On Coding and Decoding Reconfigurable Radiation Pattern Modulation Symbols
Abstract
1. Introduction
2. Materials and Methods
2.1. Radiation Pattern Symbols
2.2. Symbol Selection
| Algorithm 1: Defining orthogonality for reconfigurable radiation patterns. |
| Result: A set of orthogonal symbols that minimize the BER is defined. antennas array. is defined. between each radiation pattern pair is calculated. between symbols is chosen. First threshold (): for i = 1: RP do for do if then else end end end end for do then symbols can be transmitted. end end Remove redundant symbols if required. |
3. Results
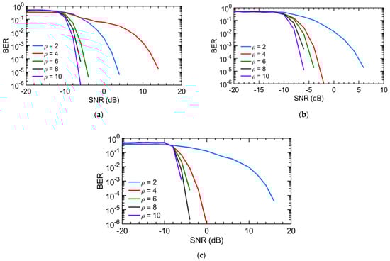
3.1. BER for AWGN Wireless Channel
| Algorithm 2: Maximum likelihood detector. |
| Result: ML demodulator for RRPM symbols. For a radiation pattern symbols set of length RP, for do . end . |
3.2. Channel Considerations
4. Conclusions
Author Contributions
Funding
Acknowledgments
Conflicts of Interest
References
- Maas, S. Armstrong and the Superheterodyne: A Historical Look at the Mixer. IEEE Microw. Mag. 2013, 14, 34–39. [Google Scholar] [CrossRef]
- Shannon, C.E. A Mathematical Theory of Communication. Bell Syst. Tech. J. 1948, 27, 379–423. [Google Scholar] [CrossRef]
- Renzo, M.D.; Haas, H.; Ghrayeb, A.; Sugiura, S.; Hanzo, L. Spatial Modulation for Generalized MIMO: Challenges, Opportunities, and Implementation. Proc. IEEE 2014, 102, 56–103. [Google Scholar] [CrossRef]
- Chen, Z.; Sohrabi, F.; Yu, W. Multi-Cell Sparse Activity Detection for Massive Random Access: Massive MIMO Versus Cooperative MIMO. IEEE Trans. Wirel. Commun. 2019, 18, 4060–4074. [Google Scholar] [CrossRef]
- Lai, Y.; Ciou, Y.; Wu, J. Index Modulation Multiple Access. In Proceedings of the 2018 IEEE 29th Annual International Symposium on Personal, Indoor and Mobile Radio Communications (PIMRC), Bologna, Italy, 9–12 September 2018; pp. 1–5. [Google Scholar]
- Basar, E. Index Modulation Techniques for 5G Wireless Networks. IEEE Commun. Mag. 2016, 54, 168–175. [Google Scholar] [CrossRef]
- Basar, E.; Wen, M.; Mesleh, R.; Di Renzo, M.; Xiao, Y.; Haas, H. Index Modulation Techniques for Next-Generation Wireless Networks. IEEE Access 2017, 5, 16693–16746. [Google Scholar] [CrossRef]
- Mesleh, R.Y.; Haas, H.; Sinanovic, S.; Ahn, C.W.; Yun, S. Spatial Modulation. IEEE Trans. Veh. Technol. 2008, 57, 2228–2241. [Google Scholar] [CrossRef]
- Cong, L.; Li, K.; Kot, A.C. On Decision-Feedback Detection of Differential Space-Time Modulation in Continuous Fading. IEEE Trans. Commun. 2004, 52, 1613–1617. [Google Scholar] [CrossRef]
- Alrabadi, O.N.; Kalis, A.; Papadias, C.B.; Prasad, R. Aerial Modulation for High Order PSK Transmission Schemes. In Proceedings of the 2009 1st International Conference on Wireless Communication, Vehicular Technology, Information Theory and Aerospace Electronic Systems Technology, Aalborg, Denmark, 17–20 May 2009; pp. 823–826. [Google Scholar]
- Peel, C.B.; Swindlehurst, A.L. Effective SNR for Space-Time Modulation over a Time-Varying Rician Channel. IEEE Trans. Commun. 2004, 52, 17–23. [Google Scholar] [CrossRef]
- Li, Y.; Xia, X.-G. Constellation Mapping for Space-Time Matrix Modulation with Iterative Demodulation/Decoding. IEEE Trans. Commun. 2005, 53, 764–768. [Google Scholar] [CrossRef]
