The Yellow Active Queue Management Algorithm in ICN Routers Based on the Monitoring of Bandwidth Competition
Abstract
1. Introduction
- We analyzed how additional end attributes in ICN router contributes to congestion through probability theory. Afterwards, we proposed a novel active queue management algorithm YELLOW based on bandwidth competition prediction and limitation for ICN content routers. YELLOW provides a new idea for the design of ICN congestion control algorithm and cache service module in router.
- In order to analyze the correlation between the input rate of request packets and congestion, we modeled the packets’ dynamics of bandwidth competition in the YELLOW algorithm through the classic totally asymmetric simple exclusion process (TASEP) model, and deduced the approximate solution of the existence condition for each stationary phase.
- We performed a large number of comparative experiments with several widespread used AMQ algorithms under the ICN environment simulating by NS-3. Experimental results demonstrated the queue of YELLOW can be stable at the expected value, and the significant gains of a router with low packet loss rate, robustness and high throughput. Moreover, we conducted extensive experiments to verify the accuracy of our analysis model for the YELLOW algorithm.
2. Related Work
2.1. Active Queue Management
2.2. Congestion Control in Information-Centric Network (ICN)
3. The Design of Active Queue Management (AQM) Algorithm for ICN Router
3.1. Problem Description
3.2. The Priority of Flow in Bandwidth Allocation
3.3. The Design of YELLOW Algorithm
| Algorithm 1: YELLOW |
| 1. Upon Packet loss or or ) event: |
| 2. If then |
| 3. |
| 4. if then |
| 5. Limiting the rate of the hit request to |
| 6. if ECN_PERMIT then |
| 7. set ECN_FLAG in response packet |
| 8. end |
| 9. end |
| 10. if then |
| 11. |
| 12. if ECN_PERMIT then |
| 13. set ECN_FLAG in response packet |
| 14. end |
| 15. end |
| 16. last_update = now |
| 17. End |
|
18. Upon link idle event: 19. If then |
| 20. |
| 21. |
| 22. last_update = now |
| 23. End |
4. Modeling
4.1. Totally Asymmetric Simple Exclusion Process (TASEP)
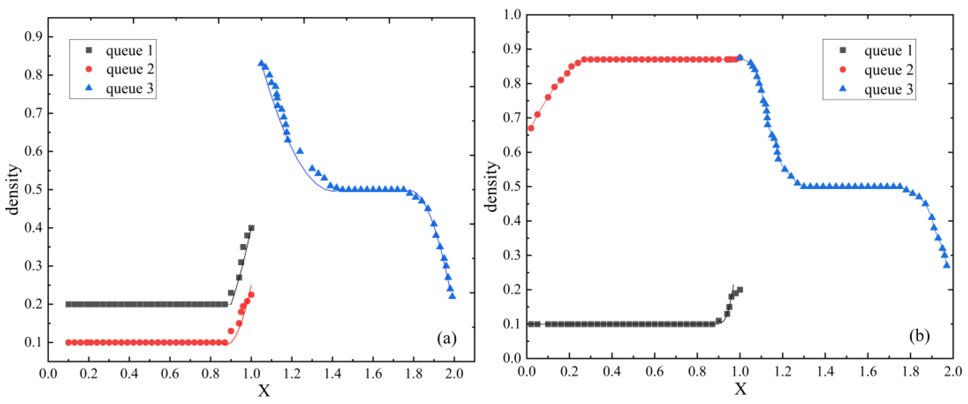
- and . The system is in low-density (LD) phase, which can be regarded as an unblocked road. In LD, the volume of flow and the particle density of the model are determined by the entering probability. Namely, , , , , where the subscripts 1, L and bulk denote the head, tail and the middle lattice of TASEP queue, respectively.
- and . The system is in high-density (HD) phase, which can be seen as a congested road. In HD, the volume of flow and the particle density of the model are determined by the ejecting probability . Namely, , , , .
- and . The system is in maximum-current (MC) phase in which the maximum number of vehicles running on the road. And , , , .
4.2. Modeling the Dynamics of YELLOW Algorithm through TASEP
- Since can be regarded as the normalization of forwarding capacity of router port, following inequalities are universal:. Therefore, queue 3 can only present maximal-current phase or low-density phase. This conclusion can be easily understood, because the purpose of YELLOW algorithm is to avoid keeping the congestion state (HD phase) in the router forwarding queue for a period.
