noise-Aided Belief Propagation List Decoding of Polar Codes. IEEE Commun. Lett. 2019, 23, 1285–1288. [Google Scholar] [CrossRef]
- Yu, Y.; Pan, Z.; Liu, N.; You, X. Belief Propagation Bit-Flip Decoder for Polar Codes. IEEE Access 2019, 7, 10937–10946. [Google Scholar] [CrossRef]
- Shen, Y.; Song, W.; Ren, Y.; Ji, H.; You, X.; Zhang, C. Enhanced Belief Propagation Decoder for 5G Polar Codes with Bit-Flipping. IEEE Trans. Circuits Syst. II Exp. Briefs 2020, 67, 901–905. [Google Scholar] [CrossRef]
- Yuan, B.; Parhi, K.K. Early Stopping Criteria for Energy-Efficient Low-Latency Belief-Propagation Polar Code Decoders. IEEE Trans. Signal Process. 2014, 62, 6496–6506. [Google Scholar] [CrossRef]
- Zhang, Q.; Liu, A.; Tong, X. Early Stopping Criterion for Belief Propagation Polar Decoder Based on Frozen Bits. Electron. Lett. 2017, 53, 1576–1578. [Google Scholar] [CrossRef]
- Yan, Y.; Zhang, X.; Wu, B. Simplified Early Stopping Criterion for Belief-Propagation Polar Code Decoder Based on Frozen Bits. IEEE Access 2019, 7, 134691–134696. [Google Scholar] [CrossRef]
- Zhang, J.; Wang, M. Belief Propagation Decoder With Multiple Bit-Flipping Sets and Stopping Criteria for Polar Codes. IEEE Access 2020, 8, 83710–83717. [Google Scholar] [CrossRef]
- Elkelesh, A.; Ebada, M.; Cammerer, S.; Brink, S.T. Belief Propagation Decoding of Polar Codes on Permuted Factor Graphs. In Proceedings of the IEEE Wireless Commun. Netw. Conf. (WCNC), Barcelona, Spain, 15–18 April 2018; pp. 1–6. [Google Scholar]
- Doan, N.; Hashemi, S.A.; Mondelli, M.; Gross, W.J. On the Decoding of Polar Codes on Permuted Factor Graphs. In Proceedings of the IEEE Global Commun. Conf. (GLOBECOM), Abu Dhabi, United Arab Emirates, 9–13 December 2018; pp. 1–6. [Google Scholar]
- Wu, D.; Li, Y.; Sun, Y. Construction and Block Error Rate Analysis of Polar Codes Over AWGN Channel Based on Gaussian Approximation. IEEE Commun. Lett. 2014, 18, 1099–1102. [Google Scholar] [CrossRef]
- Sun, C.; Fei, Z.; Cao, C.; Wang, X.; Jia, D. Low Complexity Polar Decoder for 5G Embb Control Channel. IEEE Access 2019, 7, 50710–50717. [Google Scholar] [CrossRef]






| x | ||
|---|---|---|
| x | |
|---|---|
| x | |
|---|---|
| Types | BP [15] | MS [17] | SMS [18] | Exp-BP | QF-BP |
|---|---|---|---|---|---|
| addition | 3 | 0 | 0 | 4 | 1 |
| multiplication | 3 | 2 | 3 | 5 | 2 |
| sign | 2 | 2 | 2 | 2 | 2 |
| absolute | 2 | 2 | 2 | 2 | 2 |
| compare | 0 | 1 | 1 | 0 | 0 |
| table Look-up | 0 | 0 | 0 | 0 | 3 |
| ln | 1 | 0 | 0 | 0 | 0 |
| exp | 3 | 0 | 0 | 3 | 0 |
| Types | BP [15] | MS [17] | LCBP [32] | Exp-BP | QF-BP |
|---|---|---|---|---|---|
| addition | |||||
| multiplication | |||||
| sign | |||||
| absolute | |||||
| compare | 0 | 0 | 0 | 0 | |
| table Look-up | 0 | 0 | 0 | 0 | |
| ln | 0 | 0 | 0 | ||
| exp | 0 | 0 |
| Types | MS [17] | SMS [18] | LCBP [32] | Exp-BP | QF-BP |
|---|---|---|---|---|---|
| addition | % | % | % | +25% | % |
| multiplication | % | 0 | % | +67% | % |
| sign | 0 | 0 | −37.5% | 0 | 0 |
| absolute | 0 | 0 | −37.5% | 0 | 0 |
| compare | * | * | 0 | 0 | 0 |
| table Look-up | 0 | 0 | 0 | 0 | * |
| ln | % | % | % | % | % |
| exp | % | % | % | 0 | % |
| CLK | % | % | % | % | % |
Publisher’s Note: MDPI stays neutral with regard to jurisdictional claims in published maps and institutional affiliations. |
© 2021 by the authors. Licensee MDPI, Basel, Switzerland. This article is an open access article distributed under the terms and conditions of the Creative Commons Attribution (CC BY) license (https://creativecommons.org/licenses/by/4.0/).
Share and Cite
Wang, Y.; Li, J.; Ye, N.; Bu, X. Novel Low Complexity BP Decoding Algorithms for Polar Codes: Simplifying on Non-Linear Operations. Electronics 2022, 11, 93. https://doi.org/10.3390/electronics11010093
Wang Y, Li J, Ye N, Bu X. Novel Low Complexity BP Decoding Algorithms for Polar Codes: Simplifying on Non-Linear Operations. Electronics. 2022; 11(1):93. https://doi.org/10.3390/electronics11010093
Chicago/Turabian StyleWang, Yuhuan, Jianguo Li, Neng Ye, and Xiangyuan Bu. 2022. "Novel Low Complexity BP Decoding Algorithms for Polar Codes: Simplifying on Non-Linear Operations" Electronics 11, no. 1: 93. https://doi.org/10.3390/electronics11010093
APA StyleWang, Y., Li, J., Ye, N., & Bu, X. (2022). Novel Low Complexity BP Decoding Algorithms for Polar Codes: Simplifying on Non-Linear Operations. Electronics, 11(1), 93. https://doi.org/10.3390/electronics11010093