- Naresh, Y.; Chockalingam, A. On Media-Based Modulation Using RF Mirrors. IEEE Trans. Veh. Technol. 2017, 66, 4967–4983. [Google Scholar] [CrossRef]
- Başar, E.; Panayirci, E.; Uysal, M.; Haas, H. Generalized LED Index Modulation Optical OFDM for MIMO Visible Light Communications Systems. In Proceedings of the 2016 IEEE International Conference on Communications (ICC), Kuala Lumpur, Malaysia, 22–27 May 2016; pp. 1–5. [Google Scholar]
- Zhang, X.; Bie, H.; Ye, Q.; Lei, C.; Tang, X. Dual-Mode Index Modulation Aided OFDM with Constellation Power Allocation and Low-Complexity Detector Design. IEEE Access 2017, 5, 23871–23880. [Google Scholar] [CrossRef]
- Bouida, Z.; El-Sallabi, H.; Ghrayeb, A.; Qaraqe, K.A. Reconfigurable Antenna-Based Space-Shift Keying (SSK) for MIMO Rician Channels. IEEE Trans. Wirel. Commun. 2016, 15, 446–457. [Google Scholar] [CrossRef]
- Gong, S.; Lu, X.; Hoang, D.T.; Niyato, D.; Shu, L.; Kim, D.I.; Liang, Y.-C. Towards Smart Radio Environment for Wireless Communications via Intelligent Reflecting Surfaces: A Comprehensive Survey. arXiv 2019, arXiv:191207794. [Google Scholar]
- Viet, D.N.; Di Renzo, M.; Basavarajappa, V.; Exposito, B.B.; Basterrechea, J.; Phan-Huy, D.-T. Spatial Modulation Based on Reconfigurable Antennas: Performance Evaluation by Using the Prototype of a Reconfigurable Antenna. arXiv 2019, arXiv:190101752. [Google Scholar]
- Cui, T.J.; Liu, S.; Bai, G.D.; Ma, Q. Direct Transmission of Digital Message via Programmable Coding Metasurface. Research 2019, 2019, 584509. [Google Scholar] [CrossRef]
- Basar, E.; Di Renzo, M.; de Rosny, J.; Debbah, M.; Alouini, M.-S.; Zhang, R. Wireless Communications Through Reconfigurable Intelligent Surfaces. arXiv 2019, arXiv:190609490. [Google Scholar] [CrossRef]
- Kokar, Y.; Rachedi, K.; Ourir, A.; de Rosny, J.; Phan-Huy, D.-T.; Prévotet, J.-C.; Hélard, M. Demo Abstract: Spatial Modulation Based Transmission Using a Reconfigurable Antenna. In Proceedings of the IEEE INFOCOM 2019—IEEE Conference on Computer Communications Workshops (INFOCOM WKSHPS), Paris, France, 29 April–2 May 2019; pp. 985–986. [Google Scholar]
- Ourir, A.; Rachedi, K.; Phan-Huy, D.-T.; Leray, C.; de Rosny, J. Compact Reconfigurable Antenna with Radiation Pattern Diversity for Spatial Modulation. In Proceedings of the 2017 11th European Conference on Antennas and Propagation (EUCAP), Paris, France, 19–24 March 2017; pp. 3038–3043. [Google Scholar]
- Balanis, C.A. Antenna Theory: Analysis and Design; Wiley: Hoboken, NJ, USA, 2016. [Google Scholar]
- Jo, E.; Kim, D.; Hur, J.; Kim, D.; Kim, C.; Choi, Y.; Cho, Y.; Kim, C.H.; Park, B.H.; Hyun, S. A Frequency Reconfigurable Slot Dipole Antenna Using Surface PIN Diodes. In Proceedings of the 2017 International Symposium on Antennas and Propagation (ISAP), Phuket, Thailand, 30 October–2 November 2017; pp. 1–2. [Google Scholar]
- Thao, H.T.P.; Son, T.V.; Doai, N.V.; Duc, N.T.; Yem, V.V. A Novel Frequency Reconfigurable Monopole Antenna Using PIN Diode for WLAN/WIMAX Applications. In Proceedings of the 2015 International Conference on Communications, Management and Telecommunications (ComManTel), Da Nang, Vietnam, 28–30 December 2015; pp. 167–171. [Google Scholar]
