Analysis of the Resonator Part of a Ka-Band Multiple-Beam Extended-Interaction Oscillator through Electric Field Uniformity
Abstract
1. Introduction
2. Analysis and Simulation
2.1. Analysis of Field Uniformity
2.2. Analysis Based on Perturbation Theory
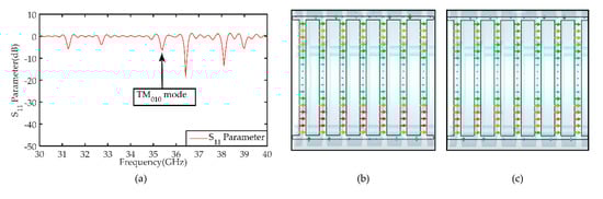
3. Cold Test Experiment
3.1. Schematic of the Measurement Setup
3.2. Analysis of Experimental Results
4. Conclusions and Discussion
Author Contributions
Funding
Conflicts of Interest
References
- Cui, J.; Bian, S.; Li, A. A Multiobjective Optimization Approach for Extended Interaction Oscillators. IEEE Access 2020, 8, 166226–166235. [Google Scholar] [CrossRef]
- Nguyen, T.D.; Hong, J.-P. A 350-GHz Coupled Stack Oscillator with −0.8 dBm Output Power in 65-nm Bulk CMOS Process. Electronics 2020, 9, 1214. [Google Scholar] [CrossRef]
- Thanh Dat, N.; Park, H.; Hong, J.-P. A Millimeter-Wave Fundamental Frequency CMOS-Based Oscillator with High Output Power. Electronics 2019, 8, 1228. [Google Scholar]
- Booske, J.H.; Dobbs, R.J.; Joye, C.D.; Kory, C.L.; Neil, G.R.; Park, G.; Park, J.; Temkin, R.J. Vacuum Electronic High Power Terahertz Sources. IEEE Trans. Terahertz Sci. Technol. 2011, 1, 54–75. [Google Scholar] [CrossRef]
- Shu, G.; Deng, J.; Huang, Z.; Chen, L.; Lin, J.; Hong, B.; He, W. Design and Measurement of a Terahertz Band Rectangular TE20 Mode Power Coupling Structure for High-Order Overmoded Multiple Sheet Electron Beam Devices. IEEE Electron Device Lett. 2020, 41, 920–923. [Google Scholar] [CrossRef]
- Berry, D.; Deng, H.; Dobbs, R.; Horoyski, P.; Hyttinen, M.; Kingsmill, A.; MacHattie, R.; Roitman, A.; Sokol, E.; Steer, B. Practical Aspects of EIK Technology. IEEE Trans. Electron Devices 2014, 61, 1830–1835. [Google Scholar] [CrossRef]
- Chodorow, M.; Wessel-Berg, T. A high-efficiency klystron with distributed interaction. IEEE Trans. Electron Devices 1961, 8, 44–55. [Google Scholar] [CrossRef]
- Chodorow, M.; Kulke, B. An extended-interaction klystron: Efficiency and bandwidth. IEEE Trans. Electron Devices 1966, ED-13, 439–447. [Google Scholar] [CrossRef]
- Korolyov, A.N.; Gelvich, E.A.; Zhary, Y.V.; Zakurdayev, A.D.; Poognin, V.I. Multiple-beam klystron amplifiers: Performance parameters and development trends. IEEE Trans. Plasma Sci. 2004, 32, 1109–1118. [Google Scholar] [CrossRef]
- Yin, Y.; He, W.; Zhang, L.; Yin, H.; Cross, A.W. Preliminary design and optimization of a G-band extended interaction oscillator based on a pseudospark-sourced electron beam. Phys. Plasmas 2015, 22, 073102. [Google Scholar] [CrossRef]
- Lu, S.; Zhang, C.; Yu, G.; Zhao, C.; Tan, E.; Lu, A. Analysis of the Field Shape and Mode Competition for the Higher Order Modes in the Oversized Multigap Resonant Cavity with Coplanar Beams. IEEE Trans. Plasma Sci. 2019, 47, 1742–1748. [Google Scholar] [CrossRef]
- Lu, S.; Zhang, C.; Wang, S.; Wang, Y. Stability Analysis of a Planar Multiple-Beam Circuit for W-Band High-Power Extended-Interaction Klystron. IEEE Trans. Electron Devices 2015, 62, 3042–3048. [Google Scholar] [CrossRef]