- According to the principle of flow conservation, the total current passing through the system is equal to:
5. Performance Evaluation
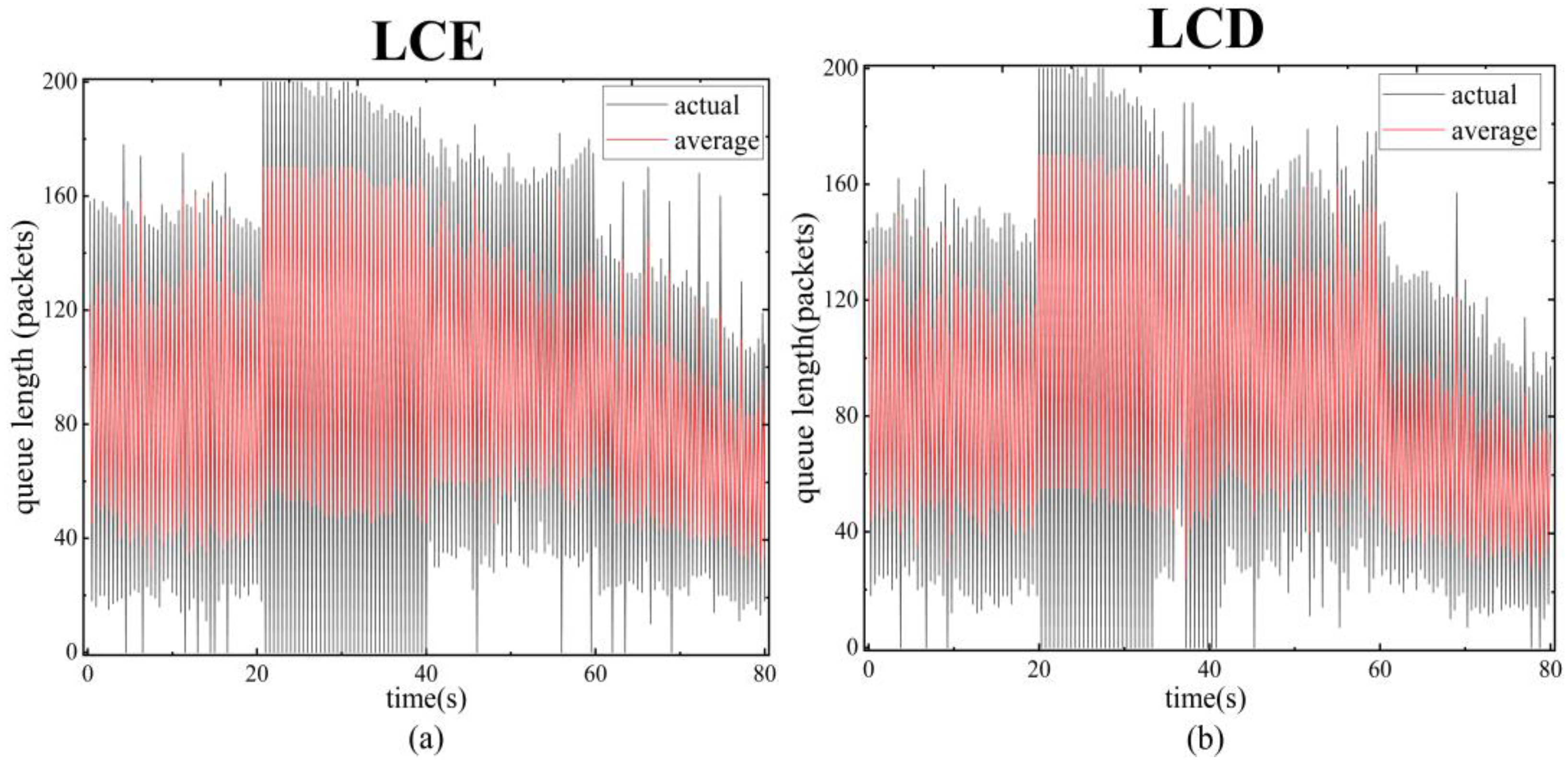
5.1. The Performance of the YELLOW Algorithm
5.2. Verifying the Accuracy of the Model of YELLOW through Monte Carlo Simulation
- Selecting a site randomly;
- If , it means that the first site of queue 1/queue 2 is selected. If there is no particle in this site, a new particle will be injected to system with probability.
