Open-Circuit Fault Detection in a Multilevel Inverter Using Sub-Band Wavelet Energy
Abstract
:1. Introduction
2. Multilevel Inverter
2.1. Packed U-Cell 5 (PUC-5) Topology
2.2. Operation under Different Fault Conditions
3. Fault Diagnosis Method
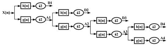
3.1. Feature Extraction—Discrete Wavelet Transform
3.2. Classification Methods
3.3. Support Vector Machines
3.4. Decision Trees
3.5. XG Boost
4. Results and Discussion
- True Positive (TP): outcome where the model correctly predicts the positive class.
- True Negative (TN): outcome where the model correctly predicts the negative class.
- False Positive (FP): outcome where the model wrongly predicts the positive class.
- False Negative (FN): outcome where the model wrongly predicts the negative class.
5. Conclusions
Author Contributions
Funding
Data Availability Statement
Conflicts of Interest
Notations
| Vdc | Source Voltage |
| Vc | Voltage across Capacitor |
| Wavelet Function | |
| Scaling Function | |
| Approximation Coefficient for ith Sub-Band | |
| Detail Coefficient for ith Sub-Band | |
| Energy of Detail Coefficient | |
| Energy of Approximation Coefficient | |
| Total Energy of A and D coefficients | |
| Relative Energy of Each sub band |
References
- Liu, S.; Qian, X.; Wan, H.; Ye, Z.; Wu, S.; Ren, X. NPC Three-Level Inverter Open-Circuit Fault Diagnosis Based on Adaptive Electrical Period Partition and Random Forest. J. Sensors 2020, 2020, 9206579. [Google Scholar] [CrossRef] [Green Version]
- Achintya, P.; Sahu, L.K. Open Circuit Switch Fault Detection in Multilevel Inverter Topology using Machine Learning Techniques. In Proceedings of the IEEE 9th Power India International Conference (PIICON), Sonepat, India, 28 February–1 March 2020; pp. 1–6. [Google Scholar]
- Cheng, S.; Zhao, J.; Chen, C.; Li, K.; Wu, X.; Yu, T.; Yu, Y. An open-circuit fault-diagnosis method for inverters based on phase current. Transp. Saf. Environ. 2020, 2, 148–160. [Google Scholar] [CrossRef]
- Sital-Dahone, M.; Saha, A.; Sozer, Y.; Mpanda, A. Multiple device open circuit fault diagnosis for neutral-point-clamped inverters. In Proceedings of the 2017 IEEE Applied Power Electronics Conference and Exposition (APEC), Tampa, FL, USA, 26–30 March 2017; pp. 2605–2609. [Google Scholar] [CrossRef]
- Mhiesan, H.; Umuhozs, J.; Mordi, K.; McCann, R.; Balda, J.C.; Farnell, C.; Mantooth, A. A Method for Open-Circuit Faults Detecting, Identifying, and Isolating in Cascaded H-Bridge Multilevel Inverters. In Proceedings of the 9th IEEE International Symposium on Power Electronics for Distributed Generation Systems (PEDG), Charlotte, NC, USA, 25–28 June 2018. [Google Scholar]
- Khomfoi, S.; Tolbert, L. Fault Diagnostic System for a Multilevel Inverter Using a Neural Network. IEEE Trans. Power Electron. 2007, 22, 1062–1069. [Google Scholar] [CrossRef]
- Xu, J.; Song, B.; Zhang, J.; Xu, L. A new approach to fault diagnosis of multilevel inverter. In Proceedings of the 2018 Chinese Control And Decision Conference (CCDC), Shenyang, China, 9–11 June 2018; pp. 1054–1058. [Google Scholar] [CrossRef]
- Lezana, P.; Pou, J.; Meynard, T.; Rodriguez, J.; Ceballos, S.; Richardeau, F. Survey on Fault Operation on Multilevel Inverters. IEEE Trans. Ind. Electron. 2009, 57, 2207–2218. [Google Scholar] [CrossRef] [Green Version]
- Da Silva, E.; Lima, W.; de Oliveira, A.; Jacobina, C.; Razik, H. Detection and compensation of switch faults in a three level inverter. In Proceedings of the 37th IEEE Power Electronics Specialists Conference, Jeju, Korea, 18–22 June 2006. [Google Scholar] [CrossRef]