- CAI, X.; WANG, A.; MA, N.; LENG, W. Novel Radiation Pattern Reconfigurable Antenna with Six Beam Choices. J. China Univ. Posts Telecommun. 2012, 19, 123–128. [Google Scholar] [CrossRef]
- Ali Esmail, B.; Majid, H.A.; Zainal Abidin, Z.; Haimi Dahlan, S.; Himdi, M.; Dewan, R.; Rahim, M.K.A.; Al-Fadhali, N. Reconfigurable Radiation Pattern of Planar Antenna Using Metamaterial for 5G Applications. Materials 2020, 13, 582. [Google Scholar] [CrossRef]
- Proakis, J.G. Digital Communications; McGraw-Hill Series in Electrical and Computer Engineering: Communications and Signal Processing; McGraw-Hill: New York, NY, USA, 2001; ISBN 978-0-07-118183-9. [Google Scholar]
- Renzo, M.D.; Haas, H. Bit Error Probability of SM-MIMO Over Generalized Fading Channels. IEEE Trans. Veh. Technol. 2012, 61, 1124–1144. [Google Scholar] [CrossRef]
- Mazzeo, B.; Rice, M. On Monte-Carlo Simulation of the Bit Error Rate. In Proceedings of the 2011 IEEE International Conference on Communications (ICC), Kyoto, Japan, 5–9 June 2011; pp. 1–5. [Google Scholar]
- Som, P.; Chockalingam, A. Spatial Modulation and Space Shift Keying in Single Carrier Communication. In Proceedings of the 2012 IEEE 23rd International Symposium on Personal, Indoor and Mobile Radio Communications—(PIMRC), Sydney, Australia, 9–12 September 2012; pp. 1962–1967. [Google Scholar]
- Rappaport, T.S. Wireless Communications: Principles and Practice; Prentice Hall: Upper Saddle River, NJ, USA, 2002; ISBN 978-0-13-042232-3. [Google Scholar]
- Raina, M.; Uppal, G. Frequency Dependence of Rain Attenuation Measurements at Microwave Frequencies. IEEE Trans. Antennas Propag. 1984, 32, 185–187. [Google Scholar] [CrossRef]
- Kestwal, M.C.; Joshi, S.; Garia, L.S. Prediction of Rain Attenuation and Impact of Rain in Wave Propagation at Microwave Frequency for Tropical Region (Uttarakhand, India). Int. J. Microw. Sci. Technol. 2014, 2014, 1–6. [Google Scholar] [CrossRef]






Publisher’s Note: MDPI stays neutral with regard to jurisdictional claims in published maps and institutional affiliations. |
© 2021 by the authors. Licensee MDPI, Basel, Switzerland. This article is an open access article distributed under the terms and conditions of the Creative Commons Attribution (CC BY) license (http://creativecommons.org/licenses/by/4.0/).
Share and Cite
Celis, S.; Farhat, M.; Zhang, L.; Bagci, H.; Eltawil, A.M.; Salama, K.N. On Coding and Decoding Reconfigurable Radiation Pattern Modulation Symbols. Electronics 2021, 10, 614. https://doi.org/10.3390/electronics10050614
Celis S, Farhat M, Zhang L, Bagci H, Eltawil AM, Salama KN. On Coding and Decoding Reconfigurable Radiation Pattern Modulation Symbols. Electronics. 2021; 10(5):614. https://doi.org/10.3390/electronics10050614
Chicago/Turabian StyleCelis, Sebastian, Mohamed Farhat, Li Zhang, Hakan Bagci, Ahmed M. Eltawil, and Khaled N. Salama. 2021. "On Coding and Decoding Reconfigurable Radiation Pattern Modulation Symbols" Electronics 10, no. 5: 614. https://doi.org/10.3390/electronics10050614
APA StyleCelis, S., Farhat, M., Zhang, L., Bagci, H., Eltawil, A. M., & Salama, K. N. (2021). On Coding and Decoding Reconfigurable Radiation Pattern Modulation Symbols. Electronics, 10(5), 614. https://doi.org/10.3390/electronics10050614