- If, it means that the output site of queue 3 is selected. A particle locating in this site will leaves the system with probability when the site is occupied
- If the selected site is occupied by particle and the adjacent site on the right is empty, the particle will move to the adjacent site.
- In addition to the above cases, we need to add some rules of YELLOW algorithm.
- When the number of particles whether in queue 1 or queue 2 exceeds the threshold ( in this experiment), will be decreased by a fixed value firstly. will be reduced by only if the queue occupancy of queue 1 exceeds 50%. Noted that the value of is setting more than one order of magnitude larger than .
- If , will also be decreased by .
- System increase the value of and by when the stationary phase exists for a period of time.
6. Discussion
Author Contributions
Funding
Acknowledgments
Conflicts of Interest
References
- Cisco Visual Networking Index: Forecast and Methodology: 2017~2022. Available online: https://www.cisco.com/c/en/us/solutions/collateral/executive-perspectives/annual-internet-report/white-paper-c11-741490.html. (accessed on 9 March 2018).
- Dannewitz, C.; Kutscher, D.; Ohlman, B.; Farrell, S.; Ahlgren, B.; Karl, H. Network of Information (NetInf)—An information-centric networking architecture. Comput. Commun. 2013, 36, 721–735. [Google Scholar] [CrossRef]
- Wang, G.Q.; Zheng, Q.; Ravindran, R. Leveraging ICN for Secure Content Distribution in IP Networks. In Proceedings of the 7th ACM International Conference on Multimedia System (MMSys), Klagenfurt am Wörthersee, Austria, 10–13 May 2016; pp. 765–767. [Google Scholar]
- Jacobson, V.; Smetters, D.K.; Thornton, J.D.; Plass, M.F.; Briggs, N.H.; Braynard, R.L. Networking named content. In Proceedings of the 5th International Conference on Emerging Networking Experiments, Rome, Italy, 1–4 December 2009; pp. 1–12. [Google Scholar]
- Zhang, L.; Alexander, A.; Jeffrey, B.; Jackson, V.; Claffy, K.C. Named data networking. ACM SIGCOMM Comput. Commun. Rev. 2014, 44, 66–73. [Google Scholar] [CrossRef]
- Peng, G. CDN: Content distribution network. arXiv 2004, arXiv:preprint cs/0411069. [Google Scholar]
- Hinden, R.M.; Deering, S.E. Internet Protocol, Version 6 (IPv6) Specification. Rtp Udp Esp Uncompressed. 1981. Available online: https://www.rfc-editor.org/pdfrfc/rfc2460.txt.pdf (accessed on 29 March 2021).
- Thomas, Y.; Xylomenos, G.; Tsilopoulos, C.; Polyzos, G.C. Object-oriented packet caching for ICN. In Proceedings of the 2nd ACM International Conference on Information-Centric Networking, San Francisco, CA, USA, 30 September–2 October 2015; pp. 89–98. [Google Scholar]
- Rossini, G.; Rossi, D.; Garetto, M.; Leonardi, E. Multi-terabyte and multi-Gbps information centric routers. In Proceedings of the IEEE Conference on Computer Communications(INFOCOM), Toronto, ON, Canada, 27 April–2 May 2014; pp. 181–189. [Google Scholar]
- Ding, L.; Wang, J.L.; Sheng, Y.Q.; Wang, L.F. A Split Architecture Approach to Terabyte-Scale Caching in a Protocol-Oblivious Forwarding Switch. IEEE Trans. Netw. Serv. Manag. 2017, 14, 1171–1184. [Google Scholar] [CrossRef]
- Zeng, L.; Ni, H.; Han, R. An Incrementally Deployable IP-Compatible-Information-Centric Networking Hierarchical Cache System. Appl. Sci. 2020, 10, 6228. [Google Scholar] [CrossRef]
- Storage Performance Development Kit. Available online: http://www.spdk.io/ (accessed on 17 June 2017).