- Shu, G.; Ruan, C.; He, W. Study of H-Band High-Order Overmoded Power Couplers for Sheet Electron Beam Devices. IEEE Trans. Microw. Theory Tech. 2020, 68, 2251–2258. [Google Scholar] [CrossRef]
- Yin, Y.; Zeng, F.; Wang, B.; Li, H.; Bi, L.; Chang, Z.; Peng, R.; Zhu, S.; Xu, C.; Meng, L. Preliminary Study of a Multiple-Beam Extended-Interaction Oscillator with Coaxial Structure. IEEE Trans. Electron Devices 2018, 65, 2108–2113. [Google Scholar] [CrossRef]
- Yin, Y.; Wang, B.; Zhang, T.; Zeng, F.; Peng, R.; Bi, L.; Chang, Z.; Meng, L. Design and Analysis of a Multiple-Beam Extended Interaction Oscillator with Coaxial Structure. In Proceedings of the 2017 Eighteenth International Vacuum Electronics Conference (IVEC), London, UK, 24–26 April 2017. [Google Scholar]
- Bernhard, J.T.; Joines, W.T. Dielectric slab-loaded resonant cavity for applications requiring enhanced field uniformity. IEEE Trans. Microw. Theory Tech. 1996, 44, 457–460. [Google Scholar] [CrossRef]
- Li, R.; Ruan, C. Primary investigation of a rectangular beam EIK with high output power and broad bandwidth in G-band. In Proceedings of the 2017 42nd International Conference on Infrared, Millimeter, and Terahertz Waves (IRMMW-THz), Cancun, Mexico, 27 August–1 September 2017; pp. 1–2. [Google Scholar]
- Yin, Y.; Wang, B.; Li, H.; Meng, L. Study of the relation between the surface loss and the field flatness in the EID. Int. J. Electron. 2017, 104, 204–217. [Google Scholar] [CrossRef]
- Boutaayamou, M.; Sabariego, R.V.; Dular, P. An iterative finite element perturbation method for computing electrostatic field distortions. IEEE Trans. Magn. 2008, 44, 746–749. [Google Scholar] [CrossRef][Green Version]
- Maier, L.C.; Slater, J.C. Field strength measurements in resonant cavities. J. Appl. Phys. 1952, 23, 68–77. [Google Scholar] [CrossRef]
- Liska, D.J. Electric field measurements in klystron cavities. IEEE Trans. Electron Devices 1971, 18, 450–453. [Google Scholar] [CrossRef]
- Maier, L.C.; Slater, J.C. Determination of Field Strength in a Linear Accelerator Cavity. J. Appl. Phys. 1952, 23, 78–83. [Google Scholar] [CrossRef]
- Pacheco, P.; Alvarez, J.; Sarmiento, R.; Bredice, F.; Sanchez-Ake, C.; Villagran-Muniz, M.; Palleschi, V. Real time determination of the laser ablated mass by means of electric field-perturbation measurement. Spectrochim. Acta Part B-At. Spectrosc. 2018, 142, 50–54. [Google Scholar] [CrossRef]
- Peter, R.; Fischerauer, G. Measurement of Axially Inhomogeneous Permittivity Distributions in Resonant Microwave Cavities. IEEE Trans. Microw. Theory Tech. 2019, 67, 2433–2442. [Google Scholar] [CrossRef]
- Xu, C.; Meng, L.; Wang, B.; Qin, Y.; Yin, Y. Measurement of axial field distribution in a W-band extended interaction resonant cavity based on perturbation technique. AIP Adv. 2020, 10, 095022. [Google Scholar] [CrossRef]
- Tsandoulas, G.N.; Waldron, R.A. Theory of Guided Electromagnetic Waves; Van Nostrand Reinhold: London, UK; New York, NY, USA, 1971; pp. 296–311. [Google Scholar]
- 3672 A/B/C/D/E Vector Network Analyzer. Available online: http://www.ei41.com/product/detail-215.html (accessed on 1 January 2021).