- Lu, B.; Member, S.; Sharma, S.K. A Literature Review of IGBT Fault Diagnostic and Protection Methods for Power Inverters. IEEE Trans. Ind. Appl. 2009, 45, 1770–1777. [Google Scholar]
- Ounejjar, Y.; Al-Haddad, K.; Grégoire, L.-A. Packed U Cells Multilevel Converter Topology: Theoretical Study and Experimental Validation. IEEE Trans. Ind. Electron. 2010, 58, 1294–1306. [Google Scholar] [CrossRef]
- Pakdel, M.; Jalilzadeh, S. A New Family of Multilevel Grid Connected Inverters Based on Packed U Cell Topology. Sci. Rep. 2017, 7, 12396. [Google Scholar] [CrossRef] [Green Version]
- Vahedi, H.; Sharifzadeh, M.; Al-Haddad, K. Topology and Control Analysis of Single-DC-Source Five-Level Packed U-Cell Inverter (PUC5). In Proceedings of the IECON 2017–43rd Annual Conference of the IEEE Industrial Electronics Society, Beijing, China, 29 October–1 November 2017; pp. 1–6. [Google Scholar]
- He, J.; Demerdash, N.A.O.; Weise, N.; Katebi, R. A Fast On-Line Diagnostic Method for Open-Circuit Switch Faults in SiC-MOSFET-Based T-Type Multilevel Inverters. IEEE Trans. Ind. Appl. 2017, 53, 2948–2958. [Google Scholar] [CrossRef]
- Amini, J.; Moallem, M. A Fault-Diagnosis and Fault-Tolerant Control Scheme for Flying Capacitor Multilevel Inverters. IEEE Trans. Ind. Electron. 2016, 64, 1818–1826. [Google Scholar] [CrossRef]
- Anand, A.; Vinayak, B.A.; Raj, N.; Jagadanand, G.; George, S. A generalized switch fault diagnosis for cascaded h-bridge multilevel inverters using mean voltage prediction. IEEE Trans. Ind. Appl. 2019, 56, 1563–1574. [Google Scholar] [CrossRef]
- Ahmadi, S.; Poure, P.; Saadate, S.; Khaburi, D.A. A Real-Time Fault Diagnosis for Neutral-Point-Clamped Inverters Based on Failure-Mode Algorithm. IEEE Trans. Ind. Informatics 2021, 17, 1100–1110. [Google Scholar] [CrossRef]
- Wang, T.; Xu, H.; Han, J.; Elbouchikhi, E.; Benbouzid, M.E.H. Cascaded H-Bridge Multilevel Inverter System Fault Diagnosis Using a PCA and Multiclass Relevance Vector Machine Approach. IEEE Trans. Power Electron. 2015, 30, 7006–7018. [Google Scholar] [CrossRef]
- Abari, I.; Lahouar, A.; Hamouda, M.; Slama, J.B.H.; Al-Haddad, K. Fault Detection Methods for Three-Level NPC Inverter Based on DC-Bus Electromagnetic Signatures. IEEE Trans. Ind. Electron. 2017, 65, 5224–5236. [Google Scholar] [CrossRef]
- Alavi, M.; Wang, D.; Luo, M. Short-Circuit Fault Diagnosis for Three-Phase Inverters Based on Voltage-Space Patterns. IEEE Trans. Ind. Electron. 2014, 61, 5558–5569. [Google Scholar] [CrossRef]
- Mirafzal, B. Survey of Fault-Tolerance Techniques for Three-Phase Voltage Source Inverters. IEEE Trans. Ind. Electron. 2014, 61, 5192–5202. [Google Scholar] [CrossRef]
- Vahedi, H.; Al-Haddad, K. PUC5 inverter—A promising topology for single-phase and three-phase applications. In Proceedings of the IECON 2016–42nd Annual Conference of the IEEE Industrial Electronics Society, Florence, Italy, 23–26 October 2018; pp. 6522–6527. [Google Scholar] [CrossRef]
- Jahan, H.K.; Abapour, M.; Zare, K.; Hosseini, S.H.; Blaabjerg, F.; Yang, Y. A Multilevel Inverter with Minimized Components Featuring Self-balancing and Boosting Capabilities for PV Applications. IEEE J. Emerg. Sel. Top. Power Electron. 2019, 1. [Google Scholar] [CrossRef]
- Rahul, S.A.; Pramanick, S.; Kaarthik, R.S.; Gopakumar, K.; Blaabjerg, F. Extending the linear modulation range to the full base speed using a single DC-link multilevel inverter with capacitor-fed H-bridges for im drives. IEEE Trans. Power Electron. 2016, 32, 5450–5458. [Google Scholar] [CrossRef]