- Stefano, S.; Andrea, D.; Matteo, C.; Pomposini, M.; Blefari-Melazzi, N. Transport-layer issues in information centric networks. In Proceedings of the Second Edition of the ICN Workshop on Information-Centric Networking, Helsinki, Finland, 17 August 2012; pp. 19–24. [Google Scholar]
- Chai, W.K.; Diliang, H.; Ioannis, P.; George, P. Cache “less for more” in information-centric networks. In Proceedings of the International Conference on Research in Networking, Berlin, Heidelberg, 21–25 May 2012; pp. 27–40. [Google Scholar]
- Yang, Q.; Deng, H.; Wang, L. A lightweight caching decision strategy based on node edge-degree for information centric networking. IEEE Access 2020, 99, 1. [Google Scholar] [CrossRef]
- Ha, N.V.; Kumazoe, K.; Tsuru, M. Tcp network coding with enhanced retransmission for heavy and bursty loss. IEICE Trans. Commun. 2017, E100-B(2), 293–303. [Google Scholar]
- Kunniyur, S.; Srikant, R. End-to-end congestion control schemes: Utility functions, random losses and ECN marks. IEEE/ACM Trans. Netw. 2003, 11, 689–702. [Google Scholar] [CrossRef]
- Carofiglio, G.; Gallo, M.; Muscariello, L. ICP: Design and evaluation of an Interest control protocol for content-centric networking. In Proceedings of the 2012 IEEE INFOCOM Workshops, Orlando, FL, USA, 25–30 March 2012; pp. 304–309. [Google Scholar]
- Salsano, S.; Detti, A.; Cancellieri, M.; Pomposini, M.; Blefari-Melazzi, N. Receiver-driven interest control protocol for content-centric networks. In Proceedings of the ACM SIGCOMM Workshop on Information Centric Networking (ICN), Toronto, ON, Canada, 12–15 August 2012. [Google Scholar]
- Saino, L.; Cocora, C.; Pavlou, G. CCTCP: A scalable receiver-driven congestion control protocol for content centric networking. In Proceedings of the 2013 IEEE International Conference on Communications (ICC), Budapest, Hungary, 9–13 June 2013; pp. 3775–3780. [Google Scholar]
- Rozhnova, N.; Fdida, S. An effective hop-by-hop interest shaping mechanism for ccn communications. In Proceedings of the 2012 IEEE INFOCOM Workshops, Orlando, FL, USA, 25–30 March 2012; pp. 322–327. [Google Scholar]
- Park, H.; Jang, H.; Kwon, T. Popularity-based congestion control in named data networking. In Proceedings of the 2014 sixth international conference on ubiquitous and future networks (ICUFN), Xi’an, China, 12–14 August 2014; pp. 166–171. [Google Scholar]
- Floyd, S.; Jacobson, V. Random early detection gateways for congestion avoidance. IEEE/ACM Trans. Netw. 1993, 1, 397–413. [Google Scholar] [CrossRef]
- Floyd, S.; Jacobson, V. Recommendation on Using the Gentle Variant of RED. Available online: www.icir.org/floyd/red/gentle.html (accessed on 10 September 2000).
- Li, Z.H.; Liu, Y.; Jing, Y.W. Active queue management algorithm for TCP networks with integral backstepping and minimax. Int. J. Control Autom. Syst. 2019, 17, 1059–1066. [Google Scholar] [CrossRef]
- Kim, J.H.; Yoon, H.; Yeom, I. Active queue management for flow fairness and stable queue length. IEEE Trans. Parallel Distrib. Syst. 2010, 22, 571–579. [Google Scholar] [CrossRef]
- Feng, W.-C.; Shin, K.; Kandlur, D.; Saha, D. The BLUE active queue management algorithms. IEEE/ACM Trans. Netw. 2002, 10, 513–528. [Google Scholar] [CrossRef]
- Misra, V.; Gong, W.B.; Towsley, D. Fluid-based analysis of a network of AQM routers supporting TCP flows with an application to RED. In Proceedings of the Conference on Applications, Technologies, Architectures, and Protocols for Computer Communication, Stockholm, Sweden, 28 August–1 September 2000; pp. 151–160. [Google Scholar]
- Kunniyur, S.; Srikant, R. Analysis and design of an adaptive virtual queue (AVQ) algorithm for active queue management. ACM SIGCOMM Comput. Commun. Rev. 2001, 31, 123–134. [Google Scholar] [CrossRef]