| Symbol | Description | Value |
|---|---|---|
| P | Period of the Circuit | 2.04 mm |
| rCin | Inner radius of the coaxial structure | 3.70 mm |
| rCout | Outer radius of the coaxial structure | 7.30 mm |
| w | Width of the interaction gap | 0.68 mm |
| rCSin | Inner radius of the coupling structure | 7.00 mm |
| rCSout | Outer radius of the coupling structure | 7.30 mm |
| d | Diameter of the beam tunnels | 1.00 mm |
| Device | Uniformity Parameter | Output Power (kW) |
|---|---|---|
| 0 | 0.064 | 7.594 |
| 1 | 0.083 | 7.606 |
| 2 | 0.102 | 7.674 |
| 3 | 0.144 | 7.675 |
| 4 | 0.221 | 7.689 |
| 5 | 0.278 | 7.786 |
| Frequency Offset Value (MHz) | Cycle 1 | Cycle 2 | Cycle 3 | Cycle 4 | Cycle 5 | Cycle 6 | Cycle 7 |
|---|---|---|---|---|---|---|---|
| Beam Tunnel 1 | 10.22 | 9.83 | 8.72 | 10.98 | 8.65 | 10.21 | 10.63 |
| Beam Tunnel 2 | 13.33 | 11.33 | 11.69 | 10.85 | 9.28 | 10.07 | 10.68 |
| Beam Tunnel 3 | 17.52 | 16.38 | 13.15 | 15.92 | 16.01 | 18.01 | 15.22 |
Publisher’s Note: MDPI stays neutral with regard to jurisdictional claims in published maps and institutional affiliations. |
© 2021 by the authors. Licensee MDPI, Basel, Switzerland. This article is an open access article distributed under the terms and conditions of the Creative Commons Attribution (CC BY) license (http://creativecommons.org/licenses/by/4.0/).
Share and Cite
Qin, Y.; Yin, Y.; Xu, C.; Yang, T.; Chen, Q.; Xu, X.; Xie, J.; Bi, L.; Wang, B.; Li, H.; et al. Analysis of the Resonator Part of a Ka-Band Multiple-Beam Extended-Interaction Oscillator through Electric Field Uniformity. Electronics 2021, 10, 276. https://doi.org/10.3390/electronics10030276
Qin Y, Yin Y, Xu C, Yang T, Chen Q, Xu X, Xie J, Bi L, Wang B, Li H, et al. Analysis of the Resonator Part of a Ka-Band Multiple-Beam Extended-Interaction Oscillator through Electric Field Uniformity. Electronics. 2021; 10(3):276. https://doi.org/10.3390/electronics10030276
Chicago/Turabian StyleQin, Yu, Yong Yin, Che Xu, Tongbin Yang, Qingyun Chen, Xiaotao Xu, Jie Xie, Liangjie Bi, Bin Wang, Hailong Li, and et al. 2021. "Analysis of the Resonator Part of a Ka-Band Multiple-Beam Extended-Interaction Oscillator through Electric Field Uniformity" Electronics 10, no. 3: 276. https://doi.org/10.3390/electronics10030276
APA StyleQin, Y., Yin, Y., Xu, C., Yang, T., Chen, Q., Xu, X., Xie, J., Bi, L., Wang, B., Li, H., Yuan, X., & Meng, L. (2021). Analysis of the Resonator Part of a Ka-Band Multiple-Beam Extended-Interaction Oscillator through Electric Field Uniformity. Electronics, 10(3), 276. https://doi.org/10.3390/electronics10030276