- Husev, O.; Blaabjerg, F.; Roncero-Clemente, C.; Romero-Cadaval, E.; Vinnikov, D.; Siwakoti, Y.P.; Strzelecki, R. Comparison of Impedance-Source Networks for Two and Multilevel Buck–Boost Inverter Applications. IEEE Trans. Power Electron. 2016, 31, 7564–7579. [Google Scholar] [CrossRef]
- Momoh, J.A.; Walter, E.; Dolce, J.L. Comparison of feature extractors on DC power system faults for improving ANN fault diagnosis accuracy. In Proceedings of the IEEE International Conference on Systems, Man and Cybernetics, Vancouver, BC, Canada, 22–25 October 1995. [Google Scholar] [CrossRef]
- Amin, H.U.; Malik, A.S.; Ahmad, R.F.; Badruddin, N.; Kamel, N.; Hussain, M.; Chooi, W.-T. Feature extraction and classification for EEG signals using wavelet transform and machine learning techniques. Australas. Phys. Eng. Sci. Med. 2015, 38, 139–149. [Google Scholar] [CrossRef] [PubMed]
- Vapnik, V.N. An overview of statistical learning theory. IEEE Trans. Neural Netw. 1999, 10, 988–999. [Google Scholar] [CrossRef] [PubMed] [Green Version]
- Farhat, N. Photonic neural networks and learning machines. IEEE Expert 1992, 7, 63–72. [Google Scholar] [CrossRef]










| States | Load Voltage | Switches in “ON” States | Effect on Auxiliary Capacitor |
|---|---|---|---|
| 1 | Vdc = 2E | S1, S5, S6 | No Effect |
| 2 | Vdc − Vc = E | S1, S3, S5 | Charging |
| 3 | Vc = E | S1, S2, S6 | Discharging |
| 4 | 0 | S1, S2, S3 | No Effect |
| 5 | 0 | S4, S5, S6 | No Effect |
| 6 | −Vc = −E | S3, S4, S5 | Discharging |
| 7 | Vc − Vdc = −E | S2, S4, S6 | Charging |
| 8 | −Vdc = −2E | S2, S3, S4 | No Effect |
| Wavelet Coefficients | Frequency Bands (Hz) | |
|---|---|---|
| 1 | A4 | 0–625 |
| 2 | D1 | 2500–5000 |
| 3 | D2 | 1250–2500 |
| 4 | D3 | 625–1250 |
| Classifier | Accuracy | Precision | Recall | F1-Score |
|---|---|---|---|---|
| SVM | 92% | 96% | 88% | 91% |
| Decision Trees | 88% | 96% | 88% | 91% |
| Decision Tree + XG Boost | 94.12% | 96% | 88% | 91% |
Publisher’s Note: MDPI stays neutral with regard to jurisdictional claims in published maps and institutional affiliations. |
© 2021 by the authors. Licensee MDPI, Basel, Switzerland. This article is an open access article distributed under the terms and conditions of the Creative Commons Attribution (CC BY) license (https://creativecommons.org/licenses/by/4.0/).
Share and Cite
Khan, F.A.; Shees, M.M.; Alsharekh, M.F.; Alyahya, S.; Saleem, F.; Baghel, V.; Sarwar, A.; Islam, M.; Khan, S. Open-Circuit Fault Detection in a Multilevel Inverter Using Sub-Band Wavelet Energy. Electronics 2022, 11, 123. https://doi.org/10.3390/electronics11010123
Khan FA, Shees MM, Alsharekh MF, Alyahya S, Saleem F, Baghel V, Sarwar A, Islam M, Khan S. Open-Circuit Fault Detection in a Multilevel Inverter Using Sub-Band Wavelet Energy. Electronics. 2022; 11(1):123. https://doi.org/10.3390/electronics11010123
Chicago/Turabian StyleKhan, Faisal A., Mohammad Munawar Shees, Mohammed F. Alsharekh, Saleh Alyahya, Faisal Saleem, Vipul Baghel, Adil Sarwar, Muhammad Islam, and Sheroz Khan. 2022. "Open-Circuit Fault Detection in a Multilevel Inverter Using Sub-Band Wavelet Energy" Electronics 11, no. 1: 123. https://doi.org/10.3390/electronics11010123
APA StyleKhan, F. A., Shees, M. M., Alsharekh, M. F., Alyahya, S., Saleem, F., Baghel, V., Sarwar, A., Islam, M., & Khan, S. (2022). Open-Circuit Fault Detection in a Multilevel Inverter Using Sub-Band Wavelet Energy. Electronics, 11(1), 123. https://doi.org/10.3390/electronics11010123