- Ünal, H.U.; Melchor-Aguilar, D.; Üstebay, D.; Niculescu, S.I.; Özbay, H. Comparison of PI controllers designed for the delay model of TCP/AQM networks. Comput. Commun. 2013, 36, 1225–1234. [Google Scholar] [CrossRef]
- Wang, K.; Jing, Y.; Liu, Y.; Liu, X.; Dimirovski, G.M. Adaptive finite-time congestion controller design of TCP/AQM systems based on neural network and funnel control. Neural Comput. Appl. 2020, 32, 9471–9478. [Google Scholar] [CrossRef]
- Bisoy, S.K.; Pattnaik, P.K. An AQM controller based on feed-forward neural networks for stable internet. Arab. J. Sci. Eng. 2018, 43, 3993–4004. [Google Scholar] [CrossRef]
- Ye, Q.; ZhuangZhuang, W.; Li, X.; Rao, J. End-to-End Delay Modeling for Embedded VNF Chains in 5G Core Networks. Internet Things J. IEEE 2019, 6, 692–704. [Google Scholar] [CrossRef]
- Di Mauro, M.; Liotta, A.; Longo, M.; Postiglione, F. Statistical Characterization of Containerized IP Multimedia Subsystem through Queueing Networks. In Proceedings of the 6th IEEE International Conference on Network Softwarization (NetSoft), Chongqing, China, 12–15 June 2020; pp. 377–402. [Google Scholar]
- Fu, T.Z.J.; Ding, J.; Ma, R.T.B.; Winslett, M.; Yang, Y.; Zhang, Z. DRS: Auto-Scaling for Real-Time Stream Analytics. IEEE/ACM Trans. Netw. 2017, 99, 1–15. [Google Scholar] [CrossRef]
- Fu, T.Z.; Ding, J.; Ma, R.T.; Winslett, M.; Yang, Y.; Zhang, Z. DRS: Dynamic Resource Scheduling for Real-Time Analytics over Fast Streams. In Proceedings of the IEEE International Conference on Distributed Computing Systems, Fortaleza, Brazil, 10–20 June 2015; pp. 411–420. [Google Scholar]
- Vakilinia, S.; Elbiaze, H. Latency control of ICN enabled 5G networks. J. Netw. Syst. Manag. 2020, 28, 81–107. [Google Scholar] [CrossRef]
- Wang, M.; Yue, M.; Wu, Z. WinCM: A Window based Congestion Control Mechanism for NDN. In Proceedings of the 2018 1st IEEE International Conference on Hot Information-Centric Networking (HotICN), Shenzhen, China, 15–17 August 2018; pp. 80–86. [Google Scholar]
- Amadeo, M.; Molinaro, A.; Campolo, C.; Sifalakis, M.; Tschudin, C. Transport layer design for named data wireless networking. In Proceedings of the 2014 IEEE conference on computer communications workshops (INFOCOM WKSHPS), Toronto, ON, Canada, 27 April–2 May 2014; pp. 464–469. [Google Scholar]
- Karami, A. Accpndn: Adaptive congestion control protocol in named data networking by learning capacities using optimized time-lagged feedforward neural network. J. Netw. Comput. Appl. 2015, 56, 1–18. [Google Scholar] [CrossRef]
- Liu, Y.F.; Zeng, X.W.; Han, R.; Sun, P. Toward ICN Receiver-Driven Transmission Mechanism over WLAN: Implementation and Optimization. Int. J. Innov. Comput. Inf. Control 2021, Accepted. [Google Scholar]
- Wolfram, S. Statistical mechanics of cellular automata. Rev. Mod. Phys. 1983, 55, 601. [Google Scholar] [CrossRef]
- De, G.J.; Essler, F.H.L. Bethe ansatz solution of the asymmetric exclusion process with open boundaries. Phys. Rev. Lett. 2005, 95, 240601. [Google Scholar]
- Derrida, B. An exactly soluble non-equilibrium system: The asymmetric simple exclusion process. Phys. Rep. 1998, 301, 65–83. [Google Scholar] [CrossRef]
- Wang, Y.Q.; Zhang, Z.H. Cluster mean-field dynamics in one-dimensional TASEP with inner interactions and Langmuir dynamics. Mod. Phys. Lett. B 2019, 33, 1950012. [Google Scholar] [CrossRef]
- Cook, L.J.; Zia, R.K. Power Spectra of a Totally Asymmetric Simple Exclusion Process with Finite Resources. In Proceedings of the APS March Meeting Abstracts, Portland, Oregon, 15–19 March 2010; p. T13-004. [Google Scholar]
- NS-3 Project. Available online: https://www.nsnam.og/ (accessed on 3 June 2014).
- Wang, J.L.; Cheng, G.; You, J.L.; Sun, P. SEANet:Architecture and Technologies of an On-site, Elastic, Autonomous Network. J. Netw. New Media 2020, 6, 1–8. [Google Scholar]
- Laoutaris, N.; Che, H.; Stavrakakis, I. The LCD interconnection of LRU caches and its analysis. Perform. Eval. 2006, 63, 609–634. [Google Scholar] [CrossRef]
- Cividini, J.; Hilhorst, H.J.; Appert-Rolland, C. Exact domain wall theory for deterministic TASEP with parallel update. J. Phys. A Math. Theor. 2014, 47, 222001. [Google Scholar] [CrossRef][Green Version]














| Strategy | Chunk | Cache in 3 Nodes | Cache in 2 Nodes | Cache in 1 Node | Expectation |
|---|---|---|---|---|---|
| Forwarding without distinction | m | ||||
| Forwarding internal traffic from CS with high priority | m | 0 | |||
| 0 | 0 | 1 | 1 | ||
| Forwarding external traffic from port with high priority | m | 0 | 0 | 1 | 1 |
| 1 | 0 | 0 | 3 |
| Strategy | Chunk | Retransmission | Hop | Expectation |
|---|---|---|---|---|
| Forwarding without distinction | m | 3 | ||
| k | ||||
| Forwarding internal traffic from CS with high priority | m | 3 | 3 | |
| >3 | >3 | |||
| Forwarding external traffic from port with high priority | m | 1 | 3 | 3 |
| 0 | >3 | 0 |
| Configuration | Value |
|---|---|
| 20% | |
| 80% | |
| 1 | |
| Configuration | Value |
|---|---|
| freeze_time | 50 ms |
| 0.02 | |
| 0.002 | |
| 100 |
| RED | BLUE | YELLOW | ||
|---|---|---|---|---|
| bottleneck link utilization | 91.18% | 91.46% | 91.75% | |
| Throughput (Mbps) | 48.13 | 48.52 | 48.75 | |
| average packet loss rate | 13.34% | 12.29% | 11.45% | |
| Download latency (ms) | 148.73 | 160.82 | 169.1 | |
| mean square error of queue length | 43.71 | 36.73 | forward | 17.48 |
| cache | 13.12 | |||
| RED | BLUE | YELLOW | ||
|---|---|---|---|---|
| bottleneck link utilization | 94.08% | 94.18% | 94.32% | |
| Throughput (Mbps) | 48.12 | 48.57 | 48.77 | |
| average packet loss rate | 21.78% | 19.48% | 18.51% | |
| Download latency (ms) | 155.81 | 163.34 | 172.6 | |
| mean square error of queue length | 50.05 | 42.86 | forward | 19.64 |
| cache | 14.33 | |||
Publisher’s Note: MDPI stays neutral with regard to jurisdictional claims in published maps and institutional affiliations. |
© 2021 by the authors. Licensee MDPI, Basel, Switzerland. This article is an open access article distributed under the terms and conditions of the Creative Commons Attribution (CC BY) license (http://creativecommons.org/licenses/by/4.0/).
Share and Cite
Zeng, L.; Ni, H.; Han, R. The Yellow Active Queue Management Algorithm in ICN Routers Based on the Monitoring of Bandwidth Competition. Electronics 2021, 10, 806. https://doi.org/10.3390/electronics10070806
Zeng L, Ni H, Han R. The Yellow Active Queue Management Algorithm in ICN Routers Based on the Monitoring of Bandwidth Competition. Electronics. 2021; 10(7):806. https://doi.org/10.3390/electronics10070806
Chicago/Turabian StyleZeng, Li, Hong Ni, and Rui Han. 2021. "The Yellow Active Queue Management Algorithm in ICN Routers Based on the Monitoring of Bandwidth Competition" Electronics 10, no. 7: 806. https://doi.org/10.3390/electronics10070806
APA StyleZeng, L., Ni, H., & Han, R. (2021). The Yellow Active Queue Management Algorithm in ICN Routers Based on the Monitoring of Bandwidth Competition. Electronics, 10(7), 806. https://doi.org/10.3390/electronics10070806

